C
|
Catalogue > |
|
|
ceiling(Valeur1)Þvaleur Donne le plus petit entier | à l'argument. L'argument peut être un nombre réel ou un nombre complexe. Remarque : Voir aussi floor(). |
|
|
ceiling(Liste1)Þliste ceiling(Matrice1)Þmatrice Donne la liste ou la matrice de plus petites valeurs supérieures ou égales à chaque élément. |
|
|
Catalogue > |
|
|
Affiche la dérivée numérique en utilisant la formule du quotient à différence centrée. Quand la valeur est spécifiée, celle-ci prévaut sur toute affectation de variable ou substitution précédente de type « | » pour la variable. Incrément correspond à la valeur de l'incrément. Si Incrément n'est pas spécifié, il est fixé par défaut à 0,001. Si vous utilisez Liste1 ou Matrice1, l'opération s'étend aux valeurs de la liste ou aux éléments de la matrice. Remarque : voir aussi avgRC(). |
|
|
Catalogue > |
|
|
char(Entier)Þcaractère Donne le caractère dont le code dans le jeu de caractères de l'unité nomade est Entier. La plage valide pour Entier est comprise entre 0 et 65535. |
|
|
Catalogue > |
|
|
c22way MatriceObservée chi22way MatriceObservée Effectue un test c2 d'association sur le tableau 2*2 de valeurs dans la matrice observée MatriceObservée. Un récapitulatif du résultat est stocké dans la variable stat.results. (Voir ici.) Pour plus d'informations concernant les éléments vides dans une matrice, reportez-vous à “Éléments vides”, ici. |
|
|
Variable de sortie |
Description |
|
stat.c2 |
Stats Khi2 : sum(observée - attendue)2/attendue |
|
stat.PVal |
Plus petit seuil de signification permettant de rejeter l'hypothèse nulle |
|
stat.df |
Degré de liberté des statistiques khi2 |
|
stat.ExpMat |
Matrice du tableau de valeurs élémentaires attendues, acceptant l'hypothèse nulle |
|
stat.CompMat |
Matrice des contributions statistiques khi2 élémentaires |
|
Catalogue > |
|
|
c2Cdf(lowBound,upBound,dl)Þnombre si les bornes lowBound et upBound sont des nombres, liste si les bornes lowBound et upBound sont des listes chi2Cdf(lowBound,upBound,dl)Þnombre si les bornes lowBound et upBound sont des nombres, liste si les bornes lowBound et upBound sont des listes Calcule la probabilité qu'une variable suivant une loi c2 à dl degrés de liberté prenne une valeur entre les bornes lowBound et upBound. Pour P(X { upBound), définissez la borne lowBound=0. Pour plus d'informations concernant les éléments vides dans une liste, reportez-vous à “Éléments vides”, ici. |
|
|
Catalogue > |
|
|
c2GOF ListeObservée,ListeAttendue,df chi2GOF ListeObservée,ListeAttendue,df Effectue un test pour s'assurer que les données des échantillons sont issues d'une population conforme à la loi spécifiée. ListeObservée est une liste de comptage qui doit contenir des entiers. Un récapitulatif du résultat est stocké dans la variable stat.results. (Voir ici.) Pour plus d'informations concernant les éléments vides dans une liste, reportez-vous à “Éléments vides”, ici. |
|
|
Variable de sortie |
Description |
|
stat.c2 |
Stats Khi2 : sum(observée - attendue)2/attendue |
|
stat.PVal |
Plus petit seuil de signification permettant de rejeter l'hypothèse nulle |
|
stat.df |
Degré de liberté des statistiques khi2 |
|
stat.CompList |
Contributions statistiques khi2 élémentaires |
|
Catalogue > |
|
|
c2Pdf(ValX,dl)Þnombre si ValX est un nombre, liste si XVal est une liste chi2Pdf(ValX,dl)Þnombre si ValX est un nombre, liste si ValX est une liste Calcule la probabilité qu'une variable suivant une loi c2 à dl degrés de liberté prenne une valeur ValX spécifiée. Pour plus d'informations concernant les éléments vides dans une liste, reportez-vous à “Éléments vides”, ici. |
|
|
Catalogue > |
|
|
ClearAZ Supprime toutes les variables à une lettre de l'activité courante. Si une ou plusieurs variables sont verrouillées, cette commande affiche un message d'erreur et ne supprime que les variables non verrouillées. Voir |
|
|
Catalogue > |
|
|
Efface le statut d'erreur et règle la variable système errCode sur zéro. L'instruction Else du bloc Try...Else...EndTry doit utiliser EffErr ou PassErr. Si vous comptez rectifier ou ignorer l'erreur, sélectionnez EffErr. Si vous ne savez pas comment traiter l'erreur, sélectionnez PassErr pour la transférer au traitement d'erreurs suivant. S'il n'y a plus d'autre traitement d'erreurs Try...Else...EndTry, la boîte de dialogue Erreur s'affiche normalement. Remarque : voir également PassErr, ici et Try, ici. Remarque pour la saisie des données de l’exemple : Pour obtenir des instructions sur la saisie des définitions de fonction ou de programme sur plusieurs lignes, consultez la section relative à la calculatrice dans votre guide de produit. |
Pour obtenir un exemple de ClrErr, reportez-vous à l'exemple 2 de la commande Try, ici.
