Vous êtes ici: TI‑Nspire™ CX CAS Reference Guide > Symboles

Symboles

+ (somme)

Expr1 + Expr2Þexpression

Donne la somme des deux arguments.

Liste1 + Liste2Þliste

Matrice1 + Matrice2Þmatrice

Donne la liste (ou la matrice) contenant les sommes des éléments correspondants de Liste1 et Liste2 (ou Matrice1 et Matrice2).

Les arguments doivent être de même dimension.

Expr + Liste1Þliste

Liste1 + ExprÞliste

Donne la liste contenant les sommes de Expr et de chaque élément de Liste1.

Expr + Matrice1Þmatrice

Matrice1 + ExprÞmatrice

Donne la matrice obtenue en ajoutant Expr à chaque élément de la diagonale de Matrice1. Matrice1 doit être carrée.

Remarque : utilisez .+ pour ajouter une expression à chaque élément de la matrice.

N(soustraction)

Expr1 N Expr2Þexpression

Donne la différence de Expr1 et de Expr2.

Liste1 N Liste2Þliste

Matrice1 N Matrice2Þmatrice

Soustrait chaque élément de Liste2 (ou Matrice2) de l'élément correspondant de Liste1 (ou Matrice1) et donne le résultat obtenu.

Les arguments doivent être de même dimension.

Expr N Liste1Þliste

Liste1 N ExprÞliste

Soustrait chaque élément de Liste1 de Expr ou soustrait Expr de chaque élément de Liste1 et donne la liste de résultats obtenue.

Expr N Matrice1Þmatrice

Matrice1 N ExprÞmatrice

Expr N Matrice1 donne la matrice Expr fois la matrice d'identité moins Matrice1.  Matrice1 doit être carrée.

Matrice1 N Expr donne la matrice obtenue en soustrayant Expr à chaque élément de la diagonale de Matrice1.  Matrice1 doit être carrée.

Remarque : Utilisez .N pour soustraire une expression à chaque élément de la matrice.

·(multiplication)

Expr1 ·Expr2Þexpression

Donne le produit des deux arguments.

Liste1·Liste2Þliste

Donne la liste contenant les produits des éléments correspondants de Liste1 et Liste2.

Les listes doivent être de même dimension.

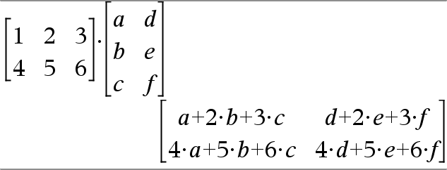
Matrice1 ·Matrice2Þmatrice

Donne le produit des matrices Matrice1 et Matrice2.

Le nombre de colonnes de Matrice1 doit être égal au nombre de lignes de Matrice2.

Expr ·Liste1Þliste

Liste1 ·ExprÞliste

Donne la liste des produits de Expr et de chaque élément de Liste1.

Expr ·Matrice1Þmatrice

Matrice1 ·ExprÞmatrice

Donne la matrice contenant les produits de Expr et de chaque élément de Matrice1.

Remarque : Utilisez .·pour multiplier une expression par chaque élément.

à (division)

Expr1 à Expr2Þexpression

Donne le quotient de Expr1 par Expr2.

Remarque : voir aussi Modèle Fraction, ici.

Liste1 à Liste2Þliste

Donne la liste contenant les quotients de Liste1 par Liste2.

Les listes doivent être de même dimension.

Expr à Liste1 Þ liste

Liste1 à Expr Þ liste

Donne la liste contenant les quotients de Expr par Liste1 ou de Liste1 par Expr.

Matrice1 à Expr  Þ matrice

Donne la matrice contenant les quotients des éléments de Matrice1àExpression.

Remarque : Utilisez . / pour diviser une expression par chaque élément.

^ (puissance)

Expr1 ^ Expr2Þexpression

Liste1 ^ Liste2 Þ liste

Donne le premier argument élevé à la puissance du deuxième argument.

Remarque : voir aussi Modèle Exposant, ici.

Dans le cas d'une liste, donne la liste des éléments de Liste1 élevés à la puissance des éléments correspondants de Liste2.

Dans le domaine réel, les puissances fractionnaires possédant des exposants réduits avec des dénominateurs impairs utilise la branche réelle, tandis que le mode complexe utilise la branche principale.

Expr ^ Liste1Þliste

Donne Expr élevé à la puissance des éléments de Liste1.

