Vous êtes ici: TI‑Nspire™ CX CAS Reference Guide > Liste alphabétique > P

P

P4Rx()

P4Rx(ExprR, qExpr)Þexpression

P4Rx(ListeR, qListe)Þliste

P4Rx(MatriceR, qMatrice)Þmatrice

Donne la valeur de l'abcisse du point de coordonnées polaires (r, q).

Remarque : l'argument q est interprété comme une mesure en degrés, en grades ou en radians, suivant le mode Angle utilisé. Si l'argument est une expression, vous pouvez utiliser ¡G ou Rpour ignorer temporairement le mode Angle sélectionné.

Remarque : vous pouvez insérer cette fonction à partir du clavier de l'ordinateur en entrant P@>Rx(...).

En mode Angle en radians :

P4Ry()

P4Ry(ExprR, qExpr)Þexpression

P4Ry(ListeR, qListe)Þliste

P4Ry(MatriceR, qMatrice)Þmatrice

Donne la valeur de l'ordonnée du point de coordonnées polaires (r, q).

Remarque : l'argument q est interprété comme une mesure en degrés, en grades ou en radians, suivant le mode Angle utilisé. Si l'argument est une expression, vous pouvez utiliser ¡G ou Rpour ignorer temporairement le mode Angle sélectionné.

Remarque : vous pouvez insérer cette fonction à partir du clavier de l'ordinateur en entrant P@>Ry(...).

En mode Angle en radians :

PassErr

PassErr

Passe une erreur au niveau suivant.

Si la variable système errCode est zéro, PassErr ne fait rien.

L'instruction Else du bloc Try...Else...EndTry doit utiliser EffErr ou PassErr. Si vous comptez rectifier ou ignorer l'erreur, sélectionnez EffErr. Si vous ne savez pas comment traiter l'erreur, sélectionnez PassErr pour la transférer au niveau suivant. S'il n'y a plus d'autre programme de traitement des erreurs Try...Else...EndTry, la boîte de dialogue Erreur s'affiche normalement.

Remarque : Voir aussi ClrErr, ici et Try, ici.

Remarque pour la saisie des données de l’exemple : Pour obtenir des instructions sur la saisie des définitions de fonction ou de programme sur plusieurs lignes, consultez la section relative à la calculatrice dans votre guide de produit.

Pour obtenir un exemple de PassErr, reportez-vous à l'exemple 2 de la commande Try, ici.

piecewise()

piecewise(Expr1 [, Condition1 [, Expr2 [, Condition2 [, … ]]]])

Permet de créer des fonctions définies par morceaux sous forme de liste. Il est également possible de créer des fonctions définies par morceaux en utilisant un modèle.

Remarque : voir aussi Modèle Fonction définie par morceaux, ici.

poissCdf()

poissCdf(l,lowBound,upBound)Þnombre si lowBound et upBound sont des nombres, liste si lowBound et upBound sont des listes

poissCdf(l,upBound)(pour P(0{X{upBound)Þnombre si la borne upBound est un nombre, liste si la borne upBound est une liste

Calcule la probabilité cumulée d'une variable suivant une loi de Poisson de moyenne l.

Pour P(X { upBound), définissez la borne lowBound=0

 

poissPdf()

poissPdf(l,ValX)Þnombre si ValX est un nombre, liste si ValX est une liste

Calcule la probabilité de ValX pour la loi de Poisson de moyenne l spécifiée.

 

4Polar

Vecteur 4Polar

Remarque : vous pouvez insérer cet opérateur à partir du clavier de l'ordinateur en entrant @>Polar.

Affiche vecteur sous forme polaire [r∠θ]. Le vecteur doit être un vecteur ligne ou colonne et de dimension 2.

Remarque : 4Polar est uniquement une instruction d'affichage et non une fonction de conversion. On ne peut l'utiliser qu'à la fin d'une ligne et elle ne modifie pas le contenu du registre ans.

Remarque : voir aussi 4Rect, ici.

valeurComplexe 4Polar

Affiche valeurComplexe sous forme polaire.

Le mode Angle en degrés affiche (r∠θ).
Le mode Angle en radians affiche reiθ.

valeurComplexe peut prendre n'importe quelle forme complexe. Toutefois, une entrée reiθ génère une erreur en mode Angle en degrés.

Remarque : vous devez utiliser les parenthèses pour les entrées polaires (r∠θ).

