P
|
Katalogi > |
|
|
P►Rx(rLaus, qLaus)Þlauseke Määrittää paria Huomaa: Argumentti q tulkitaan joko aste-, graadi- tai radiaanikulmaksi valittuna olevan kulmatilan mukaisesti. Jos argumentti on lauseke, voit ohittaa kulmatila-asetuksen väliaikaisesti käyttämällä merkintää ¡, G tai R. Huomaa: Voit syöttää tämän funktion tietokoneen näppäimistöltä kirjoittamalla P@>Rx(...). |
Radiaanikulmatilassa:
|
|
Katalogi > |
|
|
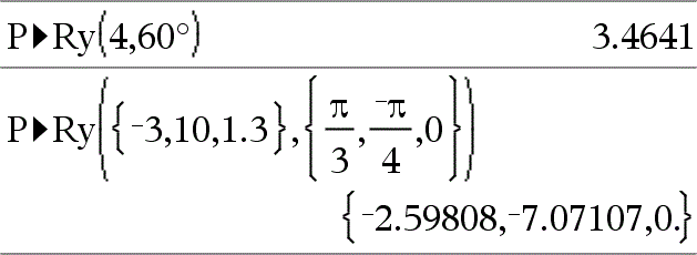
Määrittää paria (r, q) vastaavan y-koordinaatin. Huomaa: Argumentti q tulkitaan joko aste-, radiaani- tai graadikulmaksi valittuna olevan kulmatilan mukaisesti. Huomaa: Voit syöttää tämän funktion tietokoneen näppäimistöltä kirjoittamalla P@>Ry(...). |
Radiaanikulmatilassa:
|
|
Katalogi > |
|
|
PassErr Ohittaa virheen siirtyen seuraavalle tasolle. Jos järjestelmän muuttuja errCode on nolla, PassErr ei tee mitään. Else-lauseessa lohkossa Try...Else...EndTry tulee käyttää komentoa ClrErr tai PassErr. Jos virhe on tarkoitus käsitellä tai jättää huomiotta, käytä komentoa ClrErr. Jos et tiedä, mitä tehdä virheen suhteen, lähetä se seuraavaan virheenkäsittelijään käyttämällä komentoa PassErr. Jos odottavia Try...Else...EndTry-virheenkäsittelijöitä ei ole enää, virheen valintaikkuna tulee näkyviin normaalisti. Huomaa: Katso myös ClrErr, täältä, ja Try, täältä. Huomaa esimerkkiä syöttäessäsi: Ohjeet monirivisten ohjelmien ja funktion määritysten syöttämisestä löytyvät tuotteen ohjekirjan Laskin-osiosta. |
Esimerkki PassErr-komennosta, katso esimerkki 2 Try-komennon kohdalla, täältä. |
|
Katalogi > |
|
|
piecewise(Laus1 [, Ehto1 [, Laus2 [, Ehto2 [, … ]]]]) Laatii määritelmät paloittain määritellylle funktiolle listan muodossa. Voit luoda paloittain määriteltyjen funktioiden määrityksiä myös mallin avulla. Huomaa: Katso myös Paloittain määritellyn funktion malli, täältä. |
|
|
Katalogi > |
|
|
poissCdf(l,alaraja,yläraja)Þluku, jos alaraja ja yläraja ovat lukuja, lista, jos alaraja ja yläraja ovat listoja poissCdf(l,yläraja)(kun P(0{X{yläraja)Þluku, jos yläraja on luku, lista, jos yläraja on lista Laskee kumulatiivisen todennäköisyyden diskreetille Poissonin jakaumalle, jolla on määritetty keskiarvo l. Kun P(X { yläraja), aseta alaraja=0 |
|
|
Katalogi > |
|
|
poissPdf(l,XArvo)Þluku, jos XArvo on luku, lista, jos XArvo on lista Laskee todennäköisyyden diskreetille Poissonin jakaumalle, jolla on määritetty keskiarvo l. |
|
|
Katalogi > |
|||||||
|
Vektori ►Polar Huomaa: Voit syöttää tämän operaattorin tietokoneen näppäimistöltä kirjoittamalla @>Polar. Näyttää vektorin polaarisessa muodossa [r ±q]. Vektorin on oltava kooltaan 2, ja se voi olla rivi tai sarake. Huomaa: ►Polar on näyttömuodon ohje, ei muunnosfunktio. Voit käyttää komentoa ainoastaan syöterivin lopussa, eikä se päivitä ans:n arvoa. Huomaa: Katso myös ►Rect, täältä. |
|
||||||
|
kompleksiArvo 4Polaarinen Näyttää kompleksiVektorin polaarisessa muodossa.