List1 ^ ExprÞliste

Donne les éléments de Liste1 élevés à la puissance de l'expression.

matriceCarrée1 ^ entier Þ matrice

Donne matriceCarrée1 élevée à la puissance de la valeur de l'entier.

matriceCarrée1 doit être une matrice carrée.

Si entier = L1, calcule la matrice inverse.

Si entier < L1, calcule la matrice inverse à une puissance positive appropriée.

x2 (carré)

Expr12 Þ expression

Donne le carré de l'argument.

Liste12 Þ liste

Donne la liste comportant les carrés des éléments de Liste1.

matriceCarrée1 2Þ matrice

Donne le carré de la matrice matriceCarrée1. Ce calcul est différent du calcul du carré de chaque élément. Utilisez .^2 pour calculer le carré de chaque élément.

.+ (addition élément par élément)

Matrice1 .+ Matrice2 Þ matrice

Expr .+ Matrice1 Þ matrice

Matrice1 .+ Matrice2 donne la matrice obtenue en effectuant la somme de chaque paire d'éléments correspondants de Matrice1 et de Matrice2.

Expr .+ Matrice1 donne la matrice obtenue en effectuant la somme de Expr et de chaque élément de Matrice1.

.

.. (soustraction élément par élément)

Matrice1 .N Matrice2 Þ matrice

Expr .NMatrice1 Þ matrice

Matrice1 .NMatrice2 donne la matrice obtenue en calculant la différence entre chaque paire d'éléments correspondants de Matrice1 et de Matrice2.

Expr .NMatrice1 donne la matrice obtenue en calculant la différence de Expr et de chaque élément de Matrice1.

.

.·(multiplication élément par élément)

Matrice1 .· Matrice2 Þ matrice

Expr .·Matrice1 Þ matrice

Matrice1 .· Matrice2 donne la matrice obtenue en calculant le produit de chaque paire d'éléments correspondants de Matrice1 et de Matrice2.

Expr .· Matrice1 donne la matrice contenant les produits de Expr et de chaque élément de Matrice1.

. / (division élément par élément)

Matrice1 . / Matrice2 Þ matrice

Expr . / Matrice1 Þ matrice

Matrice1 ./ Matrice2 donne la matrice obtenue en calculant le quotient de chaque paire d'éléments correspondants de Matrice1 et de Matrice2.

Expr ./ Matrice1 donne la matrice obtenue en calculant le quotient de Expr et de chaque élément de Matrice1.

.

.^ (puissance élément par élément)

Matrice1 .^ Matrice2 Þ matrice

Expr . ^ Matrice1 Þ matrice

Matrice1 .^ Matrice2 donne la matrice obtenue en élevant chaque élément de Matrice1 à la puissance de l'élément correspondant de Matrice2.

Expr .^ Matrice1 donne la matrice obtenue en élevant Expr à la puissance de chaque élément de Matrice1.

L(opposé)

LExpr1 Þ expression

LListe1 Þ liste

LMatrice1 Þ matrice

Donne l'opposé de l'argument.

Dans le cas d'une liste ou d'une matrice, donne l'opposé de chacun des éléments.

Si l'argument est un entier binaire ou hexadécimal, la négation donne le complément à deux.

 

En mode base Bin :

Important : utilisez le chiffre zéro et pas la lettre O.

Pour afficher le résultat entier, appuyez sur 5, puis utilisez les touches 7 et 8 pour déplacer le curseur.

% (pourcentage)

Expr1 % Þ expression

Liste1 % Þ liste

Matrice1 % Þ matrice

Donne

Dans le cas d'une liste ou d'une matrice, donne la liste ou la matrice obtenue en divisant chaque élément par 100.

Remarque: Pour afficher un résultat approximatif,

Unité : Appuyez sur / ·.
Windows® : Appuyez sur Ctrl+Entrée.
Macintosh® : Appuyez sur +Entrée.
iPad® : Maintenez la touche Entrée enfoncée et sélectionnez .

= (égal à)

Expr1 = Expr2ÞExpression booléenne

Liste1 = Liste2Þ Liste booléenne

Matrice1 = Matrice2Þ Matrice booléenne

Donne true s'il est possible de vérifier que la valeur de Expr1 est égale à celle de Expr2.

Donne false s'il est possible de déterminer que la valeur de Expr1 n'est pas égale à celle de Expr2.