|
|
Catalogue > |
|
|
colAugment(Matrice1, Matrice2)Þmatrice Donne une nouvelle matrice obtenue en ajoutant les lignes/colonnes de la Matrice2 à celles de la Matrice1. Les matrices doivent avoir le même nombre de colonnes et Matrice2 est ajoutée à Matrice1 via la création de nouvelles lignes. Matrice1 et Matrice2 ne sont pas modifiées. |
|
|
Catalogue > |
|
|
colDim(Matrice)Þexpression Donne le nombre de colonnes de la matrice Matrice. Remarque : voir aussi rowDim(). |
|
|
Catalogue > |
|
|
colNorm(Matrice)Þexpression Donne le maximum des sommes des valeurs absolues des éléments situés dans chaque colonne de la matrice Matrice. Remarque : les éléments non définis de matrice ne sont pas autorisés. Voir aussi rowNorm(). |
|
|
Catalogue > |
|
|
conj(Valeur1)Þvaleur conj(Liste1)Þliste conj(Matrice1)Þmatrice Donne le conjugué de l'argument. Remarque : toutes les variables non affectées sont considérées comme réelles. |
|
|
Catalogue > |
|
|
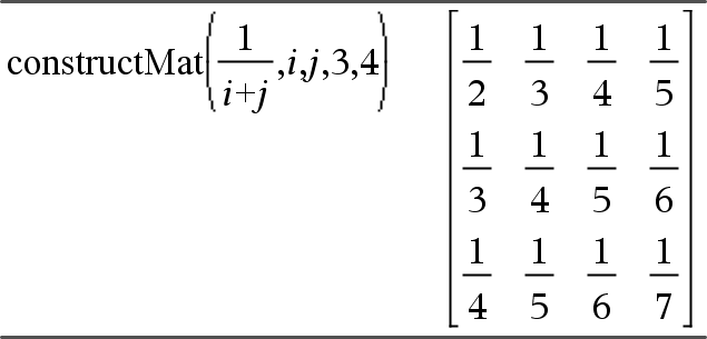
constructMat(Expr,Var1,Var2,nbreLignes,nbreColonnes)Þmatrice Donne une matrice basée sur les arguments. Expr est une expression composée de variables Var1 et Var2. Les éléments de la matrice résultante sont formés en évaluant Expr pour chaque valeur incrémentée de Var1 et de Var2. Var1 est incrémentée automatiquement de 1 à nbreLignes. Dans chaque ligne, Var2 est incrémentée de 1 à nbreColonnes. |
|
|
Catalogue > |
|
|
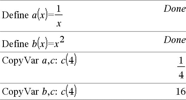
CopyVar Var1, Var2 CopyVar Var1., Var2. CopyVar Var1, Var2 copie la valeur de la variable Var1 dans la variable Var2 et crée Var2, si nécessaire. La variable Var1 doit avoir une valeur. Si Var1 correspond au nom d'une fonction existante définie par l'utilisateur, copie la définition de cette fonction dans la fonction Var2. La fonction Var1 doit être définie. Var1 doit être conforme aux règles de dénomination des variables ou correspondre à une expression d'indirection correspondant à un nom de variable conforme à ces règles. |
|
|
CopyVar Var1., Var2. copie tous les membres du groupe de variables Var1. dans le groupe Var2 et crée le groupe Var2. si nécessaire. Var1. doit être le nom d'un groupe de variables existant, comme stat,le résultat nn ou les variables créées à l'aide de la fonction |
|
|
Catalogue > |
|
|
corrMat(Liste1,Liste2[,…[,Liste20]]) Calcule la matrice de corrélation de la matrice augmentée [Liste1 Liste2 ... List20]. |
|
|
Touche µ |
|
|
cos(Valeur1)Þvaleur cos(Liste1)Þliste
cos(Liste1) donne la liste des cosinus des éléments de Liste1. Remarque : l'argument est interprété comme la mesure d'un angle en degrés, en grades ou en radians, suivant le mode angulaire en cours d'utilisation. Vous pouvez utiliser ¡, G ou R pour préciser l'unité employée temporairement pour le calcul. |
