S
|
µ -painike |
|
|
sec(Arvo1) Þ arvo sec(Lista1) Þ lista Laskee Arvo1:n sekantin tai määrittää listan, joka sisältää Lista1:n kaikkien elementtien sekantit. Huomaa: Argumentti tulkitaan aste-, graadi- tai radiaanikulmaksi käytössä olevan kulmatila-asetuksen mukaisesti. Voit ohittaa kulmatilan väliaikaisesti painikkeilla ¡, G tai R. |
Astekulmatilassa:
|
|
µ -painike |
|
|
sec/(Arvo1) Þ arvo sec/(Lista1) Þ lista Määrittää kulman, jonka sekantti on Arvo1, tai määrittää listan, joka sisältää Lista1:n kaikkien elementtien käänteissekantit. Huomaa: Vastaus lasketaan aste-, graadi- tai radiaanikulmana käytössä olevan kulmatila-asetuksen mukaisesti. Huomaa: Voit syöttää tämän funktion näppäimistöltä kirjoittamalla arcsec(...). |
Astekulmatilassa:
|
|
Katalogi > |
|
|
sech(Arvo1) Þ arvo sech(Lista1) Þ lista
|
|
|
Katalogi > |
|
|
sech/(Arvo1) Þ arvo sech/ (Lista1) Þ lista Laskee Arvo1:n käänteisen hyperbolisen sekantin tai määrittää listan, joka sisältää Lista1:n kaikkien elementtien käänteiset hyperboliset sekantit. Huomaa: Voit syöttää tämän funktion näppäimistöltä kirjoittamalla arcsech(...). |
Radiaanikulma- ja suorakulmakompleksitilassa:
|
|
Laite-valikko |
|
|
Ohjelmointikomento: Lähettää yhden tai useamman TI-Innovator™ Hub komennon liitettyyn laitteeseen. lausTaiMerkkijonon täytyy olla validi TI-Innovator™ Hub Komento. Tavallisesti lausTaiMerkkijono sisältää "SET ..."komento laitteen tai "READ ..." hallitsemiseksi komento tiedon kysymiseksi. Argumentit lähetetään laitteeseen peräkkäisinä. Huomio: Komentoa Send voi käyttää käyttäjän määrittelemän ohjelman sisällä mutta ei funktion sisällä. Huomio: Katso myös Get (täältä), GetStr (täältä), ja eval() (täältä). |
Esimerkki: Sytytä sisäänrakennetun RGB-ledin sininen väri 0,5 sekunniksi.
Esimerkki: Kysy laitteen sisäänrakennetun valotasoanturin tämänhetkinen arvo. Get-komento noutaa arvon ja sijoittaa sen muuttujaan lightval.
Esimerkki: Lähetä laskettu taajuus laitteen sisäänrakennettuun kaiuttimeen. Käytä erikoismuuttujaa iostr.SendAns näyttääksesi laitekomennon ilmaus arvioituna.
|
|
Katalogi > |
|
|
seq(Laus, Muutt, Matala, Korkea[, Askel])Þlista Lisää muuttujan Var arvoa arvosta Low arvoon High välillä Step, laskee Expr, ja antaa tulokset luettelona. Muuttujan Var alkuperäinen sisältö on edelleen tallessa funktion Oletusarvo Step = 1. |
Huom: Vastauksen pakottaminen likimääräiseksi: Kämmenlaite: Paina / ·.
