Uitdrukkingstemplates
Uitdrukkingstemplates bieden u een makkelijke manier om wiskundige uitdrukkingen in standaard wiskundige notatie in te voeren. Wanneer u een template invoegt, verschijnt deze op de invoerregel met kleine blokjes op de posities waarop u elementen kunt invoeren. Een cursor geeft aan welk element u kunt invoeren.
Gebruik de pijltoetsen of druk op e om de cursor te verplaatsen naar de positie van elk element, en typ een waarde of uitdrukking voor het element in. Druk op · of /· om de uitdrukking uit te werken.
|
/p-toetsen |
|
|
|
Voorbeeld:
|
|
l-toets |
|
|
Opmerking: typ de eerste waarde, typ op l en typ dan de exponent. Om de cursor terug te brengen naar de basisregel drukt u op de pijl naar rechts (¢). Opmerking: zie ook ^ (macht), hier. |
Voorbeeld:
|
|
/q-toetsen |
|
|
|
Voorbeeld:
|
|
/l-toetsen |
|
|
|
Voorbeeld:
|
|
u-toetsen |
|
|
Het getal e verheven tot een macht Opmerking: zie ook e^(), hier. |
Voorbeeld:
|
|
/s-toets |
|
|
Berekent de log ten opzichte van een gespecificeerd grondtal. Voor het standaard grondtal 10 laat u het grondtal weg. Opmerking: zie ook log(), hier. |
Voorbeeld:
|
|
Catalogus > |
|
|
Hiermee kunt u uitdrukkingen en condities voor een in twee stukken‑ stuksgewijs gedefinieerde functie creëren. Om een stuk toe te voegen klikt u in de template en herhaalt u de template. Opmerking: zie ook piecewise(), hier. |
Voorbeeld:
|
|
Catalogus > |
|
|
Hiermee kunt u uitdrukkingen en condities voor een ‑stuksgewijs gedefinieerde functie in N stukken creëren. Vraagt om N.
Opmerking: zie ook piecewise(), hier. |
Voorbeeld: Zie het voorbeeld bij Template voor stuksgewijs gedefinieerde functies (2-stuks). |
|
Catalogus > |
|
|
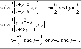
Creëert een stelsel van twee Opmerking: zie ook system(), hier. |
Voorbeeld:
|
|
Catalogus > |
|
|
Hiermee kunt u een stelsel van N
Opmerking: zie ook system(), hier. |
Voorbeeld: Zie het voorbeeld bij Stelsel van vergelijkingen-template (2 vergelijkingen). |
|
Catalogus > |
|
|
|
Voorbeeld:
|
|
Catalogus > |
|
|
Hiermee kunt u hoeken in dd°mm’ss.ss’’-opmaak invoeren, waarbij dd het aantal decimale graden, mm het aantal minuten en ss.ss het aantal seconden is. |
Voorbeeld:
|
|
Catalogus > |
|
|
Creëert een 2 x 2 matrix. |
Voorbeeld:
|
|
Catalogus > |
|
|
|
Voorbeeld:
|
|
Catalogus > |
|
|
|
Voorbeeld:
|
|
Catalogus > |
|
|
De template verschijnt nadat u het aantal rijen en kolommen heeft ingevoerd.
Opmerking: als u een matrix creëert met een groot aantal rijen en kolommen, kan het even duren voordat deze verschijnt. |
Voorbeeld:
|
|
Catalogus > |
|
|
Opmerking: zie ook G() (sumSeq), hier. |
Voorbeeld:
|
|
Catalogus > |
|
|
Opmerking: zie ook P() (prodSeq), hier. |
Voorbeeld:
|
|
Catalogus > |
|
|
De eerste afgeleide-template kan worden gebruikt om de eerste afgeleide in een punt numeriek te berekenen, met behulp van automatische differentiatiemethoden. Opmerking: zie ook d() (afgeleide), hier. |
Voorbeeld:
|
|
Catalogus > |
|
|
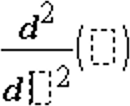
De tweede afgeleide-template kan worden gebruikt om de tweede afgeleide in een punt numeriek te berekenen, met behulp van automatische differentiatiemethoden. Opmerking: zie ook d() (afgeleide), hier. |
Voorbeeld:
|
|
Catalogus > |
|
|
De bepaalde integraal-template kan worden gebruikt om de bepaalde integraal numeriek te berekenen, met dezelfde methode als nInt().
|
Voorbeeld:
|





.