En mode Angle en radians :

 

En mode Angle en grades :

 

En mode Angle en degrés :

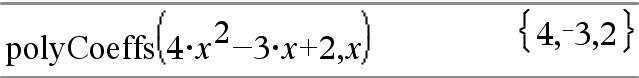
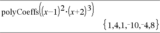
polyCoeffs()

polyCoeffs(Poly [,Var])Þliste

Affiche une liste des coefficients du polynôme Poly pour la variable Var.

Poly doit être une expression polynomiale de Var Nous conseillons de ne pas omettre Var à moins que Poly ne soit une expression dans une variable unique.

 

 

Etend le polynôme et sélectionne x pour la variable omise Var.

 

 

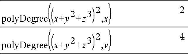
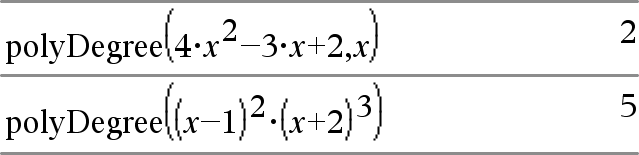
polyDegree()

polyDegree(Poly [,Var])Þvaleur

Affiche le degré de l'expression polynomiale Poly pour la variable Var. Si vous omettez Var, la fonction polyDegree() sélectionne une variable par défaut parmi les variables contenues dans le polynôme Poly.

Poly doit être une expression polynomiale de Var Nous conseillons de ne pas omettre Var à moins que Poly ne soit une expression dans une variable unique.

 

Polynômes constants

 

 

Il est possible d'extraire le degré, même si cela n'est pas possible pour les coefficients. Cela s'explique par le fait qu'un degré peut être extrait sans développer le polynôme.

polyEval()

polyEval(Liste1, Expr1)Þexpression

polyEval(Liste1, Liste2)Þexpression

Interprète le premier argument comme les coefficients d'un polynôme ordonné suivant les puissances décroissantes et calcule la valeur de ce polynôme au point indiqué par le deuxième argument.

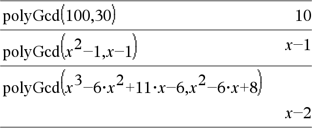
polyGcd()

polyGcd(Expr1,Expr2)Þexpression

Donne le plus grand commun diviseur des deux arguments.

Expr1 et Expr2 doivent être des expressions polynomiales.

Les listes, matrices et arguments booléens ne sont pas autorisés.

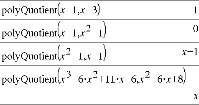
polyQuotient()

polyQuotient(Poly1,Poly2 [,Var])Þexpression

Affiche le quotient de polynôme Poly1 divisé par le polynôme Poly2 par rapport à la variable spécifiée Var.

Poly1 et Poly2 doivent être des expressions polynomiales de Var. Nous conseillons de ne pas omettre Var à moins que Poly1 et Poly2 ne soient des expressions dans une même variable unique.

 

 

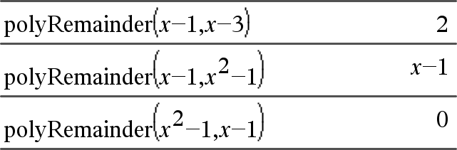
polyRemainder()

polyRemainder(Poly1,Poly2 [,Var])Þexpression

Affiche le reste du polynôme Poly1 divisé par le polynôme Poly2 par rapport à la variable spécifiée Var.

Poly1 et Poly2 doivent être des expressions polynomiales de Var. Nous conseillons de ne pas omettre Var à moins que Poly1 et Poly2 ne soient des expressions dans une même variable unique.

 

 

 

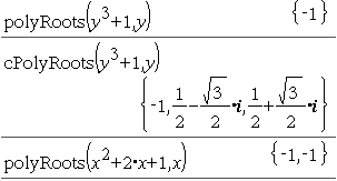
polyRoots()

polyRoots(Poly,Var) Þliste

polyRoots(ListeCoeff) Þliste

La première syntaxe, polyRoots(Poly,Var), affiche une liste des racines réelles du polynôme Poly pour la variable Var. S'il n'existe pas de racine réelle, une liste vide est affichée : { }.

Poly doit être un polynôme d'une seule variable.

La deuxième syntaxe, polyRoots(ListeCoeff), affiche une liste de racines réelles du polynôme dont les coefficients sont donnés par la liste ListeCoeff.

Remarque : voir aussi cPolyRoots(), ici.

PowerReg

PowerReg X,Y [, Fréq] [, Catégorie, Inclure]]

Effectue l'ajustement exponentiely = (a·(x)b)sur les listes X et Y en utilisant la fréquence Fréq. Un récapitulatif du résultat est stocké dans la variable stat.results. (Voir ici.)

