G
|
Catalogue > |
|
|
gcd(Nombre1, Nombre2)Þexpression Donne le plus grand commun diviseur des deux arguments. Le gcd de deux fractions correspond au gcd de leur numérateur divisé par le lcm de leur dénominateur. En mode Auto ou Approché, le gcd de nombre fractionnaires en virgule flottante est égal à 1. |
|
|
gcd(Liste1, Liste2)Þliste Donne la liste des plus grands communs diviseurs des éléments correspondants de Liste1 et Liste2. |
|
|
gcd(Matrice1, Matrice2)Þmatrice Donne la matrice des plus grands communs diviseurs des éléments correspondants de Matrice1 et Matrice2. |
|
|
Catalogue > |
|
|
geomCdf(p,lowBound,upBound)Þnombre si les bornes lowBound et upBound sont des nombres, liste si les bornes lowBound et upBound sont des listes geomCdf(p,upBound)pour P(1{X{upBound)Þnombre si la borne upBound est un nombre, liste si la borne upBound est une liste Calcule la probabilité qu'une variable suivant la loi géométrique prenne une valeur entre les bornes lowBound et upBound en fonction de la probabilité de réussite p spécifiée. Pour P(X { upBound), définissez lowBound = 1. |
|
|
Catalogue > |
|
|
geomPdf(p,ValX)Þnombre si ValX est un nombre, liste si ValX est une liste Calcule la probabilité que le premier succès intervienne au rang ValX, pour la loi géométrique discrète en fonction de la probabilité de réussite p spécifiée. |
|
|
Menu hub |
|||||||
|
Commande de programmation : récupère une valeur d’un hub connecté TI-Innovator™ Hub et affecte cette valeur à la variable var. La valeur doit être demandée :
— ou —
Une simplification implicite a lieu. Par exemple, la réception de la chaîne de caractères "123" est interprétée comme étant une valeur numérique. Pour conserver la chaîne de caractères, utilisez GetStr au lieu de Get. |
Exemple : demander la valeur actuelle du capteur intégré du niveau de lumière du hub. Utilisez Get pour récupérer la valeur et l’affecter à la variable lightval.
Incorporez la demande READ dans la commande Get.
|
||||||
|
Si vous incluez l’argument facultatif statusVar, une valeur lui sera affectée en fonction de la réussite de l’opération. Une valeur zéro signifie qu’aucune donnée n’a été reçue. |
|
||||||
|
Dans la deuxième syntaxe, l’argument fonc() permet à un programme de stocker la chaîne de caractères reçue comme étant la définition d’une fonction. Cette syntaxe équivaut à l’exécution par le programme de la commande suivante : Define fonc(arg1, ...argn) = chaîne reçue Le programme peut alors utiliser la fonction définie fonc(). Remarque : vous pouvez utiliser la commande Get dans un programme défini par l’utilisateur, mais pas dans une fonction. |
|
Catalogue > |
|
|
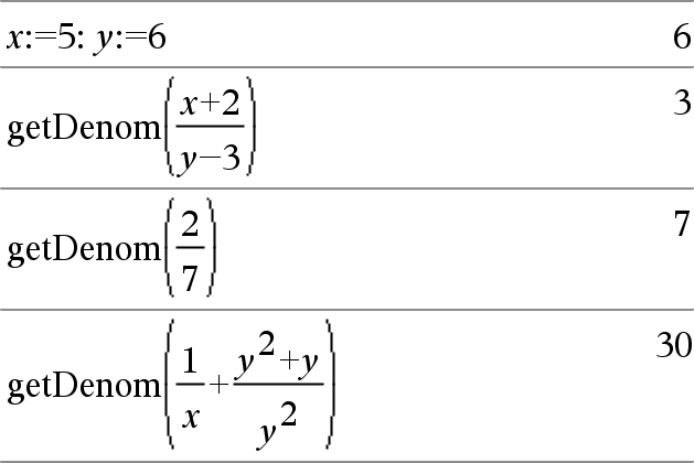
getDenom(Fraction1)Þvaleur Transforme l'argument en une expression dotée d'un dénominateur commun réduit, puis en donne le numérateur. |
|
|
Catalogue > |
|||||||
|
getKey([0|1]) ⇒ returnString Description :getKey() - permet à un programme TI-Basic de recevoir des entrées de clavier - calculatrice, ordinateur de bureau et émulateur sur ordinateur de bureau. Par exemple :
|
Par exemple :
|
Traitement des frappes de touche :
|
Touche de calculatrice/émulateur |
Ordinateur |
Valeur de retour |
|---|---|---|
|
Échap |
Échap |
« échap » |
|
Pavé tactile - Clic en haut |
n/a |
« haut » |
|
On |
n/a |
« accueil » |
|
|
|
|
|
Scratchapps |
n/a |
"scratchpad" |
|
Pavé tactile - Clic gauche |
n/a |
« gauche » |
|
Pavé tactile - Clic au centre |
n/a |
« centre » |
|
Pavé tactile - Clic droit |
n/a |
« droite » |
|
Classeur |
n/a |
« classeur » |
|
|
|
|
|
Tab |
Tab |
« tab » |
|
Pavé tactile - Clic en bas |
Flèche bas |
« bas » |
|
Menu |
n/a |
« menu » |
|
|
|
|
|
Ctrl |
Ctrl |
aucun retour |
|
