Encontram-se aqui: TI‑Nspire™ CX Reference Guide > Lista alfabética > S

S

sec()

sec(Valor1) Þ valor

sec(Lista1) Þ lista

Devolve a secante de Valor1 ou devolve uma lista com as secantes de todos os elementos em Lista1.

Nota: O argumento é interpretado como um ângulo expresso em graus, gradianos ou radianos, de acordo com a definição do modo de ângulo actual. Pode utilizar ¡G ou R para substituir o modo de ângulo temporariamente.

No modo de ângulo Graus:

sec/()

sec/(Valor1) Þ valor

sec/(Lista1) Þ lista

Devolve o ângulo cuja secante é Valor1 ou devolve uma lista com as secantes inversas de cada elemento de Lista1.

Nota: O resultado é devolvido como um ângulo expresso em graus, gradianos ou radianos, de acordo com a definição do modo de ângulo actual.

Nota: Pode introduzir esta função através da escrita de arcsec(...) no teclado do computador.

No modo de ângulo Graus:

 

No modo de ângulo Gradianos:

 

No modo de ângulo Radianos:

sech()

sech(Valor1) Þ valor

sech(Lista1) Þ lista

Devolve a secante hiperbólica de Valor1 ou devolve uma lista com as secantes hiperbólicas dos elementos Lista1.

sech/()

sech/(Valor1) Þ valor

sech/(Lista1) Þ lista

Devolve a secante hiperbólica inversa de Valor1 ou devolve uma lista com as secantes hiperbólicas inversas de cada elemento de Lista1.

Nota: Pode introduzir esta função através da escrita de arcsech(...) no teclado do computador.

No modo de ângulo Radianos e Formato complexo rectangular:

Send 

Send exprOrString1[, exprOrString2] ...

Programar comando: envia um ou mais TI‑Innovator™ Hub comandos para um hub conectado.

exprOrString tem de ser um TI‑Innovator™ Hub comando válido. Tipicamente, exprOrString contém um comando "SET ..." para controlar um dispositivo ou um comando "READ ..." para pedir dados.

Os argumentos são enviados sequencialmente para o hub.

Nota: pode usar o comando Send dentro de um programa definido pelo utilizador, mas não dentro de uma função.

Nota: ver também Get (aqui), GetStr (aqui) e eval() (aqui).

Exemplo: ligar o elemento azul do LED RGB incorporado durante 0,5 segundos.

Exemplo: pedir o valor atual do sensor de nível de luz incorporado no hub. Um comando Get recupera o valor e atribui-o à variável lightval.

Exemplo: enviar uma frequência calculada para o altifalante incorporado no hub. Usar a variável especial iostr.SendAns para mostrar o comando do hub com a expressão avaliada.

seq()

seq(Expr, Var, Baixo, Alto [, Passo ]) Þlista

Incrementa Var de Baixo até Alto por um incremento de Passo, avalia Expr e apresenta os resultados como uma lista. O conteúdo original de Var ainda está aqui após a conclusão de seq().

O valor predefinido para Passo = 1.

Obs: Para forçar um resultado aproximado,

Unidade portátil: Premir / ·.
Windows®: Premir Ctrl+Enter.
Macintosh®: Premir +Enter.
iPad®: Manter pressionada a tecla Enter e selecionar .

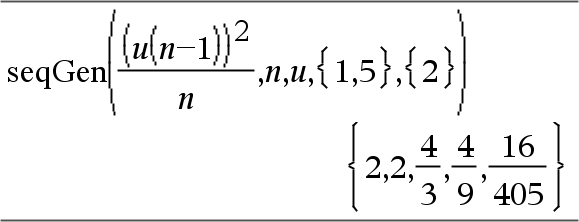
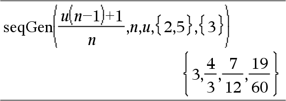
seqGen()

seqGen(Expr, Var, depVar, {Var0, VarMax}[, ListOfInitTerms [, VarStep [, CeilingValue]]]) Þlista

Gera uma lista de termos para sequência depVar(Var)=Expr da seguinte forma: Incrementa a variável independente Var de Var0 até VarMax por VarStep, avalia depVar(Var) para os valores correspondentes de Var utilizando a fórmula Expr e ListOfInitTerms e apresenta os resultados como uma lista.