Toutes les listes doivent comporter le même nombre de lignes, à l'exception de Inclure.

X et Y sont des listes de variables indépendantes et dépendantes.

Fréq est une liste facultative de valeurs qui indiquent la fréquence. Chaque élément dans Fréq correspond à une fréquence d'occurrence pour chaque couple X et Y. Par défaut, cette valeur est égale à 1. Tous les éléments doivent être des entiers | 0.

Catégorie est une liste de codes de catégories pour les couples X et Y correspondants.

Inclure est une liste d'un ou plusieurs codes de catégories. Seuls les éléments dont le code de catégorie figure dans cette liste sont inclus dans le calcul.

Pour plus d'informations concernant les éléments vides dans une liste, reportez-vous à “Éléments vides”, ici.

 

Variable de sortie

Description

stat.RegEqn

Équation d'ajustement : a·(x)b

stat.a, stat.b

Coefficients d'ajustement

stat.r2

Coefficient de détermination linéaire pour les données transformées

stat.r

Coefficient de corrélation pour les données transformées (ln(x), ln(y))

stat.Resid

Valeurs résiduelles associées au modèle exponentiel

stat.ResidTrans

Valeurs résiduelles associées à l'ajustement linéaire des données transformées

stat.XReg

Liste des points de données de la liste Liste X modifiée, actuellement utilisée dans l'ajustement basé sur les restrictions de Fréq, Liste de catégories et Inclure les catégories

stat.YReg

Liste des points de données de la liste Liste Y modifiée, actuellement utilisée dans l'ajustement basé sur les restrictions de Fréq, Liste de catégories et Inclure les catégories

stat.FreqReg

Liste des fréquences correspondant à stat.XReg et stat.YReg

Prgm

Prgm
Bloc
EndPrgm

Modèle de création d'un programme défini par l'utilisateur. À utiliser avec la commande Define, Define LibPub, ou Define LibPriv.

Bloc peut correspondre à une instruction unique ou à une série d'instructions séparées par le caractère “:” ou à une série d'instructions réparties sur plusieurs lignes.

Remarque pour la saisie des données de l’exemple : Pour obtenir des instructions sur la saisie des définitions de fonction ou de programme sur plusieurs lignes, consultez la section relative à la calculatrice dans votre guide de produit.

Calcule le plus grand commun diviseur et affiche les résultats intermédiaires.

prodSeq()

 

 

Product (PI)

 

 

product()

product(Liste[, Début[, Fin]])Þexpression

Donne le produit des éléments de Liste. Début et Fin sont facultatifs. Ils permettent de spécifier une plage d'éléments.

product(Matrice1[, Début[, Fin]])Þmatrice

Donne un vecteur ligne contenant les produits des éléments ligne par ligne de Matrice1. Début et Fin sont facultatifs. Ils permettent de spécifier une plage de colonnes.

Les éléments vides sont ignorés. Pour plus d'informations concernant les éléments vides, reportez-vous à la ici.

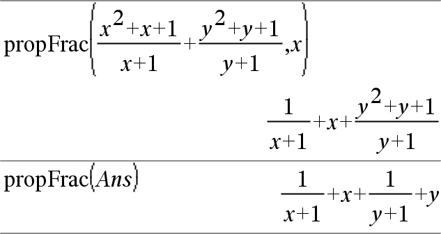
propFrac()

propFrac(Expr1[, Var])Þexpression

propFrac(nombre_rationnel) décompose nombre_rationnel sous la forme de la somme d'un entier et d'une fraction de même signe et dont le dénominateur est supérieur au numérateur (fraction propre).

propFrac(expression_rationnelle,Var) donne la somme des fractions propres et d'un polynôme par rapport à Var. Le degré de Var dans le dénominateur est supérieur au degré de Var dans le numérateur pour chaque fraction propre. Les mêmes puissances de Var sont regroupées. Les termes et leurs facteurs sont triés, Var étant la variable principale.

Si Var est omis, le développement des fractions propres s'effectue par rapport à la variable la plus importante. Les coefficients de la partie polynomiale sont ensuite ramenés à leur forme propre par rapport à leur variable la plus importante, et ainsi de suite.

Pour les expressions rationnelles, propFrac() est une alternative plus rapide mais moins extrême à expand().

Vous pouvez utiliser la fonction propFrac() pour représenter des fractions mixtes et démontrer l'addition et la soustraction de fractions mixtes.