kompleksiArvolla voi olla mikä tahansa kompleksilukumuoto. Syöte reiq aiheuttaa kuitenkin virheen astekulmatilassa. Huomaa: Polaarisessa syötteessä (r±q) on käytettävä sulkeita. |
Radiaanikulmatilassa:
|
|
Katalogi > |
|
|
polyEval(Lista1, Laus1)Þlauseke Tulkitsee ensimmäisen argumentin laskeva-asteisen polynomin kertoimeksi ja antaa vastauksena polynomin, josta on laskettu toisen argumentin arvo. |
|
|
Katalogi > |
|
|
Ensimmäinen syntaksi, Toinen syntaksi, Huomaa: Katso myös |
|
|
Katalogi > |
|
|
PowerReg X,Y [, Frekv] [, Luokka, Sisällytä]] Laskee potenssiregressiony = (a·(x)b)listoista X ja Y frekvenssillä Frekv. Tulosten yhteenveto tallentuu stat.results-muuttujaan. (Katso täältä.) Kaikkien listojen on oltava samankokoisia Sisällytä-listaa lukuunottamatta. X ja Y ovat riippumattomien ja riippuvien muuttujien listoja. Frekv on valinnainen frekvenssiarvojen lista. Jokainen Frekv:n elementti määrittää kunkin vastaavan datapisteen X ja Y esiintymisfrekvenssin. Oletusarvo on 1. Kaikkien elementtien on oltava kokonaislukuja 0. Luokka on Sisällytä on yhden tai usemman luokkakoodin lista. Vain ne datayksiköt, joiden luokkakoodi sisältyy tähän listaan, ovat mukana laskutoimituksessa. Lisätietoja listassa olevien tyhjien elementtien vaikutuksesta, katso Tyhjät elementitsivulla täältä. |
|
|
Tulosmuuttuja |
Kuvaus |
|
stat.RegEqn |
Regressioyhtälö: a·(x)b |
|
stat.a, stat.b |
Regressiokertoimet |
|
stat.r2 |
Muunnettujen tietojen lineaarimäärittelyn kerroin |
|
stat.r |
Muunnettujen tietojen korrelaatiokerroin (ln(x), ln(y)) |
|
stat.Resid |
Potenssimalliin liittyvät jäännökset |
|
stat.ResidTrans |
Muunnettujen tietojen lineaariseen sovitukseen liittyvät jäännökset |
|
stat.XReg |
Muokatun Y Lista:n sisältämä datapisteiden lista, jota käytetään regressiossa komentojen Frekv, Luokkalista ja Sisällytä luokat rajoitusten mukaisesti |
|
stat.YReg |
Muokatun Y Lista:n sisältämä datapisteiden lista, jota käytetään regressiossa komentojen Frekv, Luokkalista ja Sisällytä luokat rajoitusten mukaisesti |
|
stat.FreqReg |
Komentoja stat.XReg ja stat.YReg vastaava frekvenssilista |
|
Katalogi > |
|
|
Malli käyttäjän määrittämän ohjelman luomista varten. Käytetään komennon Define, Define LibPub tai Define LibPriv kanssa. Lohko voi olla yksi lauseke tai sarja lausekkeita, jotka on erotettu toisistaan kaksoispisteellä (:), tai sarja eri riveillä olevia lausekkeita. Huomaa esimerkkiä syöttäessäsi: Ohjeet monirivisten ohjelmien ja funktion määritysten syöttämisestä löytyvät tuotteen ohjekirjan Laskin-osiosta. |
Laske GCD ja näytä välitulokset.
|
|
Katso P(), täältä. |
|
|
|
|
|
Product (PI) |
Katso P(), täältä. |
|
|
|
|
Katalogi > |
|
|
product(Lista[, Alku[, loppu]])Þlauseke Laskee Listan sisältämien elementtien tulon. Alku ja Loppu ovat valinnaisia. Ne määrittävät elementtien alueen. |
|
|
product(Matriisi1[, Alku[, loppu]])Þmatriisi Laskee rivivektorin, joka sisältää Matriisi1:n sarakkeiden elementtien tulot. Alku ja Loppu ovat valinnaisia. Ne määrittävät rivialueen. Tyhjiä elementtejä ei huomioida. Lisätietoja tyhjistä elementeistä, katso täältä. |
|
|
Katalogi > |
|
|
propFrac(Arvo1[, Muutt])Þarvo propFrac(rationaali_luku) laskee rationaali_luvun kokonaisluvun summana ja murtolukuna, jolla on sama etumerkki ja suurempi nimittäjä kuin osoittaja. |
|
|
propFrac(rationaali_lauseke,Muutt) laskee aitojen suhdelukujen summan ja polynomin muuttujan Muutt suhteen. Muuttujan Muutt aste nimittäjässä on suurempi kuin muuttujan Muutt aste osoittajassa kussakin aidossa suhdeluvussa. Muuttujan Muutt samanlaiset potenssit kerätään. Termit ja niiden tekijät lajitellaan siten, että Muutt on päämuuttuja. Jos Muutt jätetään pois, varsinaisen murtoluvun lavennus tehdään pääasiallisimmalla muuttujalla. Polynomiosan kertoimet tehdään sen jälkeen aidoiksi ensin niiden pääasiallisimman muuttujan suhteen ja niin edelleen. |
|
|
propFrac()-funktion avulla voit esittää sekalukuja ja suorittaa sekalukujen yhteen- ja vähennyslaskua. |
|