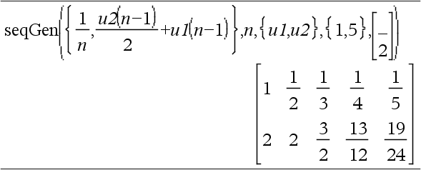
seqGen(ListOrSystemOfExpr, Var, ListOfDepVars, {Var0, VarMax} [, MatrixOfInitTerms [, VarStep [, CeilingValue]]]) Þmatriz

Gera uma matriz de termos de um sistema (ou lista) de sequências ListOfDepVars(Var)=ListOrSystemOfExpr da seguinte forma: Incrementa a variável independente Var de Var0 até VarMax por VarStep, avalia ListOfDepVars(Var) para os valores correspondentes de Var utilizando a fórmula ListOrSystemOfExpr e MatrixOfInitTerms e apresenta os resultados como uma matriz.

O conteúdo original de Var está inalterado após a conclusão de seqGen().

O valor predefinido para VarStep = 1.

Gere o primeiros 5 termos da sequência u(n) = u(n-1)2/2, com u(1)=2 e VarStep=1.

 

Exemplo no qual Var0=2:

 

Sistema de duas sequências:

Nota: O Vazio (_) na matriz do termo inicial acima, é utilizado para indicar que o 1º termo para u1(n) é calculado utilizando a fórmula de sucessão u1(n)=1/n.

seqn()

seqn(Expr(u, n [, ListOfInitTerms[, nMax [, CeilingValue]]])Þlista

Gera uma lista de termos para uma sucessão u(n)=Expr(u, n), da seguinte forma: Incrementa n a partir de 1 até nMax por 1, avalia u(n) para os valores correspondentes de n utilizando a fórmula Expr(u, n) e ListOfInitTerms e apresenta os resultados como uma lista.

seqn(Expr(n [, nMax [, CeilingValue]])Þlista

Gera uma lista de termos para uma sucessão não recorrente u(n)=Expr(n), da seguinte forma: Incrementa n a partir de 1 até nMax por 1, avalia u(n) para os valores correspondentes de n utilizando a fórmula Expr(n) e apresenta os resultados como uma lista.

Se nMax estiver em falta, nMax é definido para 2500

Se nMax=0, nMax é definido para 2500

Nota: seqn() chamadas seqGen( ) com n0=1 e nstep =1

Gere o primeiros 6 termos da sequência u(n) = u(n-1)/2, com u(1)=2.

setMode()

setMode(NúmeroInteiroNomeModo, NúmeroInteiroDefinição) Þnúmero inteiro

setMode(lista) Þlista de números inteiros

Válido apenas numa função ou num programa.

setMode(NúmeroInteiroNomeModo, NúmeroInteiroDefinição) define temporariamente o modo NúmeroInteiroNomeModo para a nova definição NúmeroInteiroDefinição e devolve um número inteiro correspondente à definição original desse modo. A alteração é limitada à duração da execução do programa/função.

NúmeroInteiroNomeModo especifica que modo quer definir. Tem de ser um dos números inteiros do modo da tabela abaixo.

NúmeroInteiroDefinição especifica a nova definição do modo. Tem de ser um dos números inteiros da definição listados abaixo para o modo específico que está a definir.

setMode(lista) permite alterar várias definições. lista contém os pares de números inteiros do modo e da lista. setMode(lista) devolve uma lista similar cujos pares de números inteiros representam as definições e os modos originais.

Se guardou todas as definições do modo com getMode(0) & var, pode utilizar setMode(var) para restaurar essas definições até sair da função ou do programa. Consulte getMode(), aqui.

Nota: As definições do modo actual são passadas para subrotinas. Se uma subrotina alterar uma definição do modo, a alteração do modo perder-se--á quando o controlo voltar à rotina.

Obs para introdução do exemplo: Para obter instruções sobre como introduzir programas com várias linhas e definições de funções, consulte a secção Calculadora do manual do utilizador do produto.

Apresente o valor aproximado de p com a predefinição para Ver dígitos e apresente p com uma definição de Fix2. Certifique-se de que a predefinição é restaurada após a execução do programa.

