Encontram-se aqui: TI‑Nspire™ CX Reference Guide > Símbolos

Símbolos

+ (adicionar)

Valor1 + Valor2 Þvalor

Devolve a soma dos dois argumentos.

Lista1 + Lista2 Þlista

Matriz1 + Matriz2 Þmatriz

Devolve uma lista (ou matriz) com as somas dos elementos correspondentes em Lista1 e Lista2 (ou Matriz1 e Matriz2).

As dimensões dos argumentos têm de ser iguais.

Valor + Lista1 Þlista

Lista1 + Valor Þlista

Devolve uma lista com as somas de Valor e de cada elemento em Lista1.

Valor + Matriz1 Þmatriz

Matriz1 + Valor Þmatriz

Devolve uma matriz com Valor adicionado a cada elemento na diagonal de Matriz1. Matriz1 tem de ser quadrada.

Nota: Utilize .+ (ponto mais) para adicionar uma expressão a cada elemento.

N (subtrair)

Valor1 N Valor2 Þvalor

Devolve Valor1 menos Valor2.

Lista1 N Lista2 Þlista

Matriz1 N Matriz2 Þmatriz

Subtrai cada elmento em Lista2 (ou Matriz2) do elemento correspondente em Lista1 (ou Matriz1) e devolve os resultados.

As dimensões dos argumentos têm de ser iguais.

Valor N Lista1 Þlista

Lista1 N Valor Þlista

Subtrai cada elemento de Lista1 de Valor ou subtrai Valor de cada elemento de Lista1 e devolve uma lista dos resultados.

Valor N Matriz1 Þmatriz

Matriz1 N Valor Þmatriz

Valor N Matriz1 devolve uma matriz de Valor vezes a matriz de identidade menos Matriz1.  Matriz1 tem de ser quadrada.

Matriz1 N Valor devolve uma matriz de Valor vezes a matriz de identidade subtraída de Matriz1.  Matriz1 tem de ser quadrada.

Nota: Utilize .N (ponto menos) para subtrair uma expressão de cada elemento.

· (multiplicar)

Valor1 · Valor2 Þvalor

Devolve o produto dos dois argumentos.

Lista1 · Lista2 Þlista

Devolve uma lista com os produtos dos elementos correspondentes em Lista1 e Lista2.

As dimensões das listas têm de ser iguais.

Matriz1 · Matriz2 Þmatriz

Devolve o produto da matriz de Matriz1 e Matriz2.

O número de colunas em Matriz1 tem de ser igual ao número de linhas em Matriz2.

Valor · Lista1 Þlista

Lista1 · Valor Þlista

Devolve uma lista com os produtos de Valor e de cada elemento em Lista1.

Valor · Matriz1 Þmatriz

Matriz1 · Valor Þmatriz

Devolve uma matriz com os produtos de Valor e de cada elemento em Matriz1.

Nota: Utilize .· (ponto multiplicar) para multiplicar uma expressão por cada elemento.

à (dividir)

Valor1 à Valor2 Þvalor

Devolve o quociente de Valor1 dividido pelo Valor2.

Nota: Consulte também Modelo da fracção, aqui.

Lista1 à Lista2 Þlista

Devolve uma lista com os quocientes de Lista1 divididos pela Lista2.

As dimensões das listas têm de ser iguais.

Valor à Lista1 Þ lista

Lista1 à Valor Þ lista

Devolve uma lista com os quocientes de Valor divididos pela Lista1 ou de Lista1 divididos pelo Valor.

Valor à Matriz1 Þ matriz

Matriz1 à Valor Þ matriz

Devolve uma matriz com os quocientes de Matriz1 àValor.

Nota: Utilize . / (ponto dividir) para dividir uma expressão por cada elemento.

^ (potência)

Valor1 ^ Valor2 Þ valor

Lista1 ^ Lista2 Þ lista

Devolve o primeiro argumento elevado à potência do segundo argumento.

Nota: Consulte também Modelo do expoente, aqui.

Para uma lista, devolve os elementos em Lista1 elevados à potência dos elementos correspondentes em Lista2.