Dans les autres cas, donne une forme simplifiée de l'équation.

Dans le cas d'une liste ou d'une matrice, donne le résultat des comparaisons, élément par élément.

Remarque pour la saisie des données de l’exemple : Pour obtenir des instructions sur la saisie des définitions de fonction ou de programme sur plusieurs lignes, consultez la section relative à la calculatrice dans votre guide de produit.

Exemple de fonction qui utilise les symboles de test mathématiques : =, ƒ, <, {, >, |

 

Résultat de la représentation graphique de g(x)

ƒ (différent de)

Expr1 ƒ Expr2 Þ Expression booléenne

Liste1 ƒ Liste2 Þ Liste booléenne

Matrice1 ƒ Matrice2 Þ Matrice booléenne

Donne true s'il est possible de déterminer que la valeur de Expr1 n'est pas égale à celle de Expr2.

Donne false s'il est possible de vérifier que la valeur de Expr1 est égale à celle de Expr2.

Dans les autres cas, donne une forme simplifiée de l'équation.

Dans le cas d'une liste ou d'une matrice, donne le résultat des comparaisons, élément par élément.

Remarque : vous pouvez insérer cet opérateur à partir du clavier de l'ordinateur en entrant /=

Voir l'exemple fourni pour « = » (égal à).

< (inférieur à)

Expr1 < Expr2 Þ Expression booléenne

Liste1 < Liste2 Þ Liste booléenne

Matrice1 < Matrice2 Þ Matrice booléenne

Donne true s'il est possible de déterminer que la valeur de Expr1 est strictement inférieure à celle de Expr2.

Donne false s'il est possible de déterminer que la valeur de Expr1 est strictement supérieure ou égale à celle de Expr2.

Dans les autres cas, donne une forme simplifiée de l'équation.

Dans le cas d'une liste ou d'une matrice, donne le résultat des comparaisons, élément par élément.

Voir l'exemple fourni pour « = » (égal à).

{ (inférieur ou égal à)

Expr1 { Expr2 Þ Expression booléenne

Liste1 { Liste2 Þ Liste booléenne

Matrice1 { Matrice2 Þ Matrice booléenne

Donne true s'il est possible de déterminer que la valeur de Expr1 est inférieure ou égale à celle de Expr2.

Donne false s'il est possible de déterminer que la valeur de Expr1 est strictement supérieure à celle de Expr2.

Dans les autres cas, donne une forme simplifiée de l'équation.

Dans le cas d'une liste ou d'une matrice, donne le résultat des comparaisons, élément par élément.

Remarque : vous pouvez insérer cet opérateur à partir du clavier de l'ordinateur en entrant <=

Voir l'exemple fourni pour « = » (égal à).

> (supérieur à)

Expr1 > Expr2 Þ Expression booléenne

Liste1 > Liste2 Þ Liste booléenne

Matrice1 > Matrice2 Þ Matrice booléenne

Donne true s'il est possible de déterminer que la valeur de Expr1 est supérieure à celle de Expr2.

Donne false s'il est possible de déterminer que la valeur de Expr1 est strictement inférieure ou égale à celle de Expr2.

Dans les autres cas, donne une forme simplifiée de l'équation.

Dans le cas d'une liste ou d'une matrice, donne le résultat des comparaisons, élément par élément.

Voir l'exemple fourni pour « = » (égal à).

| (supérieur ou égal à)

Expr1 | Expr2 Þ Expression booléenne

Liste1 | Liste2 Þ Liste booléenne

Matrice1 | Matrice2 Þ Matrice booléenne

Donne true s'il est possible de déterminer que la valeur de Expr1 est supérieure ou égale à celle de Expr2.

Donne false s'il est possible de déterminer que la valeur de Expr1 est inférieure ou égale à celle de Expr2.

Dans les autres cas, donne une forme simplifiée de l'équation.

Dans le cas d'une liste ou d'une matrice, donne le résultat des comparaisons, élément par élément.

Remarque : vous pouvez insérer cet opérateur à partir du clavier de l'ordinateur en entrant >=

Voir l'exemple fourni pour « = » (égal à).

Þ (implication logique)

BooleanExpr1 Þ BooleanExpr2 renvoie expression booléenne

BooleanList1 Þ BooleanList2 renvoie liste booléenne

BooleanMatrix1 Þ BooleanMatrix2 renvoie matrice booléenne

Integer1 Þ Integer2 renvoie entier

 

Évalue l'expression not <argument1> or <argument2> et renvoie true (vrai) ou false (faux) ou une forme simplifiée de l'équation.