En mode Angle en degrés :
En mode Angle en grades :
En mode Angle en radians :
|
|
cos(matriceCarrée1)ÞmatriceCarrée Calcule le cosinus de la matrice matriceCarrée1. Ce calcul est différent du calcul du cosinus de chaque élément. Si une fonction scalaire f(A) opère sur matriceCarrée1 (A), le résultat est calculé par l'algorithme suivant : Calcul des valeurs propres (li) et des vecteurs propres (Vi) de A. matriceCarrée1 doit être diagonalisable et ne peut pas présenter de variables symboliques sans valeur affectée. Formation des matrices :
Alors A = X B X/et f(A) = X f(B) X/. Par exemple, cos(A) = X cos(B) X/ où : cos (B) =
Tous les calculs sont exécutés en virgule flottante. |
En mode Angle en radians :
|
|
Touche µ |
|
|
cos/(Valeur1)Þvaleur cos/(Liste1)Þliste
cos/(Liste1) donne la liste des arcs cosinus de chaque élément de Liste1. Remarque : donne le résultat en degrés, en grades ou en radians, suivant le mode angulaire utilisé. Remarque : vous pouvez insérer cette fonction à partir du clavier en entrant arccos(...). |
En mode Angle en degrés :
En mode Angle en grades :
En mode Angle en radians :
|
|
cos/(matriceCarrée1)ÞmatriceCarrée Donne l'arc cosinus de matriceCarrée1. Ce calcul est différent du calcul de l'arc cosinus de chaque élément. Pour plus d'informations sur la méthode de calcul, reportez-vous à cos(). matriceCarrée1 doit être diagonalisable. Le résultat contient toujours des chiffres en virgule flottante. |
En mode Angle en radians et en mode Format complexe Rectangulaire :
Pour afficher le résultat entier, appuyez sur 5, puis utilisez les touches 7 et 8 pour déplacer le curseur. |
|
Catalogue > |
|
|
cosh(Valeur1)Þvaleur cosh(Liste1)Þliste
cosh(Liste1) donne la liste des cosinus hyperboliques de chaque élément de Liste1. |
En mode Angle en degrés :
|
|
cosh(matriceCarrée1)ÞmatriceCarrée Donne le cosinus hyperbolique de la matrice matriceCarrée1. Ce calcul est différent du calcul du cosinus hyperbolique de chaque élément. Pour plus d'informations sur la méthode de calcul, reportez-vous à cos(). matriceCarrée1 doit être diagonalisable. Le résultat contient toujours des chiffres en virgule flottante. |
En mode Angle en radians :
|
|
Catalogue > |
|
|
cosh/(Valeur1)Þvaleur cosh/(List1)Þliste
cosh/(Liste1) donne la liste des arguments cosinus hyperboliques de chaque élément de Liste1. Remarque : vous pouvez insérer cette fonction à partir du clavier en entrant arccosh(...). |
|
|
cosh/(matriceCarrée1)ÞmatriceCarrée Donne l'argument cosinus hyperbolique de la matrice matriceCarrée1. Ce calcul est différent du calcul de l'argument cosinus hyperbolique de chaque élément. Pour plus d'informations sur la méthode de calcul, reportez-vous à cos(). matriceCarrée1 doit être diagonalisable. Le résultat contient toujours des chiffres en virgule flottante. |