No domínio real, as potências fraccionárias que tenham expoentes simplificados com denominadores ímpares utilizam a derivação real versus a derivação principal para o modo complexo.

Valor ^ Lista1 Þ lista

Devolve Valor elevado à potência dos elementos em Lista1.

Lista1 ^ Valor Þ lista

Devolve os elementos em Lista1 elevados à potência de Valor.

MatrizQuadrada1 ^ número inteiro Þ matriz

Devolve MatrizQuadrada1 elevada à potência do número inteiro.

MatrizQuadrada1 tem de ser uma matriz quadrada.

Se número inteiro = L1, calcula a matriz inversa.

Se número inteiro < L1, calcula a matriz inversa para uma potência positiva adequada.

x 2 (quadrado)

Valor1 2 Þ valor

Devolve o quadrado do argumento.

Lista1 2 Þ lista

Devolve uma lista com os quadrados dos elementos em Lista1.

MatrizQuadrada1 2 Þ matriz

Devolve a matriz quadrada de MatrizQuadrada1. Isto não é o mesmo que calcular o quadrado de cada elemento. Utilize .^2 para calcular o quadrado de cada elemento.

.+ (ponto adicionar)

Matriz1 .+ Matriz2 Þ matriz

Valor .+Matriz1 Þ matriz

Matriz1 .+ Matriz2 devolve uma matriz que é a soma de cada par dos elementos correspondentes em Matriz1 e Matriz2.

Valor .+ Matriz1 devolve uma matriz que é a soma de Valor e de cada elemento em Matriz1.

.. (ponto subtracção)

Matriz1 .N Matriz2 Þ matriz

Valor .NMatriz1 Þ matriz

Matriz1 .NMatriz2 devolve uma matriz que é a diferença entre cada par de elementos correspondentes em Matriz1 e Matriz2.

Valor .NMatriz1 devolve uma matriz que é a diferença de Valor e de cada elemento em Matriz1.

.· (ponto mult.)

Matriz1Matriz2 Þ matriz

Valor .· Matriz1 Þ matriz

Matriz1 .· Matriz2 devolve uma matriz que é o produto de cada par dos elementos correspondentes em Matriz1 e Matriz2.

Valor .· Matriz1 devolve uma matriz com os produtos de Valor e de cada elemento em Matriz1.

. / (ponto dividir)

Matriz1 . / Matriz2 Þ matriz

Valor . / Matriz1 Þ matriz

Matriz1 ./ Matriz2 devolve uma matriz que é o quociente de cada par de elementos correspondente em Matriz1 e Matriz2.

Valor ./ Matriz1 devolve uma matriz que é o quociente de Valor e de cada elemento em Matriz1.

.^ (ponto potência)

Matriz1 .^ Matriz2 Þ matriz

Valor . ^ Matriz1 Þ matriz

Matriz1 .^ Matriz2 devolve uma matriz em que cada elemento em Matriz2 é o expoente para o elemento correspondente em Matriz1.

Valor .^ Matriz1 devolve uma matriz em que cada elemento em Matriz1 é o expoente para Valor.

L (negação)

LValor1 Þ valor

LLista1 Þ lista

LMatriz1 Þ matriz

Devolve a negação do argumento.

Para uma lista ou matriz, devolve todos os elementos negados.

Se o argumento for um número inteiro binário ou hexadecimal, a negação dá o complemento de dois.

 

No modo base Bin:

Importante: Zero, não a letra O

Para ver o resultado completo, prima 5 e, de seguida, utilize 7 e 8 para mover o cursor.

% (percentagem)

Valor1 % Þ valor

Lista1 % Þ lista

Matriz1 % Þ matriz

Devolve

Para uma lista ou matriz, devolve uma lista ou matriz com cada elemento dividido por 100.

= (igual)

Expr1 = Expr2 ÞExpressão booleana

Lista1 = Lista2 Þ Lista booleana

Matriz1 = Matriz2 Þ Matriz booleana

Devolve verdadeiro se Expr1 for determinada para ser igual a Expr2.

Devolve falso se Expr1 for determinada para ser diferente a Expr2.

Outra coisa qualquer devolve uma forma simplificada da equação.