Pour les listes et matrices, renvoie le résultat des comparaisons, élément par élément.

Remarque : Vous pouvez insérer cet opérateur à partir du clavier de l'ordinateur en entrant =>

Û (équivalence logique, XNOR)

BooleanExpr1 Û BooleanExpr2 renvoie expression booléenne

BooleanList1 Û BooleanList2 renvoie liste booléenne

BooleanMatrix1 Û BooleanMatrix2 renvoie matrice booléenne

Integer1 Û Integer2 renvoie entier

 

Renvoie la négation d'une opération booléenne XOR sur les deux arguments. Renvoie true (vrai) ou false (faux) ou une forme simplifiée de l'équation.

Pour les listes et matrices, renvoie le résultat des comparaisons, élément par élément.

Remarque : Vous pouvez insérer cet opérateur à partir du clavier de l'ordinateur en entrant <=>

! (factorielle)

Expr1! Þ expression

Liste1! Þ liste

Matrice1! Þ matrice

Donne la factorielle de l'argument.

Dans le cas d'une liste ou d'une matrice, donne la liste ou la matrice des factorielles de tous les éléments.

& (ajouter)

Chaîne1 & Chaîne2 Þ chaîne

Donne une chaîne de caractères obtenue en ajoutant Chaîne2 à Chaîne1.

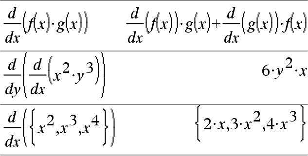
d() (dérivée)

d(Expr1, Var[, Ordre])Þexpression

d(Liste1, Var[, Ordre])Þliste

d(Matrice1, Var[, Ordre])Þmatrice

Affiche la dérivée première du premier argument par rapport à la variable Var.

Ordre, si spécifié, doit être un entier. Si l'ordre spécifié est inférieur à zéro, on obtient une primitive.

Remarque : vous pouvez insérer cette fonction à partir du clavier en entrant derivative(...).

d() n'applique pas la méthode de calcul standard qui consiste à simplifier entièrement ses arguments, puis à appliquer la définition de la fonction aux arguments simplifiés obtenus. Par contre, d() procède de la façon suivante :

1. Il simplifie le deuxième argument uniquement dans la mesure où cette opération permet d'obtenir une variable.
2. Il simplifie le premier argument uniquement dans la mesure où cette opération appelle une valeur stockée pour la variable déterminée à l'étape 1.
3. Il détermine la dérivée symbolique du résultat obtenu à l'étape 2 par rapport à la variable générée à l'étape 1.

Si la variable déterminée à l'étape 1 a une valeur stockée ou une valeur spécifiée par l'opérateur "sachant que"  (« | »), cette valeur est substituée dans le résultat obtenu à l'étape 3.

Remarque : voir aussi Dérivée  premièreici, Dériviée  secondeici ou Dérivée  n-ièmeici.

 

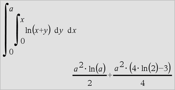
() (intégrale)

(Expr1, Var[, Borne1, Borne2]) Þ expression

(Expr1, Var[, Constante]) Þ expression

Affiche l'intégrale de Expr1 pour la variable Var entre Borne1 et Borne2.

Remarque : voir aussi le modèle Intégrale définie ou indéfinie, ici.

Remarque : vous pouvez insérer cette fonction à partir du clavier en entrant integral(...).

Donne une primitive si Borne1 et Borne2 sont omises. La constante d'intégration est omise si vous spécifiez l'argument Constante.

Les primitives valides peuvent différer d'une constante numérique. Ce type de constante peut être masqué, notamment lorsqu'une primitive contient des logarithmes ou des fonctions trigonométriques inverses. De plus, des expressions constantes par morceaux sont parfois ajoutées pour assurer la validité d'une primitive sur un intervalle plus grand que celui d'une formule courante.

 

() retourne les intégrales non évaluées des morceaux de Expr1 dont les primitives ne peuvent pas être déterminées sous forme de combinaison explicite finie de fonctions usuelles.

Si Borne1 et Borne2 sont toutes les deux spécifiées, la fonction tente de localiser toute discontinuité ou dérivée discontinue comprise dans l'intervalle Borne1 < Var < Borne2 et de subdiviser l'intervalle en ces points.

