S
|
Touche µ |
|
|
sec(Valeur1) Þ valeur sec(Liste1) Þ liste Affiche la sécante de Valeur1 ou retourne la liste des sécantes des éléments de Liste1. Remarque : l'argument est interprété comme la mesure d'un angle en degrés, en grades ou en radians, suivant le mode angulaire en cours d'utilisation. Vous pouvez utiliser ¡, G ou R pour préciser l'unité employée temporairement pour le calcul. |
En mode Angle en degrés :
|
|
Touche µ |
|
|
sec/(Valeur1) Þ valeur sec/(Liste1) Þ liste Affiche l'angle dont la sécante correspond à Valeur1 ou retourne la liste des arcs sécantes des éléments de Liste1. Remarque : donne le résultat en degrés, en grades ou en radians, suivant le mode angulaire utilisé. Remarque : vous pouvez insérer cette fonction à partir du clavier en entrant arcsec(...). |
En mode Angle en degrés :
En mode Angle en grades :
En mode Angle en radians :
|
|
Catalogue > |
|
|
sech(Valeur1) Þ valeur sech(Liste1) Þ liste
|
|
|
Catalogue > |
|
|
sech/(Valeur1) Þ valeur sech/ (Liste1) Þ liste Retourne l'argument sécante hyperbolique de Valeur1 retourne la liste des arguments sécante hyperbolique des éléments de Liste1. Remarque : vous pouvez insérer cette fonction à partir du clavier en entrant arcsech(...). |
En mode Angle en radians et en mode Format complexe Rectangulaire :
|
|
Menu hub |
|
|
Commande de programmation : envoie une ou plusieurs TI-Innovator™ Hub commandes à un hub connecté. exprOrString doit être une commande TI-Innovator™ Hub valide. En général, exprOrString contient une commande "SET ..." pour contrôler un appareil ou une commande "READ ..." pour demander des données. Les arguments sont envoyés au hub les uns après les autres. Remarque : vous pouvez utiliser la commande Send dans un programme défini par l’utilisateur, mais pas dans une fonction. Remarque : voir également Get (ici), GetStr (ici) et eval() (ici). |
Exemple : allumer l’élément bleu de la DEL RGB intégrée pendant 0,5 seconde.
Exemple : demander la valeur actuelle du capteur intégré du niveau de lumière du hub. Une commande Get récupère la valeur et l’affecte à la variable lightval.
Exemple : envoyer une fréquence calculée au haut-parleur intégré du hub. Utilisez la variable spécialeiostr.SendAns pour afficher la commande du hub avec l’expression évaluée.
|
|
Catalogue > |
|
|
seq(Expr, Var, Début, Fin[, Incrément])Þliste Incrémente la valeur de Var comprise entre Début et Fin en fonction de l'incrément (Inc) spécifié et affiche le résultat sous forme de liste Le contenu initial de Var est conservé après l'application de La valeur par défaut de Inc = 1. |
Remarque: Pour afficher un résultat approximatif, Unité : Appuyez sur / ·.
|
|
Catalogue > |
|
|
Génère une liste de valeurs pour la suite VarDép(Var)=Expr comme suit : Incrémente la valeur de la variable indépendante Var de Var0 à MaxVar par pas de IncVar, calcule VarDép(Var) pour les valeurs correspondantes de Var en utilisant Expr et ListeValeursInit, puis retourne le résultat sous forme de liste.
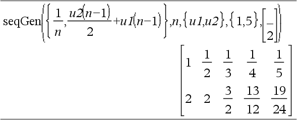
Génère une matrice de valeurs pour un système (ou une liste) de suites ListeVarDép(Var)=ListeOuSystèmeExpr comme suit : Incrémente la valeur de la variable indépendante Var de Var0 à MaxVar par pas de IncVar, calcule ListeVarDép(Var) pour les valeurs correspondantes de Var en utilisant ListeOuSystèmeExpr et MatriceValeursInit, puis retourne le résultat sous forme de matrice. Le contenu initial de Var est conservé après l'application de La valeur par défaut de IncVar est 1. |
Génère les cinq premières valeurs de la suite u(n) = u(n-1)2/2, avec u(1)=2 et IncVar=1.