Para listas e matrizes, devolve comparações elemento por elemento.

Obs para introdução do exemplo: Para obter instruções sobre como introduzir programas com várias linhas e definições de funções, consulte a secção Calculadora do manual do utilizador do produto.

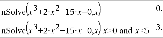
Exemplo de função que utiliza os símbolos de teste matemático: =, ƒ, <, {, >, |

 

Resultado do gráfico g(x)

ƒ (diferente)

Expr1 ƒ Expr2 Þ Expressão booleana

Lista1 ƒ Lista2 Þ Lista booleana

Matriz1 ƒ Matriz2 Þ Matriz booleana

Devolve verdadeiro se Expr1 for determinada para ser diferente a Expr2.

Devolve falso se Expr1 for determinada para ser igual a Expr2.

Outra coisa qualquer devolve uma forma simplificada da equação.

Para listas e matrizes, devolve comparações elemento por elemento.

Nota: Pode introduzir este operador através da escrita de /= no teclado.

Consulte exemplo “=” (igual).

< (menor que)

Expr1 < Expr2 Þ Expressão booleana

Lista1 < Lista2 Þ Lista booleana

Matriz1 < Matriz2 Þ Matriz booleana

Devolve verdadeiro se Expr1 for determinada para ser menor que Expr2.

Devolve falso se Expr1 for determinada para ser igual ou maior que Expr2.

Outra coisa qualquer devolve uma forma simplificada da equação.

Para listas e matrizes, devolve comparações elemento por elemento.

Consulte exemplo “=” (igual).

{ (igual ou menor que)

Expr1 { Expr2 Þ Expressão booleana

Lista1 { Lista2 Þ Lista booleana

Matriz1 { Matriz2 Þ Matriz booleana

Devolve verdadeiro se Expr1 for determinada para igual ou menor que Expr2.

Devolve falso se Expr1 for determinada para ser maior que Expr2.

Outra coisa qualquer devolve uma forma simplificada da equação.

Para listas e matrizes, devolve comparações elemento por elemento.

Nota: Pode introduzir este operador através da escrita de <= no teclado

Consulte exemplo “=” (igual).

> (maior que)

Expr1 > Expr2 Þ Expressão booleana

Lista1 > Lista2 Þ Lista booleana

Matriz1 > Matriz2 Þ Matriz booleana

Devolve verdadeiro se Expr1 for determinada para ser maior que Expr2.

Devolve falso se Expr1 for determinada para ser igual ou menor que Expr2.

Outra coisa qualquer devolve uma forma simplificada da equação.

Para listas e matrizes, devolve comparações elemento por elemento.

Consulte exemplo “=” (igual).

| (igual ou maior que)

Expr1 | Expr2 Þ Expressão booleana

Lista1 | Lista2 Þ Lista booleana

Matriz1 | Matriz2 Þ Matriz booleana

Devolve verdadeiro se Expr1 for determinada para ser igual ou maior que Expr2.

Devolve falso se Expr1 for determinada para ser menor que Expr2.

Outra coisa qualquer devolve uma forma simplificada da equação.

Para listas e matrizes, devolve comparações elemento por elemento.

Nota: Pode introduzir este operador através da escrita de >= no teclado.

Consulte exemplo “=” (igual).

Þ (implicação lógica)

ExprBooleana1 Þ ExprBooleana2 devolve expressão booleana

ListaBooleana1 Þ ListaBooleana2 devolve lista booleana

MatrizBooleana1 Þ MatrizBooleana2 devolve matriz booleana

NúmeroInteiro1 Þ NúmeroInteiro2 devolve número inteiro

 

Avalia a expressão not <argumento1> or <argumento2> e devolve falso, verdadeiro ou uma forma simplificada da equação.

Para listas e matrizes, devolve comparações elemento por elemento.

Nota: Pode introduzir este operador ao escrever => com o teclado

Û (implicação lógica dupla, XNOR)

ExprBooleana1 Û ExprBooleana2 devolve expressão booleana

ListaBooleana1 Û ListaBooleana2 devolve lista booleana

MatrizBooleana1 Û MatrizBooleana2 devolve matriz booleana

NúmeroInteiro1 Û NúmeroInteiro2 devolve número inteiro

 

Devolve a negação de uma operação booleana XOR nos dois argumentos. Devolve falso, verdadeiro ou uma forma simplificada da equação.