Avec le réglage Auto du mode Auto ou Approché (Approximate), l'intégration numérique est utilisée, si elle est applicable, chaque fois qu'une primitive ou une limite ne peut pas être déterminée.

 

Avec le réglage Approché, on procède en premier à une intégration numérique, si elle est applicable. Les primitives ne peuvent être trouvées que dans le cas où cette intégration numérique ne s'applique pas ou échoue.

 

Remarque: Pour afficher un résultat approximatif,

Unité : Appuyez sur / ·.
Windows® : Appuyez sur Ctrl+Entrée.
Macintosh® : Appuyez sur +Entrée.
iPad® : Maintenez la touche Entrée enfoncée et sélectionnez .

() peut être imbriqué pour obtenir des intégrales multiples. Les bornes d'intégration peuvent dépendre des variables d'intégration les plus extérieures.

Remarque : voir aussi nInt(), ici.

() (racine carrée)

(Expr1)Þexpression

(Liste1)Þliste

Donne la racine carrée de l'argument.

Dans le cas d'une liste, donne la liste des racines carrées des éléments de Liste1.

Remarque : vous pouvez insérer cette fonction à partir du clavier en entrant sqrt(...)

Remarque : voir aussi Modèle Racine carrée, ici.

P() (prodSeq)

P(Expr1, Var, Début, Fin)Þexpression

Remarque : vous pouvez insérer cette fonction à partir du clavier en entrant prodSeq(...).

Calcule Expr1 pour chaque valeur de Var comprise entre Début et Fin et donne le produit des résultats obtenus.

Remarque : voir aussi Modèle Produit (P), ici.

P(Expr1, Var, Début, DébutN1)Þ1

P(Expr1, Var, Début, Fin)

Þ1/P(Expr1, Var, Fin+1, DébutN1) if Début < FinN1

Les formules de produit utilisées sont extraites des références ci-dessous :

Ronald L. Graham, Donald E. Knuth et Oren Patashnik. Concrete Mathematics: A Foundation for Computer Science. Reading, Massachusetts: Addison-Wesley, 1994.

 

G() (sumSeq)

G(Expr1, Var, Début, Fin)Þexpression

Remarque : vous pouvez insérer cette fonction à partir du clavier en entrant sumSeq(...).

Calcule Expr1 pour chaque valeur de Var comprise entre Début et Fin et donne la somme des résultats obtenus.

Remarque : voir aussi Modèle Somme, ici.

G(Expr1, Var, Début, FinN1)Þ0

G(Expr1, Var, Début, Fin)

ÞLG(Expr1, Var, Fin+1, DébutN1) if Fin < DébutN1

Le formules d'addition utilisées sont extraites des références ci-dessous :

Ronald L. Graham, Donald E. Knuth et Oren Patashnik. Concrete Mathematics: A Foundation for Computer Science. Reading, Massachusetts: Addison-Wesley, 1994.

 

GInt()

GInt(NPmt1, NPmt2, N, I, PV,[Pmt], [FV], [PpY], [CpY], [PmtAt], [valArrondi])Þvaleur

GInt(NPmt1,NPmt2,tblAmortissement)Þvaleur

Fonction d'amortissement permettant de calculer la somme des intérêts au cours d'une plage de versements spécifiée.

NPmt1 et NPmt2 définissent le début et la fin de la plage de versements.

N, I, PV, Pmt, FV, PpY, CpY et PmtAt sont décrits dans le tableau des arguments TVM, ici.

Si vous omettez Pmt, il prend par défaut la valeur Pmt=tvmPmt(N,I,PV,FV,PpY,CpY,PmtAt).
Si vous omettez FV, il prend par défaut la valeur FV=0.
Les valeurs par défaut pour PpY, CpY et PmtAt sont les mêmes que pour les fonctions TVM.

valArrondi spécifie le nombre de décimales pour arrondissement. Valeur par défaut=2.

GInt(NPmt1,NPmt2,tblAmortissement) calcule la somme de l'intérêt sur la base du tableau d'amortissement tblAmortissement. L'argument tblAmortissement doit être une matrice au format décrit à tblAmortissement(), ici.

Remarque : voir également GPrn() ci dessous et Bal(), ici.