Nome do modo

Número inteiro do modo

Números inteiros da definição

Ver dígitos

1

1 =Flutuante, 2 =Flutuante1, 3 =Flutuante2, 4 =Flutuante3, 5 =Flutuante4, =Flutuante5, 7 =Flutuante6, 8 =Flutuante7, 9 =Flutuante8, 10 =Flutuante9, 11 =Flutuante10, 12 =Flutuante11, 13 =Flutuante12, 14 =Fixo0, 15 =Fixo1, 16 =Fixo2, 17 =Fixo3, 18 =Fixo4, 19 =Fixo5, 20 =Fixo6, 21 =Fixo7, 22 =Fixo8, 23 =Fixo9, 24 =Fixo10, 25 =Fixo11, 26 =Fixo12

Ângulo

2

1 =Radianos, 2 =Graus, 3 =Gradianos

Formato exponencial

3

1 =Normal, 2 =Científica, 3 =Engenharia

Real ou Complexo

4

1 =Real, 2 =Rectangular, 3 =Polar

Auto or Aprox.

5

1 =Auto, 2 =Aproximado

Formato vectorial

6

1 =Rectangular, 2 =Cilíndrico, 3 =Esférico

Base

7

1 =Decimal, 2 =Hex, 3 =Binário

shift()

shift(NúmeroInteiro1 [, #deDeslocações ]) Þnúmero inteiro

Desloca os bits num número inteiro binário. Pode introduzir NúmeroInteiro1 em qualquer base numérica; é convertido automaticamente para uma forma binária de 64 bits assinada. Se a magnitude de NúmeroInteiro1 for muito grande para esta forma, uma operação do módulo simétrico coloca-o no intervalo. Para mais informações, consulte 4Base2,  aqui.

Se #deDeslocações for positivo, a deslocação é para a esquerda. Se #deDeslocações for negativo, a deslocação é para a direita. A predefinição é L1 (deslocar um bit para a direita).

Numa deslocação para a direita, o bit mais à direita cai e 0 ou 1 é inserido para corresponder ao bit mais à esquerda. Numa deslocação para a esquerda, o bit mais à esquerda cai e 0 é inserido como o bit mais à direita.

Por exemplo, numa deslocação para a direita:

Cada bit desloca-se para a direita.

0b0000000000000111101011000011010

Insere 0 se o bit mais à esquerda for 0

ou 1 se o bit mais à esquerda for 1.

produz:

0b00000000000000111101011000011010

O resultado aparece de acordo com o modo base. Os zeros à esquerda não aparecem.

No modo base Bin:

 

No modo base Hex:

Importante: Para introduzir um número binário ou hexadecimal, utilize sempre o prefixo 0b ou 0h (zero, não a letra O).

shift(Lista1 [, #deDeslocações ]) Þlista

Devolve uma cópia de Lista1 deslocada para a direita ou para a esquerda pelos elementos #deDeslocações. Não altere Lista1.

Se #deDeslocações for positivo, a deslocação é para a esquerda. Se #deDeslocações for negativo, a deslocação é para a direita. A predefinição é L1 (deslocar um elemento para a direita).

Os elementos introduzidos no início ou no fim de lista pela deslocação são definidos para o símbolo “undef”.

No modo base Dec:

shift(Cadeia1 [, #deDeslocações ]) Þcadeia

Devolve uma cópia de Cadeia1 rodada para a direita ou para a esquerda pelos caracteres #deDeslocações. Não altere Cadeia1.

Se #deDeslocações for positivo, a deslocação é para a esquerda. Se #deDeslocações for negativo, a deslocação é para a direita. A predefinição é L1 (deslocar um carácter para a direita).

Os caracteres introduzidos no início ou no fim de lista pela deslocação são definidos para um espaço.

sign()

sign(Valor1) Þvalor

sign(Lista1) Þlista

sign(Matriz1) Þmatriz

Para Valor1 real ou complexo, devolve Valor1 abs(Valor1) quando Valor1 ƒ 0.

Devolve 1 se Valor1 for positivo.

Devolve L1 se Valor1 for negativo.

sign(0) devolve 1 se o modo do formato complexo for Real; caso contrário, devolve-se a si próprio.

sign(0) representa o círculo no domínio complexo.

Para uma lista ou matriz, devolve os sinais de todos os elementos.

 

Se o modo do formato complexo for Real:

simult()

simult(MatrizCoef, VectorConst [, Tol ]) Þmatriz

Devolve um vector da coluna que contém as soluções para um sistema de equações lineares.

Nota: Consulte também linSolve(), aqui.

MatrizCoef tem de ser uma matriz quadrada que contenha os coeficientes das equações.

VectorConst tem de ter o mesmo número de linhas (a mesma dimensão) que MatrizCoef e conter as constantes.

Opcionalmente, qualquer elemento da matriz é tratado como zero se o valor absoluto for inferior a Tol. Esta tolerância só é utilizada se a matriz tiver entradas de ponto flutuante e não contiver variáveis simbólicas sem um valor atribuído. Caso contrário, Tol é ignorado.

Se definir o modo Auto ou Aproximado para Aproximado, os cálculos são efectuados com a aritmética de ponto flutuante.
Se Tol for omitido ou não utilizado, a tolerância predefinida for calculada como:
5EL14 · max(dim(MatrizCoef)) · rowNorm(MatrizCoef)

Resolver para x e y:

x + 2y = 1

3x + 4y = L1

A solução é x= L3 e y=2.

 

Resolver:

ax + by = 1

cx + dy = 2

simult(MatrizCoef, MatrizConst [, Tol ]) Þmatriz

Resolve vários sistema de equações lineares, em que cada sistema tem os mesmo coeficientes de equações, mas constantes diferentes.

Cada coluna em MatrizConst tem de conter as constantes para um sistema de equações. Cada coluna da matriz resultante contém a solução para o sistema correspondente.

Resolver:

 x + 2y = 1

3x + 4y = L1

 

 x + 2y = 2

3x + 4y = L3

Para o primeiro sistema, x= L3 e y=2. Para o segundo sistema, x= L7 e y=9/2.

sin()

sin(Valor1) Þvalor

sin(Lista1) Þlista

sin(Valor1) devolve o seno do argumento.

sin(Lista1) devolve uma lista de senos de todos os elementos em Lista1.

Nota: O argumento é interpretado como um ângulo expresso em graus, gradianos ou radianos, de acordo com o modo de ângulo actual. Pode utilizar ¡, G ou R para substituir a definição do modo de ângulo temporariamente.

No modo de ângulo Graus:

 

No modo de ângulo Gradianos:

 

No modo de ângulo Radianos:

sin(MatrizQuadrada1) ÞMatrizQuadrada

Devolve o seno da matriz de MatrizQuadrada1. Isto não é o mesmo que calcular o seno de cada elemento. Para mais informações sobre o método de cálculo, consulte cos().

MatrizQuadrada1 tem de ser diagnolizável. O resultado contém sempre os números de ponto flutuante.

No modo de ângulo Radianos:

sin/()

sin/(Valor1) Þvalor

sin/(Lista1) Þlista

sin/(Valor1) devolve o ângulo cujo seno é Valor1.

sin/(Lista1) devolve uma lista de senos inversos de cada elemento de Lista1.

Nota: O resultado é devolvido como um ângulo expresso em graus, gradianos ou radianos, de acordo com a definição do modo de ângulo actual.

Nota: Pode introduzir esta função através da escrita de arcsin(...) no teclado do computador.

No modo de ângulo Graus:

 

No modo de ângulo Gradianos:

 

No modo de ângulo Radianos:

sin/(MatrizQuadrada1) ÞMatrizQuadrada

Devolve o seno inverso da matriz de MatrizQuadrada1. Isto não é o mesmo que calcular o seno inverso de cada elemento. Para mais informações sobre o método de cálculo, consulte cos().

MatrizQuadrada1 tem de ser diagnolizável. O resultado contém sempre os números de ponto flutuante.

Nos modos de ângulo Radianos e Formato complexo rectangular:

sinh()

sinh(Numver1) Þvalor

sinh(Lista1) Þlista

sinh(Valor1) devolve o seno hiperbólico do argumento.

sinh(Lista1) devolve uma lista dos senos hiperbólicos de cada elemento de Lista1.

sinh(MatrizQuadrada1) ÞMatrizQuadrada

Devolve o seno hiperbólico da matriz de MatrizQuadrada1. Isto não é o mesmo que calcular o seno hiperbólico de cada elemento. Para mais informações sobre o método de cálculo, consulte cos().