Para listas e matrizes, devolve comparações elemento por elemento.

Nota: Pode introduzir este operador ao escrever <=> com o teclado

! (factorial)

Valor1! Þ valor

Lista1! Þ lista

Matriz1! Þ matriz

Devolve o factorial do argumento.

Para uma lista ou matriz, devolve uma lista ou matriz de factoriais dos elementos.

& (acrescentar)

Cadeia1 & Cadeia2 Þ cadeia

Devolve uma cadeia de texto que é Cadeia2 acrescentada a Cadeia1.

d() (derivada)

d(Expr1, Var[, Ordem]) | Var=ValorÞvalor

d(Expr1, Var[, Ordem])Þvalor

d(Lista1, Var[, Ordem])Þlista

d(Matriz1, Var[, Ordem])Þmatriz

Excepto quando utilizar a primeira sintaxe, tem de guardar um valor numérico na variável Var antes de avaliar d(). Consulte os exemplos.

Pode utilizar d() para calcular a derivada de primeira e segunda ordem num ponto numericamente com os métodos de diferenciação automáticos.

Ordem, se incluída, tem de ser=1 ou 2. A predefinição é 1.

Nota: Pode introduzir isto através da escrita de derivada(...) no teclado.

Nota: Consulte também Primeira derivada, aqui ou Segunda derivada, aqui.

Nota: O algoritmo d() tem uma limitação: funciona recursivamente através da expressão não simplificada, computação do valor numérico da primeira derivada (e a segunda, se aplicável) e a avaliação de cada subexpressão, que pode conduzir a um resultado imprevisto.

Considere o exemplo da direita. A primeira derivada de x·(x^2+x)^(1/3) em x=0 é igual a 0. No entanto, como a primeira derivada da subexpressão (x^2+x)^(1/3) está indefinida em x=0, e este valor é utilizado para calcular a derivada da expressão total, d() reporta o resultado como indefinido e apresenta uma mensagem de aviso.

Se encontrar esta limitação, verifique a solução graficamente. Pode também tentar com centralDiff().

() (integral)

(Expr1, Var, Inferior, Superior) Þ valor

Devolve o integral de Expr1 em relação à variável Var de Inferior a Superior. Pode ser utilizada para calcular o integral definido numericamente com o mesmo método de nInt().

Nota: Pode introduzir esta função através do teclado, escrevendo integral(...).

Nota: Consulte também nInt(), aqui, e modelo do integral definido, aqui.

() (raiz quadrada)

(Valor1) Þvalor

(Lista1) Þlista

Devolve a raiz quadrada do argumento.

Para uma lista, devolve as raízes quadradas de todos os elementos em Lista1.

Nota: Pode introduzir esta função através da escrita de sqrt(...) no teclado

Nota: Consulte também Modelo de raiz quadrada, aqui.

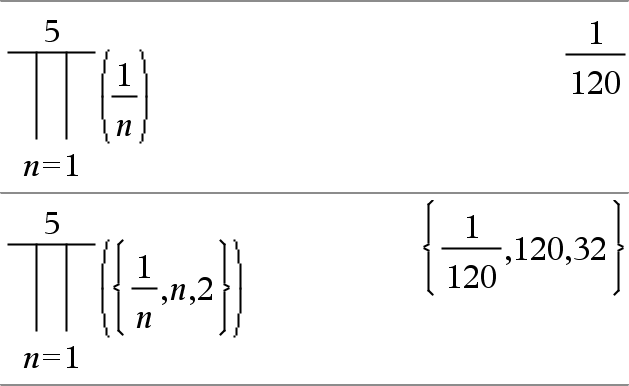
P () (prodSeq)

P (Expr1, Var, Baixo, Alto) Þexpressão

Nota: Pode introduzir esta função através da escrita de prodSeq(...) no teclado.

Avalia Expr1 para cada valor de Var de Baixo a Alto e devolve o produto dos resultados.