 

GPrn()

GPrn(NPmt1, NPmt2, N, I, PV, [Pmt], [FV], [PpY], [CpY], [PmtAt], [valArrondi])Þvaleur

GPrn(NPmt1,NPmt2,tblAmortissement)Þvaleur

Fonction d'amortissement permettant de calculer la somme du capital au cours d'une plage de versements spécifiée.

NPmt1 et NPmt2 définissent le début et la fin de la plage de versements.

N, I, PV, Pmt, FV, PpY, CpY et PmtAt sont décrits dans le tableau des arguments TVM, ici.

Si vous omettez Pmt, il prend par défaut la valeur Pmt=tvmPmt(N,I,PV,FV,PpY,CpY,PmtAt).
Si vous omettez FV, il prend par défaut la valeur FV=0.
Les valeurs par défaut pour PpY, CpY et PmtAt sont les mêmes que pour les fonctions TVM.

valArrondi spécifie le nombre de décimales pour arrondissement. Valeur par défaut=2.

GPrn(NPmt1,NPmt2,tblAmortissement) calcule la somme du capital sur la base du tableau d'amortissement tblAmortissement. L'argument tblAmortissement doit être une matrice au format décrit à tblAmortissement(), ici.

Remarque : voir également GInt() ci-dessus et Bal(), ici.

 

# (indirection)

# ChaîneNomVar

Fait référence à la variable ChaîneNomVar. Permet d'utiliser des chaînes de caractères pour créer des noms de variables dans une fonction.

Crée ou fait référence à la variable xyz.

 

Donne la valeur de la variable (r) dont le nom est stocké dans la variable s1.

E (notation scientifique)

mantisseEexposant

Saisit un nombre en notation scientifique. Ce nombre est interprété sous la forme mantisse × 10exposant.

Conseil : pour entrer une puissance de 10 sans passer par un résultat de valeur décimale, utilisez 10^entier.

Remarque : vous pouvez insérer cet opérateur à partir du clavier de l'ordinateur en entrant @E. Par exemple, entrez 2.3@E4 pour avoir 2.3E4.

g (grades)

Expr1g Þexpression

Liste1g Þliste

Matrice1g Þmatrice

Cette fonction permet d'utiliser un angle en grades en mode Angle en degrés ou en radians.

En mode Angle en radians, multiplie Expr1 par p/200.

En mode Angle en degrés, multiplie Expr1 par g/100.

En mode Angle en grades, donne Expr1 inchangée.

Remarque : vous pouvez insérer ce symbole à partir du clavier de l'ordinateur en entrant @g.

En mode Angle en degrés, grades ou radians :

R(radians)

Expr1RÞexpression

Liste1RÞliste

Matrice1RÞmatrice

Cette fonction permet d'utiliser un angle en radians en mode Angle en degrés ou en grades.

En mode Angle en degrés, multiplie l'argument par 180/p.

En mode Angle en radians, donne l'argument inchangé.

En mode Angle en grades, multiplie l'argument par 200/p.

Conseil : utilisez Rsi vous voulez forcer l'utilisation des radians dans une définition de fonction quel que soit le mode dominant lors de l'utilisation de la fonction.

Remarque : vous pouvez insérer ce symbole à partir du clavier de l'ordinateur en entrant @r.

En mode Angle en degrés, grades ou radians :

¡ (degré)

Expr1¡Þexpression

Liste1¡Þliste

Matrice1¡Þmatrice

Cette fonction permet d'utiliser un angle en degrés en mode Angle en grades ou en radians.

En mode Angle en radians, multiplie l'argument par p/180.

En mode Angle en degrés, donne l'argument inchangé.

En mode Angle en grades, multiplie l'argument par 10/9.

Remarque : vous pouvez insérer ce symbole à partir du clavier de l'ordinateur en entrant @d.

En mode Angle en degrés, grades ou radians :

En mode Angle en radians :

Remarque: Pour afficher un résultat approximatif,

Unité : Appuyez sur / ·.
Windows® : Appuyez sur Ctrl+Entrée.
Macintosh® : Appuyez sur +Entrée.
iPad® : Maintenez la touche Entrée enfoncée et sélectionnez .

¡, ', '' (degré/minute/seconde)

dd¡mm'ss.ss''Þexpression

ddNombre positif ou négatif

mmNombre positif ou nul

ss.ssNombre positif ou nul

Donne dd+(mm/60)+(ss.ss/3600).

Ce format d'entrée en base 60 permet :‑

d'entrer un angle en degrés/minutes/secondes quel que soit le mode angulaire utilisé.
d'entrer un temps exprimé en heures/minutes/secondes.