Exemple avec Var0=2 :
Système de deux suites :
Remarque : L'élément vide (_) dans la matrice de valeurs initiales ci-dessus est utilisé pour indiquer que la valeur initiale de u1(n) est calculée en utilisant la suite explicite u1(n)=1/n. |
|
Catalogue > |
|
|
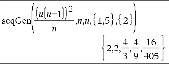
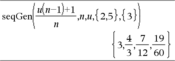
Génère une liste de valeurs pour la suite u(n)=Expr(u, n) comme suit : Incrémente n de 1 à nMax par incrément de 1, calcule u(n) pour les valeurs correspondantes de n en utilisant Expr(u, n) et ListeValeursInit, puis retourne le résultat sous forme de liste.
Génère une liste de valeurs pour la suite u(n)=Expr(n) comme suit : Incrémente n de 1 à nMax par incrément de 1, calcule u(n) pour les valeurs correspondantes de n en utilisant Expr(n), puis retourne le résultat sous forme de liste. Si nMax n'a pas été défini, il prend la valeur 2500. Si nMax=0 n'a pas été défini, nMax prend la valeur 2500. Remarque : |
Génère les cinq premières valeurs de la suite u(n) = u(n-1)/2, avec u(1)=2.
|
|
Catalogue > |
|
|
setMode(EntierNomMode, EntierRéglage) Þentier setMode(liste) Þliste des entiers Accessible uniquement dans une fonction ou un programme. setMode(EntierNomMode, EntierRéglage) règle provisoirement le mode EntierNomMode sur le nouveau réglage EntierRéglage et affiche un entier correspondant au réglage d'origine de ce mode. Le changement est limité à la durée d'exécution du programme/de la fonction. EntierNomMode indique le mode que vous souhaitez régler. Il doit s'agir d'un des entiers du mode du tableau ci-dessous. EntierRéglage indique le nouveau réglage pour ce mode. Il doit s'agir de l'un des entiers de réglage indiqués ci-dessous pour le mode spécifique que vous configurez. setMode(liste) permet de modifier plusieurs réglages. liste contient les paires d'entiers de mode et d'entiers de réglage. setMode(liste) affiche une liste dont les paires d'entiers représentent les modes et réglages d'origine. Si vous avez enregistré tous les réglages du mode avec getMode(0) & var, setMode(var) permet de restaurer ces réglages jusqu'à fermeture du programme ou de la fonction. Voir getMode(), ici. Remarque : Les réglages de mode actuels sont transférés dans les sous-programmes appelés. Si un sous-programme change un quelconque réglage du mode, le changement sera perdu dès le retour au programme appelant. Remarque pour la saisie des données de l’exemple : Pour obtenir des instructions sur la saisie des définitions de fonction ou de programme sur plusieurs lignes, consultez la section relative à la calculatrice dans votre guide de produit. |
Affiche la valeur approchée de p à l'aide du réglage par défaut de Afficher chiffres, puis affiche p avec le réglage Fixe 2. Vérifiez que la valeur par défaut est bien restaurée après l'exécution du programme.