MatrizQuadrada1 tem de ser diagnolizável. O resultado contém sempre os números de ponto flutuante.

No modo de ângulo Radianos:

sinh/()

sinh/(Valor1) Þvalor

sinh/(Lista1) Þlista

sinh/(Valor1) devolve o seno hiperbólico inverso do argumento.

sinh/(Lista1) devolve uma lista de senos hiperbólicos inversos de cada elemento de Lista1.

Nota: Pode introduzir esta função através da escrita de arcsinh(...) no teclado.

sinh/(MatrizQuadrada1) ÞMatrizQuadrada

Devolve o seno hiperbólico inverso da matriz de MatrizQuadrada1. Isto não é o mesmo que calcular o seno hiperbólico inverso de cada elemento. Para mais informações sobre o método de cálculo, consulte cos().

MatrizQuadrada1 tem de ser diagnolizável. O resultado contém sempre os números de ponto flutuante.

No modo de ângulo Radianos:

SinReg

SinReg X, Y [, [Repetições],[ Ponto] [, Categoria, Incluir] ]

Calcula a regressão sinusoidal nas listas X e Y. Um resumo dos resultados é guardado na variável stat.results (aqui).

Todas as listas têm de ter a mesma dimensão, excepto para Incluir.

X e Y são listas de variáveis independentes e dependentes.

Iterações é um valor opcional que especifica o número máximo de vezes (de 1 a 16) que uma solução será tentada. Se for omitido, 8 é utilizado. Em geral, valores maiores resultam numa melhor precisão, mas maiores tempos de execução, e vice-versa.

Período especifica um período previsto. Se for omitido, a diferença entre os valores em X deve ser igual e por ordem sequencial. Se especificar Período, as diferenças entre os valores x podem ser desiguais.

Categoria é uma lista de códigos de categorias numéricos ou de cadeias para os dados X e Y correspondentes.

Incluir é uma lista de um ou mais códigos de categorias. Apenas os itens de dados cujo código de categoria está incluído nesta lista são considerados no cálculo.

A saída de SinReg é sempre em radianos, independentemente da definição do modo de ângulo.

Para mais informações sobre o efeito dos elementos vazios numa lista, consulte “Elementos (nulos) vazios” (aqui).

 

Variável de saída

Descrição

stat.RegEqn

Equação de regressão: a·sin(bx+c)+d

stat.a, stat.b, stat.c, stat.d

Parâmetros de regressão

stat.Resid

Resíduos da regressão

stat.XReg

Lista de dados na Lista X modificada utilizada na regressão com base nas restrições de Freq, Lista de categorias e Incluir categorias

stat.YReg

Lista de dados na Lista Y modificada utilizada na regressão com base nas restrições de Freq, Lista de categorias e Incluir categorias

stat.FreqReg

Lista de frequências correspondentes a stat.XReg e stat.YReg

SortA

SortA Lista1 [, Lista2 ] [, Lista3 ] ...

SortA Vector1 [, Vector2 ] [, Vector3 ] ...

Ordena os elementos do primeiro argumento por ordem crescente.

Se incluir argumentos adicionais, ordena os elementos para que as novas posições correspondam às novas posições dos elementos no primeiro argumento.

Todos os argumentos têm de ter nomes de listas ou vectores. Todos os argumentos têm de ter dimensões iguais.

Os elementos (nulos) vazios do primeiro argumento movem-se para a parte inferior. Para mais informações sobre os elementos vazios, consulte aqui.

SortD

SortD Lista1 [, Lista2 ] [, Lista3 ] ...

SortD Vector1 [, Vector ] [, Vector3 ] ...

Idêntico a SortA, excepto que SortD ordena os elementos por ordem decrescente.

Os elementos (nulos) vazios do primeiro argumento movem-se para a parte inferior. Para mais informações sobre os elementos vazios, consulte aqui.

4Sphere

Vector 4Sphere

Nota: Pode introduzir esta função através da escrita de @>Sphere no teclado.

Apresenta o vector da linha ou coluna em forma esférica [r ±q ±f].

O vector tem de ser de dimensão 3 e pode ser um vector da linha ou coluna.

Nota: 4Sphere é uma instrução de formato de visualização, não uma função de conversão. Só pode utilizá-la no fim da linha de entrada.

 

sqrt ()

sqrt(Valor1) Þvalor

sqrt(Lista1) Þlista

Devolve a raiz quadrada do argumento.

Para uma lista, devolve as raízes quadradas de todos os elementos em Lista1.

Nota: Consulte também Modelo de raiz quadrada, aqui.

stat.results

stat.results

Apresenta os resultados de um cálculo estatístico.

Os resultados aparecem como um conjunto de pares de valores de nomes. Os nomes específicos apresentados estão dependentes do comando ou da função estatística avaliada mais recentemente.

Pode copiar um nome ou um valor e colá-lo noutra localização.

Nota: Evite definir variáveis que utilizem os mesmos nomes das variáveis utilizadas para análise estatística. Em alguns casos, pode ocorrer uma condição de erro. Os nomes das variáveis utilizados para análise estatística são listados na tabela abaixo.

stat.a

stat.AdjR²

stat.b

stat.b0

stat.b1

stat.b2

stat.b3

stat.b4

stat.b5

stat.b6

stat.b7

stat.b8

stat.b9

stat.b10

stat.bList

stat.c²

stat.c

stat.CLower

stat.CLowerList

stat.CompList

stat.CompMatrix

stat.CookDist

stat.CUpper

stat.CUpperList

stat.d

stat.dfDenom

stat.dfBlock

stat.dfCol

stat.dfError

stat.dfInteract

stat.dfReg

stat.dfNumer

stat.dfRow

stat.DW

stat.e

stat.ExpMatrix

stat.F

stat.FBlock

stat.Fcol

stat.FInteract

stat.FreqReg

stat.Frow

stat.Leverage

stat.LowerPred

stat.LowerVal

stat.m

stat.MaxX

stat.MaxY

stat.ME

stat.MedianX

stat.MedianY

stat.MEPred

stat.MinX

stat.MinY

stat.MS

stat.MSBlock

stat.MSCol

stat.MSError

stat.MSInteract

stat.MSReg

stat.MSRow

stat.n

stat.Ç

stat.Ç1

stat.Ç2

stat.ÇDiff

stat.PList

stat.PVal

stat.PValBlock

stat.PValCol

stat.PValInteract

stat.PValRow

stat.Q1X

stat.Q1Y

stat.Q3X

stat.Q3Y

stat.r

stat.r²

stat.RegEqn

stat.Resid

stat.ResidTrans

stat.sx

stat.sy

stat.sx1

stat.sx2

stat.Gx

stat.G

stat.Gxy

stat.Gy

stat.G

stat.s

stat.SE

stat.SEList

stat.SEPred

stat.sResid

stat.SEslope

stat.sp

stat.SS

stat.SSBlock

stat.SSCol

stat.SSX

stat.SSY

stat.SSError

stat.SSInteract

stat.SSReg

stat.SSRow

stat.tList

stat.UpperPred

stat.UpperVal

stat.v

stat.v1

stat.v2

stat.vDiff

stat.vList

stat.XReg

stat.XVal

stat.XValList

stat.w

stat.y

stat.yList

stat.YReg

Nota: Sempre que a aplicação Listas e Folha de Cálculo calcula parâmetros estatísticos, copia as variáveis do grupo “stat.” para um grupo “stat#.”, em que # é um número que é incrementado automaticamente. Isto permite manter os resultados anteriores durante a execução de vários cálculos.

stat.values

stat.values

Apresenta uma matriz dos valores calculados para o comando ou a função estatística avaliada mais recentemente.

Ao contrário de stat.results, stat.valu omite os nomes associados aos valores.

Pode copiar um valor e colá-lo noutras localizações.

Consulte o exemplo de stat.results.

stDevPop()

stDevPop(Lista [, ListFreq ])Þ

Devolve o desvio padrão da população dos elementos em Lista.

Cada elemento de ListFreq conta o número de ocorrências consecutivas do elemento correspondente em Lista.

Nota: Lista tem de ter pelo menos dois elementos. Os elementos (nulos) vazios são ignorados. Para mais informações sobre os elementos vazios, consulte aqui.

Nos modos auto e de ângulo Radianos:

stDevPop(Matriz1 [, MatrizFreq ]) Þmatriz

Devolve um vector da linha dos desvios padrão da população das colunas em Matriz1.

Cada elemento de ListaFreq conta o número de ocorrências consecutivas do elemento correspondente em Matriz1.

Nota: Matriz1 tem de ter pelo menos duas linhas. Os elementos (nulos) vazios são ignorados. Para mais informações sobre os elementos vazios, consulte aqui.

stDevSamp()

stDevSamp(Lista [, ListaFreq ]) Þexpressão

Devolve o desvio padrão da amostra dos elementos em Lista.

Cada elemento de ListFreq conta o número de ocorrências consecutivas do elemento correspondente em Lista.

Nota: Lista tem de ter pelo menos dois elementos. Os elementos (nulos) vazios são ignorados. Para mais informações sobre os elementos vazios, consulte aqui.

stDevSamp(Matriz1 [, MatrizFreq ]) Þmatriz

Devolve um vector da coluna dos desvios padrão da amostra das colunas em Matriz1.

Cada elemento de ListaFreq conta o número de ocorrências consecutivas do elemento correspondente em Matriz1.

Nota: Matriz1 tem de ter pelo menos duas linhas. Os elementos (nulos) vazios são ignorados. Para mais informações sobre os elementos vazios, consulte aqui.

Stop (Parar)

Stop

Programar comando: Termina o programa.

Stop não é permitido em funções.

Obs para introdução do exemplo: Para obter instruções sobre como introduzir programas com várias linhas e definições de funções, consulte a secção Calculadora do manual do utilizador do produto.

Store (Guardar)

 

 

string()

strin g(Expr) Þcadeia

Simplifica Expr e devolve o resultado como uma cadeia de caracteres.

subMat()

subMa t(Matriz1 [, LinhaInicial ] [, ColInicial ] [, LinhaFinal ] [, ColFinal ]) Þmatrix

Devolve a submatriz especificada de Matriz1.

Predefinições: LinhaInicial =1, ColInicial =1, LinhaFinal =última linha, ColFinal =última coluna.

Sigma (Soma)

 

 

sum()

sum(Lista [, Início [, Fim ]]) Þexpressão

Devolve a soma dos elementos em Lista.

Início e Fim são opcionais. Especificam um intervalo de elementos.

Qualquer argumento vazio produz um resultado vazio. Os elementos (nulos) vazios da Lista são ignorados. Para mais informações sobre os elementos vazios, consulte aqui.

sum(Matrix1 [, Início [, Fim ]]) Þmatriz

Devolve um vector da linha com as somas dos elementos nas colunas em Matriz1.

Início e Fim são opcionais. Especificam um intervalo de linhas.

Qualquer argumento vazio produz um resultado vazio. Os elementos (nulos) vazios da Matriz1 são ignorados. Para mais informações sobre os elementos vazios, consulte aqui.

sumIf()

sumIf(Lista, Critérios [, ListaDeSomas ]) Þvalor

Devolve a soma acumulada de todos os elementos em Lista que satisfazem os Critérios especificados. Opcionalmente, pode especificar uma lista alternativa, ListaDeSomas, para fornecer os elementos a acumular.

Lista pode ser uma expressão, lista ou matriz. ListaDeSomas, se especificada, tem de ter as mesmas dimensões que Lista.

Critérios podem ser:

Um valor, uma expressão ou uma cadeia. Por exemplo, 34 acumula apenas os elementos em Lista que são simplificados para o valor 34.
Uma expressão booleana com o símbolo ? como um identificador para cada elemento. Por exemplo, ?<10 acumula apenas os elementos em Lista que são inferiores a 10.

Quando um elementos da Lista cumprir os Critérios, o elemento é adicionado à soma acumulada. Se incluir ListaDeSomas, o elemento correspondente de ListaDeSomas é adicionado à soma.

Na aplicação Listas e Folha de cálculo, pode utilizar um intervalo de células no lugar de Lista e de ListaDeSomas.

Os elementos (nulos) vazios são ignorados. Para mais informações sobre os elementos vazios, consulte aqui.

Nota: Consulte também countIf(), aqui.

 

sumSeq()

 

 

system()

system(Valor1 [, Valor2 [, Valor3 [, ...]]])

Devolve um sistema de equações formatado como uma lista. Pode também criar um sistema com um modelo.