En mode Angle en radians et en mode Format complexe Rectangulaire :
Pour afficher le résultat entier, appuyez sur 5, puis utilisez les touches 7 et 8 pour déplacer le curseur. |
|
Touche µ |
|
|
cot(Valeur1) Þ valeur cot(Liste1) Þ liste Affiche la cotangente de Valeur1 ou retourne la liste des cotangentes des éléments de Liste1. Remarque : l'argument est interprété comme la mesure d'un angle en degrés, en grades ou en radians, suivant le mode angulaire en cours d'utilisation. Vous pouvez utiliser ¡, G ou R pour préciser l'unité employée temporairement pour le calcul. |
En mode Angle en degrés :
En mode Angle en grades :
En mode Angle en radians :
|
|
Touche µ |
|
|
cot/(Valeur1)Þvaleur cot/(Liste1)Þliste Donne l'arc cotangente de Valeur1 ou affiche une liste comportant les arcs cotangentes de chaque élément de Liste1. Remarque : donne le résultat en degrés, en grades ou en radians, suivant le mode angulaire utilisé. Remarque : vous pouvez insérer cette fonction à partir du clavier en entrant arccot(...). |
En mode Angle en degrés :
En mode Angle en grades :
En mode Angle en radians :
|
|
Catalogue > |
|
|
coth(Valeur1)Þvaleur coth(Liste1)Þliste
|
|
|
Catalogue > |
|
|
coth/(Valeur1)Þvaleur coth/(Liste1)Þliste Affiche l'argument cotangente hyperbolique de Valeur1 ou retourne une liste comportant les arguments cotangente hyperbolique des éléments de Liste1. Remarque : vous pouvez insérer cette fonction à partir du clavier en entrant arccoth(...). |
|
|
Catalogue > |
|
|
count(Valeur1ouListe1 [,Valeur2ouListe2[,...]])Þvaleur Affiche le nombre total des éléments dans les arguments qui s'évaluent à des valeurs numériques. Un argument peut être une expression, une valeur, une liste ou une matrice. Vous pouvez mélanger les types de données et utiliser des arguments de dimensions différentes. Pour une liste, une matrice ou une plage de cellules, chaque élément est évalué afin de déterminer s'il doit être inclus dans le comptage. Dans l'application Tableur & listes, vous pouvez utiliser une plage de cellules à la place de n'importe quel argument. Les éléments vides sont ignorés. Pour plus d'informations concernant les éléments vides, reportez-vous à la ici. |
|
|
Catalogue > |
|||||||
|
countif(Liste,Critère)Þvaleur Affiche le nombre total d'éléments dans Liste qui répondent au critère spécifié. Le critère peut être :
Dans l'application Tableur & listes, vous pouvez utiliser une plage de cellules à la place de Liste. Les éléments vides de la liste sont ignorés. Pour plus d'informations concernant les éléments vides, reportez-vous à la ici. |
Compte le nombre d'éléments égaux à 3.
Compte le nombre d'éléments égaux à “def.”
Compte 1 et 3.
Compte 3, 5 et 7.