|
|
Katalogi > |
|
|
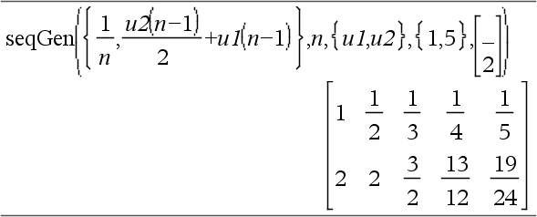
Luo termiluettelon sekvenssille depVar(Var)=Expr seuraavasti: Lisää riippumattoman muuttujan Var arvoa arvosta Var0 arvoon VarMax portailla VarStep, laskee depVar(Var) muuttujan Var vastaaville arvoille käyttäen Expr-kaavaa ja ListOfInitTerms -luetteloa, ja antaa tulokset luettelona
Luo termimatriisin sekvenssien ListOfDepVars(Var)=ListOrSystemOfExpr ryhmälle (tai listalle) seuraavasti: Lisää riippumattoman muuttujan Var arvoa arvosta Var0 arvoon VarMax portailla VarStep, laskee ListOfDepVars(Var) muuttujan Var vastaaville arvoille käyttäen Expr-kaavaa ja MatrixOfInitTerms -luetteloa, ja antaa tulokset matriisina. Muuttujan Var alkuperäinen sisältö on edelleen tallessa funktion Oletusarvo VarStep = 1. |
Luo sekvenssin 5 ensimmäistä termiä u(n) = u(n-1)2/2, kun u(1)=2 ja VarStep=1.
Esimerkki, jossa Var0=2:
Kahden sekvenssin ryhmä:
Huomaa: Muuttujaa Tyhjä (_) yllä olevassa aloitustermimatriisissa käytetään ilmoittamaan, että u1(n):n aloitustermi on laskettu käyttämällä täsmällistä sekvenssikaavaa u1(n)=1/n. |
|
Katalogi > |
|
|
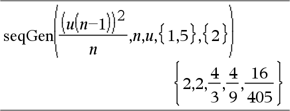
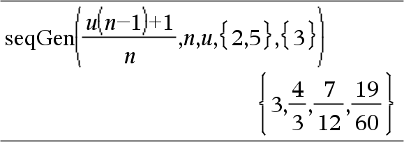
Luo termiluettelon sekvenssille u(n)=Expr(u, n) seuraavasti: Lisää muuttujan n arvoa arvosta 1 arvoon nMax 1 välein, laskee lausekkeen u(n) muuttujan n vastaaville arvoille käyttäen Expr(u, n) -kaavaa ja ListOfInitTerms -luetteloa ja antaa tulokset luettelona.
Luo termiluettelon ei-rekursiiviselle sekvenssille u(n)=Expr(u, n) seuraavasti: Lisää muuttujan n arvoa arvosta 1 arvoon nMax 1 välein, laskee lausekkeen u(n) muuttujan n vastaaville arvoille käyttäen Expr(n) -kaavaa ja antaa tulokset luettelona. Jos arvo nMax puuttuu, nMax asetetaan arvoon 2500. Jos nMax=0, nMax asetetaan arvoon 2500. Huomaa: |
Luo sekvenssin 6 ensimmäistä termiä u(n) = u(n-1)/2, kun u(1)=2.
|
|
Katalogi > |
|
|
setMode(tilaNimiKokonaisluku, asetusKokonaisluku) Þkokonaisluku Toimii vain funktiossa tai ohjelmassa. setMode(tilaNimiKokonaisluku, asetusKokonaislkuku) asettaa tilan tilaNimiKokonaisluku väliaikaisesti uuteen asetukseen asetusKokonaisluku ja määrittää kokonaisluvun, joka vastaa kyseisen tilan alkuperäistä asetusta. Muutos on rajoitettu ohjelman/funktion suorittamisen ajalle. tilaNimiKokonaisluku määrittää asetettavan tilan. Sen on oltava jokin alla olevan taulukon tilaa kuvaavista kokonaisluvuista. asetusKokonaisluku määrittää tilan uuden asetuksen. Sen on oltava jokin seuraavista asetettavalle tilalle varatuista asetusta kuvaavista kokonaisluvuista. setMode(lista)-komennolla voit muuttaa useita asetuksia. lista sisältää tilaa ja asetusta kuvaavat kokonaislukuparit. setMode(lista) luo samanlaisen listan, jonka kokonaislukuparit kuvaavat alkuperäisiä tiloja ja asetuksia. Jos olet tallentanut kaikki tila-asetukset komennolla getMode(0) & muutt, voit palauttaa nämä asetukset komennolla setMode(muutt) aina funktion tai ohjelman sulkemiseen saakka. Katso getMode(), täältä. Huomaa: Nykyiset tila-asetukset siirtyvät haettuihin alarutiineihin. Jos jokin alarutiini muuttaa tila-asetusta, tilamuutos häviää, kun ohjaus palautuu hakurutiiniin. Huomaa esimerkkiä syöttäessäsi: Ohjeet monirivisten ohjelmien ja funktion määritysten syöttämisestä löytyvät tuotteen ohjekirjan Laskin-osiosta. |
Näytä p:n likiarvo käyttäen Näytettävät numerot -tilan oletusasetusta ja näytä sen jälkeen p asetuksella Kiinteä2. Tarkista, että oletusarvo palautuu ohjelman suorittamisen jälkeen.