Remarque : faites suivre ss.ss de deux apostrophes ('') et non de guillemets (").

En mode Angle en degrés :

± (angle)

[Rayon,±q_Angle]Þvecteur

(entrée polaire)

[Rayon,±q_Angle,Valeur_Z]Þvecteur

(entrée cylindrique)

[Rayon,±q_Angle,±q_Angle]Þvecteur

(entrée sphérique)

Donne les coordonnées sous forme de vecteur, suivant le réglage du mode Format Vecteur : rectangulaire, cylindrique ou sphérique.

Remarque : vous pouvez insérer ce symbole à partir du clavier de l'ordinateur en entrant @<.

En mode Angle en radians et avec le Format vecteur réglé sur :

rectangulaire

 

cylindrique

 

sphérique

(Grandeur ± Angle)ÞvaleurComplexe

(entrée polaire)

Saisit une valeur complexe en coordonnées polaires (r±q). L'Angle est interprété suivant le mode Angle sélectionné.

En mode Angle en radians et en mode Format complexe Rectangulaire :

 

Remarque: Pour afficher un résultat approximatif,

Unité : Appuyez sur / ·.
Windows® : Appuyez sur Ctrl+Entrée.
Macintosh® : Appuyez sur +Entrée.
iPad® : Maintenez la touche Entrée enfoncée et sélectionnez .

' (guillemets)

variable '

variable ''

Saisit le symbole prime dans une équation différentielle. Ce symbole caractérise une équation différentielle du premier ordre ; deux symboles prime, une équation différentielle du deuxième ordre, et ainsi de suite.

_ (trait bas considéré comme élément vide)

 

 

_ (trait bas considéré comme unité)

Expr_Unité

Indique l'unité d'une Expr. Tous les noms d'unités doivent commencer par un trait de soulignement.

Il est possible d'utiliser les unités prédéfinies ou de créer des unités personnalisées. Pour obtenir la liste des unités prédéfinies, ouvrez le Catalogue et affichez l'onglet Conversion d'unité. Vous pouvez sélectionner les noms d'unités dans le Catalogue ou les taper directement.

Remarque : vous pouvez trouver le symbole de conversion, 4, dans le Catalogue. Cliquez sur , puis sur Opérateurs mathématiques.

Variable_

Si Variable n'a pas de valeur, elle est considérée comme représentant un nombre complexe. Par défaut, sans _, la variable est considérée comme réelle.

Si Variable a une valeur, _ est ignoré et Variable conserve son type de données initial.

Remarque : vous pouvez stocker un nombre complexe dans une variable sans utiliser _. Toutefois, pour optimiser les résultats dans des calculs tels que cSolve() et cZeros(), l'utilisation de _ est recommandée.

En supposant que z est une variable non définie :

4 (conversion)

Expr_Unité1 4 _Unité2ÞExpr_Unité2

Convertit l'unité d'une expression.

Le trait bas de soulignement _ indique les unités. Les unités doivent être de la même catégorie, comme Longueur ou Aire.

Pour obtenir la liste des unités prédéfinies, ouvrez le Catalogue et affichez l'onglet Conversion d'unité :

Vous pouvez sélectionner un nom d'unité dans la liste.
Vous pouvez sélectionner l'opérateur de conversion, 4, en haut de la liste.

Il est également possible de saisir manuellement les noms d'unités. Pour saisir « _ » lors de l'entrée des noms d'unités sur la calculatrice, appuyez sur /_.

Remarque : pour convertir des unités de température, utilisez tmpCnv() et @tmpCnv(). L'opérateur de conversion 4 ne gère pas les unités de température.

10^()

10^ (Expr1)Þexpression

10^ (Liste1)Þliste

Donne 10 élevé à la puissance de l'argument.

Dans le cas d'une liste, donne 10 élevé à la puissance des éléments de Liste1.

10^(matriceCarrée1)ÞmatriceCarrée

Donne 10 élevé à la puissance de matriceCarrée1. Ce calcul est différent du calcul de 10 élevé à la puissance de chaque élément. Pour plus d'informations sur la méthode de calcul, reportez-vous à cos().

matriceCarrée1 doit être diagonalisable. Le résultat contient toujours des chiffres en virgule flottante.

^/ (inverse)

Expr1 ^/Þexpression

Liste1 ^/Þliste

Donne l'inverse de l'argument.