Compte 1, 3, 7 et 9. |
|
Catalogue > |
|
|
La première syntaxe,
La deuxième syntaxe, Remarque : voir aussi |
|
|
Catalogue > |
|
|
crossP(Liste1, Liste2)Þliste Donne le produit vectoriel de Liste1 et de Liste2 et l'affiche sous forme de liste. Liste1 et Liste2 doivent être de même dimension et cette dimension doit être égale à 2 ou 3. |
|
|
crossP(Vecteur1, Vecteur2)Þvecteur Donne le vecteur ligne ou le vecteur colonne (en fonction des arguments) obtenu en calculant le produit vectoriel de Vecteur1 et Vecteur2. Ces deux vecteurs, Vecteur1 et Vecteur2, doivent être de même type (ligne ou colonne) et de même dimension, cette dimension devant être égale à 2 ou 3. |
|
|
Touche µ |
|
|
csc(Valeur1)Þvaleur csc(Liste1)Þliste
|
En mode Angle en degrés :
En mode Angle en grades :
En mode Angle en radians :
|
|
Touche µ |
|
|
csc/(Valeur1) Þ valeur csc/(Liste1) Þ liste Affiche l'angle dont la cosécante correspond à Valeur1 ou retourne la liste des arcs cosécante des éléments de Liste1. Remarque : donne le résultat en degrés, en grades ou en radians, suivant le mode angulaire utilisé. Remarque : vous pouvez insérer cette fonction à partir du clavier en entrant arccsc(...). |
En mode Angle en degrés :
En mode Angle en grades :
En mode Angle en radians :
|
|
Catalogue > |
|
|
csch(Valeur1) Þ valeur csch(Liste1) Þ liste
|
|
|
Catalogue > |
|
|
csch/(Valeur1) Þ valeur csch/(Liste1) Þ liste Affiche l'argument cosécante hyperbolique de Valeur1 ou donne la liste des arguments cosécantes hyperboliques de tous les éléments de Liste1. Remarque : vous pouvez insérer cette fonction à partir du clavier en entrant arccsch(...). |
|
|
Catalogue > |
|
|
CubicReg X, Y[, [Fréq] [, Catégorie, Inclure]] Effectue l'ajustement polynomial de degré 3y = a·x3+b· x2+c·x+dsur les listes X et Y en utilisant la fréquence Fréq. Un récapitulatif du résultat est stocké dans la variable stat.results. (Voir ici.) Toutes les listes doivent comporter le même nombre de lignes, à l'exception de Inclure. X et Y sont des listes de variables indépendantes et dépendantes. Fréq est une liste facultative de valeurs qui indiquent la fréquence. Chaque élément dans Fréq correspond à une fréquence d'occurrence pour chaque couple X et Y. Par défaut, cette valeur est égale à 1. Tous les éléments doivent être des entiers | 0. Catégorie est une liste de codes Inclure est une liste d'un ou plusieurs codes de catégories. Seuls les éléments dont le code de catégorie figure dans cette liste sont inclus dans le calcul. Pour plus d'informations concernant les éléments vides dans une liste, reportez-vous à “Éléments vides”, ici. |
|
|
Variable de sortie |
Description |
|
stat.RegEqn |
Équation d'ajustement : a·x3+b·x2+c·x+d |
|
stat.a, stat.b, stat.c, stat.d |
Coefficients d'ajustement |
|
stat.R2 |
Coefficient de détermination |
|
stat.Resid |
Valeurs résiduelles de l'ajustement |
|
stat.XReg |
Liste des points de données de la liste Liste X modifiée, actuellement utilisée dans l'ajustement basé sur les restrictions de Fréq, Liste de catégories et Inclure les catégories |
|
stat.YReg |
Liste des points de données de la liste Liste Y modifiée, actuellement utilisée dans l'ajustement basé sur les restrictions de Fréq, Liste de catégories et Inclure les catégories |
|
stat.FreqReg |
Liste des fréquences correspondant à stat.XReg et stat.YReg |
|
Catalogue > |
|
|
cumulativeSum(Liste1)Þliste Donne la liste des sommes cumulées des éléments de Liste1, en commençant par le premier élément (élément 1). |
|
|
cumulativeSum(Matrice1)Þmatrice Donne la matrice des sommes cumulées des éléments de Matrice1. Chaque élément correspond à la somme cumulée de tous les éléments situés au-dessus, dans la colonne correspondante. Un élément vide de Liste1 ou Matrice1 génère un élement vide dans la liste ou la matrice résultante. Pour plus d'informations concernant les éléments vides, reportez-vous à la ici |
|
|
Catalogue > |
|
|
Cycle Procède au passage immédiat à l'itération suivante de la boucle courante (For, While ou Loop). La fonction Cycle ne peut pas s'utiliser indépendamment de l'une des trois structures de boucle (For, While ou Loop). Remarque pour la saisie des données de l’exemple : Pour obtenir des instructions sur la saisie des définitions de fonction ou de programme sur plusieurs lignes, consultez la section relative à la calculatrice dans votre guide de produit. |
Liste de fonctions qui additionne les entiers compris entre 1 et 100, en sautant 50.
|
|
Catalogue > |
|
|
Vecteur 4Cylind Remarque : vous pouvez insérer cet opérateur à partir du clavier de l'ordinateur en entrant @>Cylind. Affiche le vecteur ligne ou colonne en coordonnées cylindriques [r,±q, z]. Vecteur doit être un vecteur à trois éléments. Il peut s'agir d'un vecteur ligne ou colonne. |
|