|
|
Tilan |
Tilaa vastaava |
|
|
Näytettävät numerot |
1 |
1=Liukuva, 2=Liukuva1, 3=Liukuva2, 4=Liukuva3, 5=Liukuva4, 6=Liukuva5, 7=Liukuva6, 8=Liukuva7, 9=Liukuva8, 10=Liukuva9, 11=Liukuva10, 12=Liukuva11, 13=Liukuva12, 14=Kiinteä0, 15=Kiinteä1, 16=Kiinteä2, 17=Kiinteä3, 18=Kiinteä4, 19=Kiinteä5, 20=Kiinteä6, 21=Kiinteä7, 22=Kiinteä8, 23=Kiinteä9, 24=Kiinteä10, 25=Kiinteä11, 26=Kiinteä12 |
|
Kulma |
2 |
1=Radiaani, 2=Aste, 3=Graadi |
|
Eksponenttimuoto |
3 |
1=Normaali, 2=Kymmenpotenssi, 3=Tekninen |
|
Reaali- tai kompleksiluku |
4 |
1=Reaali, 2=Suorakulma, 3=Polaarinen |
|
Automaattinen tai likimääräinen. |
5 |
1=Automaattinen, 2=Likimääräinen |
|
Vektorimuoto |
6 |
1=Suorakulma, 2=Sylinteri, 3=Pallo |
|
Kantaluku |
7 |
1=Desimaali, 2=Heksagonaalinen, 3=Binaarinen |
|
Katalogi > |
|
|
shift(Kokonaisluku1[,SiirtojenLkm])Þkokonaisluku Siirtää binaarisen kokonaisluvun bittejä. Voit syöttää Kokonaisluku1:n minä tahansa kantalukuna; se muunnetaan automaattisesti etumerkilliseen 64 bitin binaarimuotoon. Jos Kokonaisluku1 on liian suuri tälle muodolle, symmetrinen modulo-operaatio sovittaa sen alueelle sopivaksi. Lisätietoja, katso 4Base2, täältä. Jos SiirtojenLkm on positiivinen, siirto tapahtuu vasemmalle. Jos SiirtojenLkm on negatiivinen, siirto tapahtuu oikealle. Oletusarvo on L1 (siirrä yksi bitti oikealle). Oikealle tapahtuvassa siirrossa oikeanpuoleisin bitti pudotetaan, ja 0 ja 1 lisätään vastaamaan vasemmanpuoleista bittiä. Vasemmalle tapahtuvassa siirrossa vasemmanpuoleisin bitti pudotetaan, ja 0 lisätään vastaamaan oikeanpuoleisinta bittiä. Esimerkki siirrosta oikealle: Jokainen bitti siirtyy oikealle. 0b0000000000000111101011000011010 Lisää 0:n, jos vasemmanpuoleisin bitti on 0, tuottaa: 0b00000000000000111101011000011010 Vastaus näkyy kantalukutilan mukaisesti. Alkunollia ei näytetä. |
Binaarisessa kantalukutilassa:
Tärkeää: Binaariluvun edelle tulee aina merkitä etumerkki 0b ja heksadesimaaliluvun edelle 0h (nolla, ei O-kirjain). |
|
shift(Lista1 [,SiirtojenLkm])Þlista Luo Lista1:n kopion, jota on siirretty oikealle tai vasemmalle SiirtojenLkm:n elementtien määrittämän määrän. Ei muuta Lista1:ä. Jos SiirtojenLkm on positiivinen, siirto tapahtuu vasemmalle. Jos SiirtojenLkm on negatiivinen, siirto tapahtuu oikealle. Oletusarvo on L1 (siirrä yksi elementti oikealle). Elementit, jotka siirto vie listan alkuun tai loppuun, asettuvat symboliksi “undef”. |
Desimaalisessa kantalukutilassa:
|
|