Dans le cas d'une liste, donne la liste des inverses des éléments de Liste1.

matriceCarrée1 ^/ÞmatriceCarrée

Donne l'inverse de matriceCarrée1.

matriceCarrée1 doit être une matrice carrée non singulière.

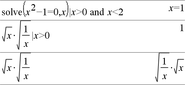
| (opérateur "sachant que")

Expr | ExprBooléen1 [andExprBooléen2]...

Expr | ExprBooléen1 [orExprBooléen2]...

Le symbole (« | ») est utilisé comme opérateur binaire. L'opérande à gauche du symbole | est une expression. L'opérande à droite du symbole | spécifie une ou plusieurs relations destinées à affecter la simplification de l'expression. Plusieurs relations après le symbole | peuvent être reliées au moyen d'opérateurs logiques « and » ou « or ».

L'opérateur "sachant que" fournit trois types de fonctionnalités de base :

Substitutions
Contraintes d'intervalle
Exclusions

Les substitutions se présentent sous la forme d'une égalité, telle que x=3 ou y=sin(x). Pour de meilleurs résultats, la partie gauche doit être une variable simple. Expr | Variable = valeur substituera une valeur à chaque occurrence de Variable dans Expr.

Les contraintes d'intervalle se présentent sous la forme d'une ou plusieurs inéquations reliées par des opérateurs logiques « and » ou « or ». Les contraintes d'intervalle permettent également la simplification qui autrement pourrait ne pas être valide ou calculable.

Les exclusions utilisent l'opérateur « différent de » (/= ou ƒ) pour exclure une valeur spécifique du calcul. Elles servent principalement à exclure une solution exacte lors de l'utilisation de cSolve(), cZeros(), fMax(), fMin(), solve(), zeros() et ainsi de suite.

& (stocker)

Expr & Var

Liste& Var

Matrice & Var

Expr & Fonction(Param1,...)

Liste & Fonction(Param1,...)

Matrice & Fonction(Param1,...)

Si la variable Var n'existe pas, celle-ci est créée par cette instruction et est initialisée à Expr, Liste ou Matrice.

Si Var existe déjà et n'est pas verrouillée ou protégée, son contenu est remplacé par Expr, Liste ou Matrice.

Conseil : si vous envisagez d'effectuer des calculs symboliques en utilisant des variables non définies, ne stockez aucune valeur dans les variables communément utilisées à une lettre, telles que a, b, c, x, y, z, et ainsi de suite.

Remarque : vous pouvez insérer cet opérateur à partir du clavier de l'ordinateur en entrant =: comme un raccourci. Par exemple, tapez pi/4 =: Mavar.

:= (assigner)

Var := Expr

Var := Liste

Var := Matrice

Fonction(Param1,...) := Expr

Fonction(Param1,...) := Liste

Fonction(Param1,...) := Matrice

Si la variable Var n'existe pas, celle-ci est créée par cette instruction et est initialisée à Expr, Liste ou Matrice.

Si Var existe déjà et n'est pas verrouillée ou protégée, son contenu est remplacé par Expr, Liste ou Matrice.

Conseil : si vous envisagez d'effectuer des calculs symboliques en utilisant des variables non définies, ne stockez aucune valeur dans les variables communément utilisées à une lettre, telles que a, b, c, x, y, z, et ainsi de suite.

© (commentaire)

© [texte]

© traite texte comme une ligne de commentaire, vous permettant d'annoter les fonctions et les programmes que vous créez.

© peut être utilisé au début ou n'importe où dans la ligne. Tous les caractères situés à droite de ©, jusqu'à la fin de la ligne, sont considérés comme partie intégrante du commentaire.

Remarque pour la saisie des données de l’exemple : Pour obtenir des instructions sur la saisie des définitions de fonction ou de programme sur plusieurs lignes, consultez la section relative à la calculatrice dans votre guide de produit.

0b, 0h

0b nombreBinaire

0h nombreHexadécimal

Indique un nombre binaire ou hexadécimal, respectivement. Pour entrer un nombre binaire ou hexadécimal, vous devez utiliser respectivement le préfixe 0b ou 0h, quel que soit le mode Base utilisé. Un nombre sans préfixe est considéré comme décimal (base 10).

Le résultat est affiché en fonction du mode Base utilisé.

En mode base Dec :

 

En mode base Bin :

 

En mode base Hex :