Nota: Consulte também Modelo do produto ( P) , aqui.

P (Expr1, Var, Baixo, Baixo N1)Þ1

P (Expr1, Var, Baixo, Alto) Þ1/ P (Expr1, Var, Alto+1, Baixo N1) se Alto < Baixo N1

 

As fórmulas do produto utilizadas derivam da seguinte referência:

Ronald L. Graham, Donald E. Knuth, and Oren Patashnik. Concrete Mathematics: A Foundation for Computer Science. Reading, Massachusetts: Addison-Wesley, 1994.

 

G() (sumSeq)

G(Expr1, Var, Baixo, Alto) Þexpressão

Nota: Pode introduzir esta função através da escrita de sumSeq(...) no teclado.

Avalia Expr1 para cada valor de Var de Baixo a Alto e devolve a soma dos resultados.

Nota: Consulte também Modelo da soma, aqui.

G(Expr1, Var, Baixo, Baixo N1)Þ0

G(Expr1, Var, Baixo, Alto) ÞLG(Expr1, Var, Alto+1, Baixo N1) se Alto < Baixo N1

 

As fórmulas da soma utilizadas derivam da seguinte referência :

Ronald L. Graham, Donald E. Knuth, and Oren Patashnik. Concrete Mathematics: A Foundation for Computer Science. Reading, Massachusetts: Addison-Wesley, 1994.

 

GInt()

GInt(NPmt1, NPmt2, N, I, PV, [ Pmt ], [ FV ], [ PpY ], [ CpY ], [ PmtAt ], [ ValorArredondado ]) Þvalor

GInt(NPmt1, NPmt2, TabelaDeDepreciação) Þvalor

Função de amortização que calcula a soma do juro durante um intervalo especificado de pagamentos.

NPmt1 e NPmt2 definem os limites iniciais e finais do intervalo de pagamentos.

N, I, PV, Pmt, FV, PpY, CpY e PmtAt são descritos na tabela de argumentos TVM, aqui.

Se omitir Pmt, predefine-se para Pmt = tvmPmt(N, I, PV, FV, PpY, CpY, PmtAt).
Se omitir FV, predefine-se para FV =0.
As predefinições para PpY, CpY e PmtAt são iguais às predefinições para as funções TVM.

ValorArredondado especifica o número de casas decimais para arredondamento. Predefinição=2.

GInt(NPmt1,NPmt2, TabelaDeDepreciação) calcula a soma dos juros com base na tabela de amortização TabelaDeDepreciação. O argumento TabelaDeDepreciação tem de ser uma matriz na forma descrita em amortTbl(), aqui.

Nota: Consulte também GPrn(), abaixo, e Bal(), aqui.

 

GPrn()

GPrn(NPmt1, NPmt2, N, I, PV, [ Pmt ], [ FV ], [ PpY ], [ CpY ], [ PmtAt ], [ ValorArredondado ]) Þvalor

GPrn(NPmt1, NPmt2, TabelaDeDepreciação) Þvalor

Função de amortização que calcula a soma do capital durante um intervalo especificado de pagamentos.

NPmt1 e NPmt2 definem os limites iniciais e finais do intervalo de pagamentos.

N, I, PV, Pmt, FV, PpY, CpY e PmtAt são descritos na tabela de argumentos TVM, aqui.

Se omitir Pmt, predefine-se para Pmt = tvmPmt(N, I, PV, FV, PpY, CpY, PmtAt).
Se omitir FV, predefine-se para FV =0.
As predefinições para PpY, CpY e PmtAt são iguais às predefinições para as funções TVM.

ValorArredondado especifica o número de casas decimais para arredondamento. Predefinição=2.

GPrn(NPmt1,NPmt2, TabelaDeDepreciação) calcula a soma do capital pago com base na tabela de amortização TabelaDeDepreciação. O argumento TabelaDeDepreciação tem de ser uma matriz na forma descrita em amortTbl(), aqui.

Nota: Consulte também GInt(), acima, e Bal(), aqui.