shift(Merkkijono1 [,SiirtojenLkm])Þmerkkijono Luo Merkkijono1:n kopion, jota on siirretty oikealle tai vasemmalle SiirtojenLkm:n merkkien määrittämän määrän. Ei muuta Merkkijono1:ä. Jos SiirtojenLkm on positiivinen, siirto tapahtuu vasemmalle. Jos SiirtojenLkm on negatiivinen, siirto tapahtuu oikealle. Oletusarvo on L1 (siirrä yksi merkki oikealle). Merkit, jotka siirto vie merkkijonon alkuun tai loppuun, muuttuvat välilyönneiksi. |
|
|
Katalogi > |
|
|
sign(Arvo1)Þarvo sign(Lista1)Þlista sign(Matriisi1)Þmatriisi
sign(0) edustaa kompleksialueen yksikköpiiriä. Kun kyseessä on lista tai matriisi, määrittää kaikkien elementtien etumerkit. |
|
|
Katalogi > |
|||||||
|
simult(kerroinMatriisi, vakioVektori[, tol])Þmatriisi Määrittää sarakevektorin, joka sisältää lineaarisen yhtälöryhmän ratkaisut. Huomaa: Katso myös kerroinMatriisin on oltava neliömatriisi, joka sisältää yhtälöiden kertoimet. vakioVektorissa on oltava sama rivimäärä (sama koko) kuin kerroinMatriisissa ja sen tulee sisältää vakiot. Valinnaisesti kaikkia matriisielementtejä käsitellään nollana, jos niiden itseisarvo on pienempi kuin Tol. Tätä toleranssia käytetään vain, jos matriisissa on liukulukusyötteitä eikä se sisällä symbolisia muuttujia, joille ei ole määritetty arvoa. Muussa tapauksessa Tol-komentoa ei huomioida.
|
Ratkaise yhtälöstä x ja y:
Ratkaisu on x=L3 and y=2.
|
||||||
|
simult(kerroinMatriisi, vakioMatriisi[, tol])Þmatriisi Ratkaisee lineaarisia yhtälöryhmiä, joissa jokaisessa ryhmässä on samat yhtälöiden kertoimet mutta eri vakiot. Jokaisen vakioMatriisin sarakkeen tulee sisältää jonkin yhtälöryhmän vakiot. Jokainen tulosmatriisin sarake sisältää vastaavan ryhmän ratkaisun. |
Ratkaise: x + 2y = 2
Ensimmäisessä ryhmässä x=L3 ja y=2. Toisessa ryhmässä x=L7 ja y=9/2. |
|
µ -painike |
|
|
sin(Arvo1)Þarvo sin(Lista1)Þlista
sin(Lista1) määrittää listan, joka sisältää Lista1:n kaikkien elementin sinit. Huomaa: Argumentti tulkitaan aste-, graadi- tai radiaanikulmaksi käytössä olevan kulmatilan mukaisesti. Voit ohittaa kulmatila-asetuksen väliaikaisesti käyttämällä merkintää ¡,G tai R. |
Astekulmatilassa:
|
|
sin(neliömatriisi1)Þneliömatriisi Määrittää neliömatriisi1:n matriisin sinin. Tämä ei ole sama kuin kunkin elementin sinin laskeminen. Laskentamenetelmä on kuvattu kohdassa cos(). neliömatriisi1:n on oltava diagonalisoitavissa. Vastaus sisältää aina liukulukuja. |
Radiaanikulmatilassa:
|
|
µ -painike |
|
|
sin/(Arvo1)Þarvo sin/(Lista1)Þlista