|
|
Nom du mode |
Entier du mode |
Entiers de réglage |
|
Afficher chiffres |
1 |
1=Flottant, 2=Flottant 1, 3=Flottant 2, 4=Flottant 3, 5=Flottant 4, 6=Flottant 5, 7=Flottant 6, 8=Flottant 7, 9=Flottant 8, 10=Flottant 9, 11=Flottant 10, 12=Flottant 11, 13=Flottant 12, 14=Fixe 0, 15=Fixe 1, 16=Fixe 2, 17=Fixe 3, 18=Fixe 4, 19=Fixe 5, 20=Fixe 6, 21=Fixe 7, 22=Fixe 8, 23=Fixe 9, 24=Fixe 10, 25=Fixe 11, 26=Fixe 12 |
|
Angle |
2 |
1=Radian, 2=Degré, 3=Grade |
|
Format Exponentiel |
3 |
1=Normal, 2=Scientifique, 3=Ingénieur |
|
Réel ou Complexe |
4 |
1=Réel, 2=Rectangulaire, 3=Polaire |
|
Auto ou Approché |
5 |
1=Auto, 2=Approché |
|
Format Vecteur |
6 |
1=Rectangulaire, 2=Cylindrique, 3=Sphérique |
|
Base |
7 |
1=Décimale, 2=Hexadécimale, 3=Binaire |
|
Catalogue > |
|
|
shift(Entier1[,nbreDécal])Þentier Décale les bits de la représentation binaire d'un entier. Entier1 peut être un entier de n'importe quelle base ; il est automatiquement converti sous forme binaire (64 bits) signée. Si Entier1 est trop important pour être codé sur 32 bits, il est ramené à l'aide d'une congruence dans la plage appropriée. Pour de plus amples informations, voir 4Base2, ici. Si nbreDécal est positif, le décalage s'effectue vers la gauche. Si nbreDécal est négatif, le décalage s'effectue vers la droite. La valeur par défaut est L1 (décalage d'un bit vers la droite). Dans un décalage vers la droite, le dernier bit est éliminé et 0 ou 1 est inséré à gauche selon le premier bit. Dans un décalage vers la gauche, le premier bit est éliminé et 0 est inséré comme dernier bit. Par exemple, dans un décalage vers la droite : Tous les bits sont décalés vers la droite. 0b0000000000000111101011000011010 Insère 0 si le premier bit est un 0 ou 1 si ce bit est un 1. donne : 0b00000000000000111101011000011010 Le résultat est affiché selon le mode Base utilisé. Les zéros de tête ne sont pas affichés. |
En mode base Bin :
En mode base Hex :
Important : pour une entrée binaire ou hexadécimale, vous devez utiliser respectivement le préfixe 0b ou 0h (zéro, pas la lettre O). |
|
shift(Liste1 [,nbreDécal])Þliste Donne une copie de Liste1 dont les éléments ont été décalés vers la gauche ou vers la droite de nbreDécal éléments. Ne modifie en rien Liste1. Si nbreDécal est positif, le décalage s'effectue vers la gauche. Si nbreDécal est négatif, le décalage s'effectue vers la droite. La valeur par défaut est L1 (décalage d'un élément vers la droite). Les éléments introduits au début ou à la fin de liste par l'opération de décalage sont remplacés par undef (non défini). |
En mode base Dec :
|
|
shift(Chaîne1 [,nbreDécal])Þchaîne Donne une copie de Chaîne1 dont les caractères ont été décalés vers la gauche ou vers la droite de nbreDécal caractères. Ne modifie en rien Chaîne1. Si nbreDécal est positif, le décalage s'effectue vers la gauche. Si nbreDécal est négatif, le décalage s'effectue vers la droite. La valeur par défaut est L1 (décalage d'un caractère vers la droite). Les caractères introduits au début ou à la fin de Chaîne par l'opération de décalage sont remplacés par un espace. |
|
|
Catalogue > |
|
|
sign(Valeur1)Þvaleur sign(Liste1)Þliste sign(Matrice1)Þmatrice Pour un Valeur1 réel ou complexe, donne Valeur1/ abs(Valeur1) si Valeur1 ƒ 0. Donne 1 si Valeur1 est positif.
sign(0) donne L1 en mode Format complexe Réel ; sinon, donne lui-même. sign(0) représente le cercle d'unité dans le domaine complexe. Dans le cas d'une liste ou d'une matrice, donne les signes de tous les éléments. |
En mode Format complexe Réel :
|
|
Catalogue > |
|||||||
|
simult(matriceCoeff, vecteurConst[, Tol])Þmatrice Donne un vecteur colonne contenant les solutions d'un système d'équations. Remarque : voir aussi matriceCoeff doit être une matrice carrée qui contient les coefficients des équations. vecteurConst doit avoir le même nombre de lignes (même dimension) que matriceCoeff et contenir le second membre. L'argument facultatif Tol permet de considérer comme nul tout élément de la matrice dont la valeur absolue est inférieure à Tol. Cet argument n'est utilisé que si la matrice contient des nombres en virgule flottante et ne contient pas de variables symbolique sans valeur affectée. Dans le cas contraire, Tol est ignoré.
|
Résolution de x et y : x + 2y = 1 3x + 4y = L1
La solution est x=L3 et y=2.
Résolution : ax + by = 1 cx + dy = 2
|
||||||
|
simult(matriceCoeff, matriceConst[, Tol])Þmatrice Permet de résoudre plusieurs systèmes d'équations, ayant les mêmes coefficients mais des seconds membres différents. Chaque colonne de matriceConst représente le second membre d'un système d'équations. Chaque colonne de la matrice obtenue contient la solution du système correspondant. |
Résolution : x + 2y = 1 3x + 4y = L1
x + 2y = 2 3x + 4y = L3
Pour le premier système, x=L3 et y=2. Pour le deuxième système, x=L7 et y=9/2. |
|
Touche µ |
|
|
sin(Valeur1)Þvaleur sin(Liste1)Þliste
sin(Liste1) donne la liste des sinus des éléments de Liste1. Remarque : l'argument est interprété comme mesure d'angle en degrés, en grades ou en radians, suivant le mode angulaire sélectionné. Vous pouvez utiliser ¡,G ou R pour ignorer temporairement le mode angulaire sélectionné. |
En mode Angle en degrés :
En mode Angle en grades :
En mode Angle en radians :
|
|
sin(matriceCarrée1)ÞmatriceCarrée Donne le sinus de la matrice matriceCarrée1. Ce calcul est différent du calcul du sinus de chaque élément. Pour plus d'informations sur la méthode de calcul, reportez-vous à cos(). matriceCarrée1 doit être diagonalisable. Le résultat contient toujours des chiffres en virgule flottante. |
En mode Angle en radians :
|
|
Touche µ |
|
|
sin/(Valeur1)Þvaleur sin/(Liste1)Þliste sin/(List1) donne la liste des arcs sinus des éléments de Liste1. Remarque : donne le résultat en degrés, en grades ou en radians, suivant le mode angulaire utilisé. Remarque : vous pouvez insérer cette fonction à partir du clavier en entrant arcsin(...). |
En mode Angle en degrés :
En mode Angle en grades :
En mode Angle en radians :
|
|
sin/(matriceCarrée1)ÞmatriceCarrée Donne l'argument arc sinus de la matrice matriceCarrée1. Ce calcul est différent du calcul de l'argument arc sinus de chaque élément. Pour plus d'informations sur la méthode de calcul, reportez-vous à cos(). matriceCarrée1 doit être diagonalisable. Le résultat contient toujours des chiffres en virgule flottante. |
En mode Angle en radians et en mode Format complexe Rectangulaire :
|
|
Catalogue > |
|
|
sinh(Valeur1)Þvaleur sinh(Liste1)Þliste
sinh (Liste1) donne la liste des sinus hyperboliques des éléments de Liste1. |
|
|
sinh(matriceCarrée1)ÞmatriceCarrée Donne le sinus hyperbolique de la matrice matriceCarrée1. Ce calcul est différent du calcul du sinus hyperbolique de chaque élément. Pour plus d'informations sur la méthode de calcul, reportez-vous à cos(). matriceCarrée1 doit être diagonalisable. Le résultat contient toujours des chiffres en virgule flottante. |
En mode Angle en radians :
|
|
Catalogue > |
|
|
sinh/(Valeur1)Þvaleur sinh/(Liste1)Þliste
sinh/(Liste1) donne la liste des arguments sinus hyperboliques des éléments de Liste1. Remarque : vous pouvez insérer cette fonction à partir du clavier en entrant arcsinh(...). |
|
|
sinh/(matriceCarrée1)ÞmatriceCarrée Donne l'argument sinus hyperbolique de la matrice matriceCarrée1. Ce calcul est différent du calcul de l'argument sinus hyperbolique de chaque élément. Pour plus d'informations sur la méthode de calcul, reportez-vous à cos(). matriceCarrée1 doit être diagonalisable. Le résultat contient toujours des chiffres en virgule flottante. |
En mode Angle en radians :
|
|
Catalogue > |
|
|
SinReg X, Y [, [Itérations],[ Période] [, Catégorie, Inclure] ] Effectue l'ajustement sinusoïdal sur les listes X et Y. Un récapitulatif du résultat est stocké dans la variable stat.results. (Voir ici.) Toutes les listes doivent comporter le même nombre de lignes, à l'exception de Inclure. X et Y sont des listes de variables indépendantes et dépendantes. Itérations spécifie le nombre maximum d'itérations (1 à 16) utilisées lors de ce calcul. S'il est omis, la valeur par défaut est 8. On obtient généralement une meilleure précision en choisissant une valeur élevée, mais cela augmente également le temps de calcul, et vice versa. Période spécifie une période estimée. S'il est omis, la différence entre les valeurs de X doit être égale et en ordre séquentiel. Si vous spécifiez la Période, les différences entre les valeurs de x peuvent être inégales. Catégorie est une liste de codes Inclure est une liste d'un ou plusieurs codes de catégories. Seuls les éléments dont le code de catégorie figure dans cette liste sont inclus dans le calcul. Le résultat obtenu avec SinReg est toujours exprimé en radians, indépendamment du mode Angle sélectionné. Pour plus d'informations concernant les éléments vides dans une liste, reportez-vous à “Éléments vides”, ici. |
|
|
Variable de sortie |
Description |
|
stat.RegEqn |
Équation d'ajustement : a·sin(bx+c)+d |
|
stat.a, stat.b, stat.c, stat.d |
Coefficients d'ajustement |
|
stat.Resid |
Valeurs résiduelles de l'ajustement |
|
stat.XReg |
Liste des points de données de la liste Liste X modifiée, actuellement utilisée dans l'ajustement basé sur les restrictions de Fréq, Liste de catégories et Inclure les catégories |
|
stat.YReg |
Liste des points de données de la liste Liste Y modifiée, actuellement utilisée dans l'ajustement basé sur les restrictions de Fréq, Liste de catégories et Inclure les catégories |
|
stat.FreqReg |
Liste des fréquences correspondant à stat.XReg et stat.YReg |
|
Catalogue > |
|
|
SortA Liste1[, Liste2] [, Liste3] ... SortA Vecteur1[, Vecteur2] [, Vecteur3] ... Trie les éléments du premier argument en ordre croissant. Si d'autres arguments sont présents, trie les éléments de chacun d'entre eux de sorte que leur nouvelle position corresponde aux nouvelles positions des éléments dans le premier argument. Tous les arguments doivent être des noms de listes ou de vecteurs et tous doivent être de même dimension. Les éléments vides compris dans le premier argument ont été déplacés au bas de la liste. Pour plus d'informations concernant les éléments vides, reportez-vous à la ici. |
|
|
Catalogue > |
|
|
SortD Liste1[, Liste2] [, Liste3] ... SortD Vecteur1[,Vecteur2] [,Vecteur3] ... Identique à SortA, mais SortD trie les éléments en ordre décroissant. Les éléments vides compris dans le premier argument ont été déplacés au bas de la liste. Pour plus d'informations concernant les éléments vides, reportez-vous à la ici. |
|
|
Catalogue > |
|
|
Vecteur 4Sphere Remarque : vous pouvez insérer cet opérateur à partir du clavier de l'ordinateur en entrant @>Sphere. Affiche le vecteur ligne ou colonne en coordonnées sphériques [r ±q ±f]. Vecteur doit être un vecteur ligne ou colonne de dimension 3. Remarque : 4Sphere est uniquement une instruction d'affichage et non une fonction de conversion. On ne peut l'utiliser qu'à la fin d'une ligne. |
|
|
Catalogue > |
|
|
sqrt(Valeur1)Þvaleur sqrt(Liste1)Þliste Donne la racine carrée de l'argument. Dans le cas d'une liste, donne la liste des racines carrées des éléments de Liste1. Remarque : voir aussi Modèle Racine carrée, ici. |
|
|
Catalogue > |
|
|
stat.results Affiche le résultat d'un calcul statistique. Les résultats sont affichés sous forme d'ensemble de paires nom-valeur. Les noms spécifiques affichés varient suivant la fonction ou commande statistique la plus récemment calculée ou exécutée. Vous pouvez copier un nom ou une valeur et la coller à d'autres emplacements.
Remarque : ne définissez pas de variables dont le nom est identique à celles utilisées dans le cadre de l'analyse statistique. Dans certains cas, cela peut générer une erreur. Les noms de variables utilisés pour l'analyse statistique sont répertoriés dans le tableau ci-dessous. |
|
|
stat.a stat.AdjR² stat.b stat.b0 stat.b1 stat.b2 stat.b3 stat.b4 stat.b5 stat.b6 stat.b7 stat.b8 stat.b9 stat.b10 stat.bList stat.c² stat.c stat.CLower stat.CLowerList stat.CompList stat.CompMatrix stat.CookDist stat.CUpper stat.CUpperList stat.d |
stat.dfDenom stat.dfBlock stat.dfCol stat.dfError stat.dfInteract stat.dfReg stat.dfNumer stat.dfRow stat.DW stat.e stat.ExpMatrix stat.F stat.FBlock stat.Fcol stat.FInteract stat.FreqReg stat.Frow stat.Leverage stat.LowerPred stat.LowerVal stat.m stat.MaxX stat.MaxY stat.ME stat.MedianX |
stat.MedianY stat.MEPred stat.MinX stat.MinY stat.MS stat.MSBlock stat.MSCol stat.MSError stat.MSInteract stat.MSReg stat.MSRow stat.n stat.Ç stat.Ç1 stat.Ç2 stat.ÇDiff stat.PList stat.PVal stat.PValBlock stat.PValCol stat.PValInteract stat.PValRow stat.Q1X stat.Q1Y |
stat.Q3X stat.Q3Y stat.r stat.r² stat.RegEqn stat.Resid stat.ResidTrans stat.sx stat.sy stat.sx1 stat.sx2 stat.Gx stat.Gx² stat.Gxy stat.Gy stat.Gy² stat.s stat.SE stat.SEList stat.SEPred stat.sResid stat.SEslope stat.sp stat.SS |
stat.SSBlock stat.SSCol stat.SSX stat.SSY stat.SSError stat.SSInteract stat.SSReg stat.SSRow stat.tList stat.UpperPred stat.UpperVal stat.v stat.v1 stat.v2 stat.vDiff stat.vList stat.XReg stat.XVal stat.XValList stat.w stat.y stat.yList stat.YReg |
|
Remarque : Chaque fois que l'application Tableur & listes calcule des résultats statistiques, les variables du groupe « stat. » sont copiées dans un groupe « stat#. », où # est un nombre qui est incrémenté automatiquement. Cela vous permet de conserver les résultats précédents tout en effectuant plusieurs calculs. |
|
Catalogue > |
|
|
stat.values Affiche une matrice des valeurs calculées pour la fonction ou commande statistique la plus récemment calculée ou exécutée. Contrairement à stat.results, stat.values omet les noms associés aux valeurs. Vous pouvez copier une valeur et la coller à d'autres emplacements. |
Voir l'exemple donné pour stat.results. |
|
Catalogue > |
|
|
stDevPop(Liste[, listeFréq])Þexpression Donne l'écart-type de population des éléments de Liste. Chaque élément de la liste listeFréq totalise le nombre d'occurrences de l'élément correspondant de Liste. Remarque : Liste doit contenir au moins deux éléments. Les éléments vides sont ignorés. Pour plus d'informations concernant les éléments vides, reportez-vous à la ici. |
En mode Angle en radians et en modes Auto :
|
|
stDevPop(Matrice1[, matriceFréq])Þmatrice Donne un vecteur ligne des écarts-types de population des colonnes de Matrice1. Chaque élément de matriceFréq totalise le nombre d'occurrences de l'élément correspondant de Matrice1. Remarque : Matrice1 doit contenir au moins deux lignes. Les éléments vides sont ignorés. Pour plus d'informations concernant les éléments vides, reportez-vous à la ici. |
|
|
Catalogue > |
|
|
stDevSamp(Liste[, listeFréq])Þexpression Donne l'écart-type d'échantillon des éléments de Liste. Chaque élément de la liste listeFréq totalise le nombre d'occurrences de l'élément correspondant de Liste. Remarque : Liste doit contenir au moins deux éléments. Les éléments vides sont ignorés. Pour plus d'informations concernant les éléments vides, reportez-vous à la ici. |
|
|
stDevSamp(Matrice1[, matriceFréq])Þmatrice Donne un vecteur ligne des écarts-types de population des colonnes de Matrice1. Chaque élément de matriceFréq totalise le nombre d'occurrences de l'élément correspondant de Matrice1. Remarque : Matrice1 doit contenir au moins deux lignes. Les éléments vides sont ignorés. Pour plus d'informations concernant les éléments vides, reportez-vous à la ici. |
|
|
Catalogue > |
|
|
Stop Commande de programmation : Ferme le programme. Stop n'est pas autorisé dans les fonctions. Remarque pour la saisie des données de l’exemple : Pour obtenir des instructions sur la saisie des définitions de fonction ou de programme sur plusieurs lignes, consultez la section relative à la calculatrice dans votre guide de produit. |
|
|
Voir & (store), ici. |
|
|
|
|
|
Catalogue > |
|
|
string(Expr)Þchaîne Simplifie Expr et donne le résultat sous forme de chaîne de caractères. |
|
|
Catalogue > |
|
|
subMat(Matrice1[, colDébut] [, colDébut] [, ligneFin] [, colFin]) Þmatrice Donne la matrice spécifiée, extraite de Matrice1. Valeurs par défaut : ligneDébut=1, colDébut=1, ligneFin=dernière ligne, colFin=dernière colonne. |
|
|
Voir G(), ici. |
|
|
|
|
|
Catalogue > |
|
|
sum(Liste[, Début[, Fin]])Þexpression Donne la somme des éléments de Liste. Début et Fin sont facultatifs. Ils permettent de spécifier une plage d'éléments. Tout argument vide génère un résultat vide. Les éléments vides de Liste sont ignorés. Pour plus d'informations concernant les éléments vides, reportez-vous à la ici. |
|
|
sum(Matrice1[, Début[, Fin]])Þmatrice Donne un vecteur ligne contenant les sommes des éléments de chaque colonne de Matrice1. Début et Fin sont facultatifs. Ils permettent de spécifier une plage de colonnes. Tout argument vide génère un résultat vide. Les éléments vides de Matrice1 sont ignorés. Pour plus d'informations concernant les éléments vides, reportez-vous à la ici. |
|
|
Catalogue > |
|||||||
|
sumIf(Liste,Critère[, ListeSommes])Þvaleur Affiche la somme cumulée de tous les éléments dans Liste qui répondent au critère spécifié. Vous pouvez aussi spécifier une autre liste, ListeSommes, pour fournir les éléments à cumuler. Liste peut être une expression, une liste ou une matrice. ListeSommes, si spécifiée, doit avoir la/les même(s) dimension (s) que Liste. Le critère peut être :
Lorsqu'un élément de Liste répond au critère, il est ajouté à la somme cumulée. Si vous incluez ListeSommes, c'est l'élément correspondant dans ListeSommes qui est ajouté à la somme. Dans l'application Tableur & listes, vous pouvez utiliser une plage de cellules à la place de Liste et ListeSommes. Les éléments vides sont ignorés. Pour plus d'informations concernant les éléments vides, reportez-vous à la ici. Remarque : voir également countIf(), ici. |
|
|
Voir G(), ici. |
|
|
|
|
|
Catalogue > |
|
|
system(Valeur1 [, Valeur2 [, Valeur3 [, ...]]]) Donne un système d'équations, présenté sous forme de liste. Vous pouvez également créer un système d'équation en utilisant un modèle. |

.