 

# (indirecta)

# CadeiaDeNomeDaVar

Refere-se à variável cujo nome é CadeiaDeNomeDaVar. Permite utilizar cadeias para criar nomes das variáveis a partir de uma função.

Cria ou refere-se à variável xyz.

 

Devolve o valor da variável (r) cujo nome é guardado na variável s1.

E (notação científica)

mantissa E expoente

Introduz um número em notação científica. O número é interpretado como mantissa × 10 expoente.

Sugestão: Se quiser introduzir uma potência de 10 sem resultar num resultado de valor decimal, utilize 10^ número inteiro.

Nota: Pode introduzir este operador através da escrita de @E no teclado do computador. por exemplo, escreva 2.3@E4 para introduzir 2.3E4.

g (gradianos)

Expr1gÞexpressão

Lista1g Þlista

Matriz1g Þmatriz

Esta função fornece uma forma para especificar um ângulo de gradianos enquanto está no modo Graus ou Radianos.

No modo de ângulo Radianos, multiplica Expr1 por p/200.

No modo de ângulo Graus, multiplica Expr1 por g/100.

No modo Gradianos, devolve Expr1 inalterada.

Nota: Pode introduzir este símbolo através da escrita de @g no teclado do computador.

No modo Graus, Gradianos ou Radianos:

R (radianos)

Valor1RÞvalor

Lista1RÞlista

Matriz1RÞmatriz

Esta função fornece uma forma para especificar um ângulo de radianos enquanto está no modo Graus ou Gradianos.

No modo de ângulo Graus, multiplica o argumento por 180/ p.

No modo de ângulo Radianos, devolve o argumento inalterado.

No modo Gradianos, multiplica o argumento por 200/ p.

Sugestão: Utilize R se quiser impor os radianos numa definição da função, independentemente do modo que prevalece quando a função é utilizada.

Nota: Pode introduzir este símbolo através da escrita de @r no teclado.

No modo de ângulo Graus, Gradianos ou Radianos:

¡ (graus)

Valor1 ¡Þvalor

Lista1 ¡Þlista

Matriz1 ¡Þmatriz

Esta função fornece uma forma para especificar um ângulo expresso em graus enquanto está no modo Radianos ou Radianos.

No modo de ângulo Radianos, multiplica o argumento por p/180.

No modo de ângulo Graus, devolve o argumento inalterado.

No modo de ângulo Gradianos, multiplica o argumento por 10/9.

Nota: Pode introduzir este símbolo através da escrita de @d no teclado do computador.

No modo de ângulo Graus, Gradianos ou Radianos:

No modo de ângulo Radianos:

Obs: Para forçar um resultado aproximado,

Unidade portátil: Premir / ·.
Windows®: Premir Ctrl+Enter.
Macintosh®: Premir +Enter.
iPad®: Manter pressionada a tecla Enter e selecionar .

¡, ', '' (grau/minuto/segundo)

gg ¡mm ' ss.ss '' Þexpressão

gg Um número positivo ou negativo

mm Um número não negativo

ss.ss Um número não negativo

Devolve gg +(mm /60)+(ss.ss /3600).

Este formato de entrada base ‑60 permite:

Introduza um ângulo em graus/minutos/segundos sem se preocupar com o modo de ângulo actual.
Introduza o tempo como horas/minutos/segundos.

Nota: Introduza dois apóstrofos a seguir ss.ss (''), não um símbolo de aspas (").

No modo de ângulo Graus:

± (ângulo)

[ Raio, ±q_Ângulo ] Þvector

(entrada polar)

[ Raio, ±q_Ângulo, Z_Coordenada ] Þvector

(entrada cilíndrica)

[ Raio, ±q_Ângulo, ±q_Ângulo ] Þvector

(entrada esférica)

Devolve coordenadas como um vector dependendo da definição do modo Formato do vector: rectangular, cilíndrico ou esférico.

Nota: Pode introduzir este símbolo através da escrita de @< no teclado do computador.

No modo Radianos e formato do vector definido para:

rectangular

 

cilíndrico

 

esférico

(Magnitude ± Ângulo) ÞValorComplexo

(entrada polar)

Introduz um valor complexo em forma polar (r ±q). O Ângulo é interpretado de acordo com a definição do modo Ângulo actual.