sin/(Lista1) määrittää listan, joka sisältää Lista1:n kaikkien elementtien käänteissinit. Huomaa: Vastaus lasketaan aste-, graadi- tai radiaanikulmana käytössä olevan kulmatila-asetuksen mukaisesti. Huomaa: Voit syöttää tämän funktion näppäimistöltä kirjoittamalla arcsin(...). |
Astekulmatilassa:
|
|
sin/(neliömatriisi1)Þneliömatriisi Laskee neliömatriisi1:n matriisin käänteissinin. Tämä ei ole sama kuin kunkin elementin käänteissinin laskeminen. Laskentamenetelmä on kuvattu kohdassa cos(). neliömatriisi1:n on oltava diagonalisoitavissa. Vastaus sisältää aina liukulukuja. |
Radiaanikulmatilassa ja suorakulmakompleksimuodossa:
|
|
Katalogi > |
|
|
sinh(Numver1)Þarvo sinh(Lista1)Þlista
sinh (Lista1) määrittää listan, joka sisältää Lista1:n jokaisen elementin hyperbolisen sinin. |
|
|
sinh(neliömatriisi1)Þneliömatriisi Laskee neliömatriisi1:n matriisin hyperbolisen sinin. Tämä ei ole sama kuin kunkin elementin hyperbolisen sinin laskeminen. Laskentamenetelmä on kuvattu kohdassa cos(). neliömatriisi1:n on oltava diagonalisoitavissa. Vastaus sisältää aina liukulukuja. |
Radiaanikulmatilassa:
|
|
Katalogi > |
|
|
sinh/(Arvo1)Þarvo sinh/(Lista1)Þlista
sinh/(Lista1) määrittää listan, joka sisältää Lista1:n jokaisen elementin käänteiset hyperboliset sinit. Huomaa: Voit syöttää tämän funktion näppäimistöltä kirjoittamalla arcsinh(...). |
|
|
sinh/(neliömatriisi1)Þneliömatriisi Laskee neliömatriisi1:n matriisin käänteisen hyperbolisen sinin. Tämä ei ole sama kuin kunkin elementin käänteisen hyperbolisen sinin laskeminen. Laskentamenetelmä on kuvattu kohdassa cos(). neliömatriisi1:n on oltava diagonalisoitavissa. Vastaus sisältää aina liukulukuja. |
Radiaanikulmatilassa:
|
|
Katalogi > |
|
|
SinReg X, Y [ , [Iteraatiot] ,[ Jakso] [, Luokka, Sisällytä] ] Laskee siniregression listoista X ja Y. Tulosten yhteenveto tallentuu stat.results-muuttujaan. (Katso täältä.) Kaikkien listojen on oltava samankokoisia Sisällytä-listaa lukuunottamatta. X ja Y ovat riippumattomien ja riippuvien muuttujien listoja. Iteraatiot on arvo, joka määrittää ratkaisun yrityskertojen (1-16) enimmäismäärän. Mikäli sitä ei määritetä, oletuksena käytetään arvoa 8. Suuremmilla arvoilla saadaan tyypillisesti parempi tarkkuus, mutta suoritusaika on pitempi ja päin vastoin. Jakso määrittää arvioidun jakson. Mikäli sitä ei käytetä, X:n arvojen välisen eron tulisi olla sama ja arvojen tulisi olla peräkkäisessä järjestyksessä. Jos määrität Jakson, x:n arvojen väliset erot voivat olla erisuuria. Luokka on Sisällytä on yhden tai usemman luokkakoodin lista. Vain ne datayksiköt, joiden luokkakoodi sisältyy tähän listaan, ovat mukana laskutoimituksessa. SinReg:n tulos esitetään aina radiaaneina riippumatta kulmatilan asetuksesta. Lisätietoja listassa olevien tyhjien elementtien vaikutuksesta, katso Tyhjät elementitsivulla täältä. |
|
|
Tulosmuuttuja |
Kuvaus |
|
stat.RegEqn |
Regressioyhtälö: a·sin(bx+c)+d |
|
stat.a, stat.b, stat.c, stat.d |
Regressiokertoimet |
|
stat.Resid |
Regressioyhtälön jäännökset |
|
stat.XReg |
Muokatun Y Lista:n sisältämä datapisteiden lista, jota käytetään regressiossa komentojen Frekv, Luokkalista ja Sisällytä luokat rajoitusten mukaisesti |
|
stat.YReg |
Muokatun Y Lista:n sisältämä datapisteiden lista, jota käytetään regressiossa komentojen Frekv, Luokkalista ja Sisällytä luokat rajoitusten mukaisesti |
|
stat.FreqReg |
Komentoja stat.XReg ja stat.YReg vastaava frekvenssilista |
|
Katalogi > |
|
|
SortA Lista1[, Lista2] [, Lista3] ... Lajittelee ensimmäisen argumentin elementit nousevaan järjestykseen. Jos otat mukaan lisäargumentteja, lajittelee kunkin argumentin elementit siten, että niiden uudet paikat vastaavat ensimmäisen argumentin elementtien uusia paikkoja. Kaikkien argumenttien on oltava lista- tai vektorinimiä. Kaikkien argumenttien on oltava samankokoisia. Ensimmäisen argumentin sisältämät tyhjät elementit siirtyvät alas. Lisätietoja tyhjistä elementeistä, katso täältä. |
|
|
Katalogi > |
|
|
SortD Lista1[, Lista2] [, List3] ... Muuten samanlainen kuin SortA paitsi, että SortD lajittelee elementit laskevaan järjestykseen. Ensimmäisen argumentin sisältämät tyhjät elementit siirtyvät alas. Lisätietoja tyhjistä elementeistä, katso täältä. |
|
|
Katalogi > |
|
|
Vektori 4Sphere Huomaa: Voit syöttää tämän operaattorin tietokoneen näppäimistöltä kirjoittamalla @>Sphere. Näyttää rivi- tai sarakevektorin pallonmuotoisena [r ±q ±f]. Vektorin on oltava kooltaan 3, ja se voi olla rivi- tai sarakevektori. Huomaa: 4Sphere on näyttömuodon ohje, ei muunnosfunktio. Voit käyttää komentoa ainoastaan syöterivin lopussa. |
Huom: Vastauksen pakottaminen likimääräiseksi: Kämmenlaite: Paina / ·.
|
|
Katalogi > |
|
|
sqrt(Arvo1)Þarvo sqrt(Lista1)Þlista Laskee argumentin neliöjuuren. Kun kyseessä on lista, laskee kaikkien Lista1:n elementtien neliöjuuret. Huomaa: Katso myös Neliöjuurimalli, täältä. |
|
|
Katalogi > |
|
|
stat.results Näyttää tilastollisen laskutoimituksen tulokset. Vastaukset näytetään nimiarvoparien sarjana. Näytetyt nimenomaiset nimet riippuvat viimeksi sievennetystä tilastofunktiosta tai komennosta. Voit kopioida nimen tai arvon ja liittää sen muihin paikkoihin.
Huomaa: Älä määritä muuttujia, joilla on sama nimi kuin tilastoanalyyseissä käytettävillä muuttujilla. Joissakin tapauksissa tästä voi olla seurauksena virhetilanne. Tilastoanalyyseissä käytettävät muuttujanimet on esitetty alla olevassa taulukossa. |
|
|
stat.a stat.AdjR² stat.b stat.b0 stat.b1 stat.b2 stat.b3 stat.b4 stat.b5 stat.b6 stat.b7 stat.b8 stat.b9 stat.b10 stat.bList stat.χ² stat.c stat.CLower stat.CLowerList stat.CompList stat.CompMatrix stat.CookDist stat.CUpper stat.CUpperList stat.d |
stat.dfDenom stat.dfBlock stat.dfCol stat.dfError stat.dfInteract stat.dfReg stat.dfNumer stat.dfRow stat.DW stat.e stat.ExpMatrix stat.F stat.FBlock stat.Fcol stat.FInteract stat.FreqReg stat.Frow stat.Leverage stat.LowerPred stat.LowerVal stat.m stat.MaxX stat.MaxY stat.ME stat.MedianX |
stat.MedianY stat.MEPred stat.MinX stat.MinY stat.MS stat.MSBlock stat.MSCol stat.MSError stat.MSInteract stat.MSReg stat.MSRow stat.n Stat.Ç stat.Ç1 stat.Ç2 stat.ÇDiff stat.PList stat.PVal stat.PValBlock stat.PValCol stat.PValInteract stat.PValRow stat.Q1X stat.Q1Y |
stat.Q3X stat.Q3Y stat.r stat.r² stat.RegEqn stat.Resid stat.ResidTrans stat.σx stat.σy stat.σx1 stat.σx2 stat.Σx stat.Σx² stat.Σxy stat.Σy stat.Σy² stat.s stat.SE stat.SEList stat.SEPred stat.sResid stat.SEslope stat.sp stat.SS |
stat.SSBlock stat.SSCol stat.SSX stat.SSY stat.SSError stat.SSInteract stat.SSReg stat.SSRow stat.tList stat.UpperPred stat.UpperVal stat.v stat.v1 stat.v2 stat.vDiff stat.vList stat.XReg stat.XVal stat.XValList stat.w stat.y stat.yList stat.YReg |
|
Huomaa: Aina kun Listat & Taulukot -sovellus laskee tilastolaskujen vastauksia, se kopioi “stat.” -ryhmän muuttujat “stat#.” ‑ryhmään, jossa # on luku, jota lisätään automaattisesti. Tällä tavoin voit säilyttää aikaisemmat tulokset suorittaessasi useita laskutoimituksia. |
|
Katalogi > |
|
|
stat.values Näyttää matriisin viimeksi sievennetylle tilastofunktiolle tai -komennolle lasketuista arvoista. Toisin kuin stat.results, stat.values jättää pois arvoihin liittyvät nimet. Voit kopioida arvon ja liittää sen muihin paikkoihin. |
Katso esimerkki kohdassa stat.results. |
|
Katalogi > |
|
|
stDevPop(Lista[, frekvLista])Þlauseke Laskee Lista:n sisältämien elementtien perusjoukon keskihajonnan. Jokainen frekvListan elementti näyttää Listan vastaavien elementtien peräkkäisten esiintymien lukumäärän. Huomaa: Listassa tulee olla vähintään kaksi elementtiä. Tyhjiä elementtejä ei huomioida. Lisätietoja tyhjistä elementeistä, katso täältä. |
Radiaanikulma- ja automaattisissa tiloissa:
|
|
stDevPop(Matriisi1[, frekvMatriisi])Þmatriisi Laskee rivivektorin Matriisi1:n sarakkeiden perusjoukon keskihajonnoista. Jokainen frekvMatriisin elementti näyttää Matriisi1:n vastaavien elementtien peräkkäisten esiintymien lukumäärän. Huomaa: Matriisi1 :ssä on oltava vähintään kaksi riviä. Tyhjiä elementtejä ei huomioida. Lisätietoja tyhjistä elementeistä, katso täältä. |
|
|
Katalogi > |
|
|
stDevSamp(Lista[, frekvLista])Þlauseke Laskee Listan sisältämien elementtien otoksen keskihajonnan. Jokainen frekvListan elementti näyttää Listan vastaavien elementtien peräkkäisten esiintymien lukumäärän. Huomaa: Listassa tulee olla vähintään kaksi elementtiä. Tyhjiä elementtejä ei huomioida. Lisätietoja tyhjistä elementeistä, katso täältä. |
|
|
stDevSamp(Matriisi1[, frekvMatriisi])Þmatriisi Laskee rivivektorin Matriisi1:n sarakkeiden otosten keskihajonnoista. Jokainen frekvMatriisin elementti näyttää Matriisi1:n vastaavien elementtien peräkkäisten esiintymien lukumäärän. Huomaa: Matriisi1 :ssä on oltava vähintään kaksi riviä. Tyhjiä elementtejä ei huomioida. Lisätietoja tyhjistä elementeistä, katso täältä. |
|
|
Katalogi > |
|
|
Stop Ohjelmointikomento: Pysäyttää ohjelman. Stop ei ole sallittu funktioissa. Huomaa esimerkkiä syöttäessäsi: Ohjeet monirivisten ohjelmien ja funktion määritysten syöttämisestä löytyvät tuotteen ohjekirjan Laskin-osiosta. |
|
|
Katso & (tallenna), täältä. |
|
|
|
|
|
Katalogi > |
|
|
string(Laus)Þmerkkijono Sieventää lausekkeen Laus ja antaa vastauksen merkkijonona. |
|
|
Katalogi > |
|
|
subMat(Matriisi1[, alkurivi] [, alkusarake] [, loppurivi] [, loppusarake]) Laskee Matriisi1:n määritetyn alimatriisin. Oletusarvot: alkurivi=1, alkusarake=1, loppurivi=viimeinen rivi, endCol=viimeinen sarake. |
|
|
Sum (Sigma) |
Katso G(), täältä. |
|
|
|
|
Katalogi > |
|
|
sum(Lista[, Alku[, Loppu]])Þlauseke Laskee Listan elementtien summan. Alku ja Loppu ovat valinnaisia. Ne määrittävät elementtien alueen. Mikä tahansa tyhjä argumentti tuottaa tyhjän vastauksen. Listassa olevia tyhjiä elementtejä ei huomioida. Lisätietoja tyhjistä elementeistä, katso täältä. |
|
|
sum(Matriisi1[, Alku[, Loppu]])Þmatriisi Laskee rivivektorin, joka sisältää Matriisi1:n sarakkeiden elementtien summat. Alku ja Loppu ovat valinnaisia. Ne määrittävät rivialueen. Mikä tahansa tyhjä argumentti tuottaa tyhjän vastauksen. Matriisi1:ssä olevia tyhjiä elementtejä ei huomioida. Lisätietoja tyhjistä elementeistä, katso täältä. |
|
|
Katalogi > |
|||||||
|
sumIf(Lista,Kriteerit[, SummaLista])Þarvo Laskee kaikkien niiden Listan sisältämien elementtien kumuloituneen summan, jotka vastaavat määritettyjä kriteereitä Kriteerit. Voit halutessasi antaa kumuloivat elementit määrittämällä vaihtoehtoisen listan, summaLista. Lista voi olla lauseke, lista tai matriisi. SummaListalla, mikäli se määritetään, on oltava samat mitat kuin Listalla. Kriteeri voi olla:
Kun jokin Listan elementti vastaa kriteereitä Kriteerit, elementti lisätään kumuloituvaan summaan. Jos sisällytät funktioon summaListan, summaan lisätäänkin sen sijaan vastaava summaListan elementti. Listat & Taulukot -sovelluksessa voit käyttää solualueita Listan ja summaListan tilalla. Tyhjiä elementtejä ei huomioida. Lisätietoja tyhjistä elementeistä, katso täältä. Huomaa: Katso myös countIf(), täältä. |
|
|
Katso G(), täältä. |
|
|
|
|
|
Katalogi > |
|
|
system(Arvo1 [, Arvo2 [, Arvo3 [, ...]]]) Laskee yhtälöryhmän listaksi muotoiltuna. Voit luoda yhtälöryhmän myös mallin avulla. |

.