Maj |
Maj |
aucun retour |
|
Var |
n/a |
« var » |
|
Suppr |
n/a |
« suppr » |
|
|
|
|
|
= |
= |
"=" |
|
trigonométrie |
n/a |
« trigonométrie » |
|
0 à 9 |
0-9 |
« 0 » ... « 9 » |
|
Modèles |
n/a |
« modèle » |
|
Catalogue |
n/a |
« cat » |
|
|
|
|
|
^ |
^ |
"^" |
|
X^2 |
n/a |
« carré » |
|
/ (touche division) |
/ |
"/" |
|
* (touche multiplication) |
* |
"*" |
|
e^x |
n/a |
« expr » |
|
10^x |
n/a |
« puissance de 10 » |
|
+ |
+ |
"+" |
|
- |
- |
"-" |
|
|
|
|
|
( |
( |
"(" |
|
) |
) |
")" |
|
. |
. |
"." |
|
(-) |
n/a |
« - » (signe moins) |
|
Entrée |
Entrée |
« entrée » |
|
|
|
|
|
ee |
n/a |
« E » (notation scientifique E) |
|
a - z |
a-z |
alpha = lettre pressée (minuscule) ("a" - "z") |
|
maj a-z |
maj a-z |
alpha = lettre pressée « A » - « Z » |
|
|
|
Note : ctrl-maj fonctionne pour le verrouillage des majuscules |
|
?! |
n/a |
"?!" |
|
|
|
|
|
pi |
n/a |
« pi » |
|
Marque |
n/a |
aucun retour |
|
|
|
|
|
, |
, |
"," |
|
Retour |
n/a |
Retour |
|
Espace |
Espace |
« » (espace) |
|
|
|
|
|
Inaccessible |
Touches de caractères spéciaux tels que @,!,^, etc. |
Le caractère est retourné |
|
n/a |
Touches de fonction |
Aucun caractère retourné |
|
n/a |
Touches de commandes spéciales pour ordinateur |
Aucun caractère retourné |
|
Inaccessible |
Autres touches pour ordinateur non disponibles sur la calculatrice lorsque getkey() est en attente d’une frappe. ({, },;, :, ...) |
Le même caractère que vous obtenez dans l’Éditeur mathématique (pas dans une boîte mathématique) |
Remarque : Il est important de noter que la présence de getKey() dans un programme modifie la façon dont certains événements sont traités par le système. Certains sont décrits ci-dessous.
Arrête le programme et traite l’événement - Exactement comme si l’utilisateur quittait le programme en appuyant sur la touche ON
« Support » ci-dessous signifie - le système fonctionne comme prévu - le programme continue à être exécuté.
|
Événement |
Unité nomade |
Ordinateur - TI-Nspire™ Student Software |
|---|---|---|
|
Questions rapides |
Arrête le programme, traite l’événement |
Comme avec l'unité nomade ( |
|
Gestion des fichiers à distance
(Incl. l’envoi du fichier « Exit Press 2 Test » d’une unité nomade à une autre ou à un ordinateur) |
Arrête le programme, traite l’événement |
Comme avec l'unité nomade. ( |
|
Fermer la classe |
Arrête le programme, traite l’événement |
Support ( |
|
Événement |
Unité nomade |
Ordinateur - TI-Nspire™ Toutes les versions |
|
|
Support - Peut émettre avec succès des commandes à |
Comme avec l'unité nomade |
|
Catalogue > |
|
|
getLangInfo()Þchaîne Retourne une chaîne qui correspond au nom abrégé de la langue active. Vous pouvez, par exemple, l'utiliser dans un programme ou une fonction afin de déterminer la langue courante. Anglais = « en » Danois = « da » Allemand = « de » Finlandais = « fi » Français = « fr » Italien = « it » Néerlandais = « nl » Néerlandais belge = « nl_BE » Norvégien = « no » Portugais = « pt » Espagnol = « es » Suédois = « sv » |
|
|
Catalogue > |
|
|
Donne l'état de verrouillage/déverrouillage de la variable Var. valeur =0 : Var est déverrouillée ou n'existe pas. valeur =1 : Var est verrouillée et ne peut être ni modifiée ni supprimée. |
|
|
Catalogue > |
|
|
getMode(EntierNomMode)Þvaleur getMode(0)Þliste getMode(EntierNomMode) affiche une valeur représentant le réglage actuel du mode EntierNomMode. getMode(0) affiche une liste contenant des paires de chiffres. Chaque paire consiste en un entier correspondant au mode et un entier correspondant au réglage. Pour obtenir une liste des modes et de leurs réglages, reportez-vous au tableau ci-dessous. Si vous enregistrez les réglages avec getMode(0) & var, vous pouvez utiliser setMode(var) dans une fonction ou un programme pour restaurer temporairement les réglages au sein de l'exécution de la fonction ou du programme uniquement. Voir également setMode(), ici. |
|
|
Nom du mode |
Entier du mode |
Entiers de réglage |
|
Afficher chiffres |
1 |
1=Flottant, 2=Flottant 1, 3=Flottant 2, 4=Flottant 3, 5=Flottant 4, 6=Flottant 5, 7=Flottant 6, 8=Flottant 7, 9=Flottant 8, 10=Flottant 9, 11=Flottant 10, 12=Flottant 11, 13=Flottant 12, 14=Fixe 0, 15=Fixe 1, 16=Fixe 2, 17=Fixe 3, 18=Fixe 4, 19=Fixe 5, 20=Fixe 6, 21=Fixe 7, 22=Fixe 8, 23=Fixe 9, 24=Fixe 10, 25=Fixe 11, 26=Fixe 12 |
|
Angle |
2 |
1=Radian, 2=Degré, 3=Grade |
|
Format Exponentiel |
3 |
1=Normal, 2=Scientifique, 3=Ingénieur |
|
Réel ou Complexe |
4 |
1=Réel, 2=Rectangulaire, 3=Polaire |
|
Auto ou Approché |
5 |
1=Auto, 2=Approché |
|
Format Vecteur |
6 |
1=Rectangulaire, 2=Cylindrique, 3=Sphérique |
|
Base |
7 |
1=Décimale, 2=Hexadécimale, 3=Binaire |
|
Catalogue > |
|
|
getNum(Fraction1)Þvaleur Transforme l'argument en une expression dotée d'un dénominateur commun réduit, puis en donne le dénominateur. |
|
|
Menu hub |
|
|
Commande de programmation : fonctionne de manière identique à la commande Get, sauf que la valeur reçue est toujours interprétée comme étant une chaîne de caractères. En revanche, la commande Get interprète la réponse comme une expression, à moins que l’utilisateur ne la saisisse entre guillemets (""). |
Par exemple, voir Get. |
|
Catalogue > |
|
|
Retourne une chaîne de caractère qui indique le type de données de la variable var. Si var n'a pas été définie, retourne la chaîne "AUCUNE". |
|
|
Catalogue > |
|
|
getVarInfo()Þmatrice ou chaîne getVarInfo(chaîneNomBibliothèque)Þmatrice ou chaîne getVarInfo() donne une matrice d'informations (nom et type de la variable, accès à la bibliothèque et état de verrouillage/déverrouillage) pour toutes les variables et objets de la bibliothèque définis dans l'activité courante. Si aucune variable n'est définie, getVarInfo() donne la chaîne « NONE » (AUCUNE). getVarInfo(chaîneNomBibliothèque)donne une matrice d'informations pour tous les objets de bibliothèque définis dans la bibliothèque chaîneNomBibliothèque. chaîneNomBibliothèque doit être une chaîne (texte entre guillemets) ou une variable. Si la bibliothèque chaîneNomBibliothèque n'existe pas, une erreur est générée. |
|
|
Observez l'exemple de gauche dans lequel le résultat de getVarInfo() est affecté à la variable vs. La tentative d'afficher la ligne 2 ou 3 de vs génère un message d'erreur “Liste ou matrice invalide” car pour au moins un des éléments de ces lignes (variable b, par exemple) l'évaluation redonne une matrice. Cette erreur peut également survenir lors de l'utilisation de Ans pour réévaluer un résultat de getVarInfo(). Le système génère l'erreur ci-dessus car la version courante du logiciel ne prend pas en charge les structures de matrice généralisées dans lesquelles un élément de matrice peut être une matrice ou une liste. |
|
|
Catalogue > |
|
|
Goto nomÉtiquette Transfère le contrôle du programme à l'étiquette nomÉtiquette. nomÉtiquette doit être défini dans la même fonction à l'aide de l'instruction Lbl. Remarque pour la saisie des données de l’exemple : Pour obtenir des instructions sur la saisie des définitions de fonction ou de programme sur plusieurs lignes, consultez la section relative à la calculatrice dans votre guide de produit. |
|
|
Catalogue > |
|
|
Expr1 4 GradÞexpression Convertit Expr1 en une mesure d'angle en grades. Remarque : vous pouvez insérer cet opérateur à partir du clavier de l'ordinateur en entrant @>Grad. |
En mode Angle en degrés :
En mode Angle en radians :
|