No modo de ângulo Radianos e Formato complexo rectangular:

 

_ (carácter de sublinhado como um elemento vazio)

 

 

10^()

10^(Valor1) Þvalor

10^(Lista1) Þlista

Devolve 10 elevado à potência do argumento.

Para uma lista, devolve 10 elevado à potência dos elementos em Lista1.

10^(MatrizQuadrada1) ÞMatrizQuadrada

Devolve 10 elevado à potência de MatrizQuadrada1. Isto não é o mesmo que calcular 10 elevado à potência de cada elemento. Para mais informações sobre o método de cálculo, consulte cos().

MatrizQuadrada1 tem de ser diagnolizável. O resultado contém sempre os números de ponto flutuante.

^/ (recíproco)

Valor1 ^/Þvalor

Lista1 ^/Þlista

Devolve o recíproco do argumento.

Para uma lista, devolve os recíprocos dos elementos em Lista1.

MatrizQuadrada1 ^/ÞMatrizQuadrada

Devolve o inverso de MatrizQuadrada1.

MatrizQuadrada1 tem de ser uma matriz quadrada não singular.

| (operador de limite)

Expr | ExprBooleana1 [andExprBooleana2]...

Expr | ExprBooleana1 [orExprBooleana2]...

O símbolo de limite (“|”) serve como um operador binário. O operando à esquerda de | é uma expressão. O operando à direita de | especifica uma ou mais relações que servem para afetar a simplificação da expressão. Várias relações após | têm de ser reunidas por operadores “and” ou “or” lógicos.

O operador de limite fornece três tipos de funcionalidades básicas:

Substituições
Limites de intervalo
Exclusões

As substituições estão na forma de uma igualdade, como x=3 ou y=sin(x). Para ser mais eficaz, o membro esquerdo deve ser uma variável simples. Expr | Variável = valor substituem valor para todas as ocorrências de Variável em Expr.

Os limites de intervalos tomam a forma de uma ou mais desigualdades reunidas pelos operadores “and” ou “or” lógicos. Os limites de intervalos também permitem a simplificação que caso contrário pode ser inválida ou não calculável.

As exclusões utilizam o operador relacional “diferentes” (/= ou ƒ) para excluir um valor específico de consideração.

& (guardar)

Value & Var

Lista & Var

Matriz & Var

Expr & Função(Parâm1,...)

Lista & Função(Parâm1,...)

Matriz & Função(Parâm1,...)

Se a variável Var não existir, cria-a e inicia-a para Valor, Lista ou Matriz.

Se a variável Var já existir e não estiver bloqueada nem protegida, substitui o conteúdo por Valor, Lista ou Matriz.

Nota: Pode introduzir este operador através da escrita de =: no teclado como um atalho. Por exemplo, escreva pi/4 =: myvar.

:= (atribuir)

Var := Valor

Var := Lista

Var := Matriz

Função(Parâm1,...) := Expr

Função(Parâm1,...) := Lista

Função(Parâm1,...) := Matriz

Se a variável Var não existir, cria Var e inicia-a para Valor, Lista ou Matriz.

Se Var já existir e não estiver bloqueada nem protegida, substitui o conteúdo por Valor, Lista ou Matriz.

© (comentário)

© [ texto]

© processa texto como uma linha de comentário, permitindo anotar as funções e os programas criados.

© pode estar no início ou em qualquer parte da linha. Tudo à direita de ©, no fim da linha, é o comentário.

Obs para introdução do exemplo: Para obter instruções sobre como introduzir programas com várias linhas e definições de funções, consulte a secção Calculadora do manual do utilizador do produto.

0b, 0h

0b NúmeroBinário

0h NúmeroHexadecimal

Indica um número binário ou hexadecimal, respectivamente. Para introduzir um número binário ou hexadecimal, utilize sempre o prefixo 0b ou 0h independentemente do modo Base. Sem um prefixo, um número é tratado como decimal (base 10).

Os resultados aparecem de acordo com o modo base.

No modo base Dec:

 

No modo base Bin:

 

No modo base Hex: