Sie befinden sich hier: TI‑Nspire™ Technology CX CAS Reference Guide > Alphabetische Auflistung > S

S

sec() (Sekans)

sec(Ausdr1) Þ Ausdruck

sec(Liste1) Þ Liste

Gibt den Sekans von Ausdr1 oder eine Liste der Sekans aller Elemente in Liste1 zurück.

Hinweis: Der als Argument angegebene Winkel wird gemäß der aktuellen Winkelmoduseinstellung als Grad, Neugrad oder Bogenmaß interpretiert. Sie können ¡g oder R benutzen, um den Winkelmodus vorübergend aufzuheben.

Im Grad-Modus:

sec/() (Arkussekans)

sec/(Ausdr1) Þ Ausdruck

sec/(Liste1) Þ Liste

Gibt entweder den Winkel, dessen Sekans Ausdr1 entspricht, oder eine Liste der inversen Sekans aller Elemente in Liste1 zurück.

Hinweis: Das Ergebnis wird gemäß der aktuellen Winkelmoduseinstellung in Grad, in Neugrad oder im Bogenmaß zurückgegeben.

Hinweis: Sie können diese Funktion über die Tastatur Ihres Computers eingeben, indem Sie arcsec(...) eintippen.

Im Grad-Modus:

 

Im Neugrad-Modus:

 

Im Bogenmaß-Modus:

sech() (Sekans hyperbolicus)

sech(Ausdr1) Þ Ausdruck

sech(Liste1) Þ Liste

Gibt den hyperbolischen Sekans von Ausdr1 oder eine Liste der hyperbolischen Sekans der Elemente in Liste1 zurück.

sech/() (Arkussekans hyperbolicus)

sech/(Ausdr1) Þ Ausdruck

sech/ (Liste1) Þ Liste

Gibt den inversen hyperbolischen Sekans von Ausdr1 oder eine Liste der inversen hyperbolischen Sekans aller Elemente in Liste1 zurück.

Hinweis: Sie können diese Funktion über die Tastatur Ihres Computers eingeben, indem Sie arcsech(...) eintippen.

Im Winkelmodus Bogenmaß und Komplex-Formatmodus “kartesisch”:

Send 

Send exprOrString1[, exprOrString2] ...

Programmierbefehl: Sendet einen oder mehrere TI‑Innovator™ Hub Befehle an den verbundenen Hub.

exprOrString muss ein gültiger TI‑Innovator™ Hub Befehl sein. Normalerweise enthält exprOrString einen Befehl "SET ..." zum Steuern eines Geräts oder einen Befehl "READ ..." zum Anfordern von Daten.

Die Argumente werden hintereinander an den Hub gesendet.

Hinweis: Sie können den BefehlSend in einem benutzerdefinierten Programm, aber nicht in einer Funktion verwenden.

Hinweis: Siehe auch Get (hier), GetStr (hier) und eval() (hier).

Beispiel: Schalten Sie das blaue Element der integrierten RGB LED 0,5 Sekunden lang ein.

Beispiel: Fordern Sie den aktuellen Wert des integrierten Lichtpegelsensors des Hub an. Ein Befehl Get ruft den Wert ab und weist ihn der Variablen lightval zu.

Beispiel: Senden Sie eine berechnete Frequenz an den integrierten Lautsprecher des Hub. Verwenden Sie die spezielle Variable iostr.SendAns, um den Hub-Befehl mit dem ausgewerteten Ausdruck anzuzeigen.

seq() (Folge)

seq(Ausdr, Var, Von, Bis[, Schritt])ÞListe

Erhöht Var in durch Schritt festgelegten Stufen von Von bis Bis, wertet Ausdr aus und gibt die Ergebnisse als Liste zurück. Der ursprüngliche Inhalt von Var ist nach Beendigung von seq() weiterhin vorhanden.

Der Vorgabewert für Schritt ist 1.

Hinweis: Erzwingen eines Näherungsergebnisses,

Handheld: Drücken Sie / ·.
Windows®: Drücken Sie Strg+Eingabetaste.
Macintosh®: Drücken +Eingabetaste.
iPad®: Halten Sie die Eingabetaste gedrückt und wählen Sie aus.

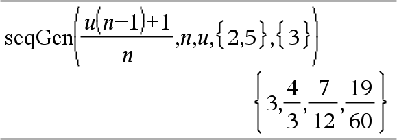
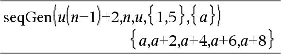
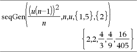
seqGen()

seqGen(Ausdr, Var, abhVar, {Var0, VarMax}[, ListeAnfTerme [, VarSchritt [, ObergrWert]]]) ÞListe

Generiert eine Term-Liste für die Folge abhVar(Var)=Ausdr wie folgt: Erhöht die unabhängige Variable Var von Var0 bis VarMax um VarSchritt, wertet abhVar(Var) für die entsprechenden Werte von Var mithilfe der Formel Ausdr und der ListeAnfTerme aus und gibt die Ergebnisse als Liste zurück.

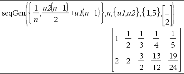
seqGen(SystemListeOderAusdr, Var, ListeAbhVar, {Var0, VarMax} [, MatrixAnfTerme [, VarSchritt [, ObergrWert]]]) ÞMatrix

Generiert eine Term-Matrix für ein System (oder eine Liste) von Folgen ListeAbhVar(Var)=SystemListeOderAusdr wie folgt: Erhöht die unabhängige Variable Var von Var0 bis VarMax um VarSchritt, wertet ListeAbhVar(Var) für die entsprechenden Werte von Var mithilfe der Formel SystemListeOderAusdr und der MatrixAnfTerme aus und gibt die Ergebnisse als Matrix zurück.

Der ursprüngliche Inhalt von Var ist nach Beendigung von seqGen() weiterhin vorhanden.

Der Standardwert für VarSchritt ist 1.

Generieren Sie die ersten 5 Terme der Folge u(n) = u(n-1)2/2 mit u(1)=2 und VarSchritt=1.

 

Beispiel mit Var0=2:

 

Beispiel, in dem der Anfangsterm symbolisch ist:

System zweiter Folgen:

Hinweis: Die Lücke (_) in der oben aufgeführten Anfangsterm-Matrix zeigt an, dass der Anfangsterm für u1(n) mit der expliziten Folge-Formel u1(n)=1/n berechnet wird.

seqn()

seqn(Ausdr(u, n [, ListeAnfTerme[, nMax [, ObergrWert]]])ÞListe

Generiert eine Term-Liste für eine Folge u(n)=Ausdr(u, n) wie folgt: Erhöht n von 1 bis nMax um 1, wertet u(n) für die entsprechenden Werte von n mithilfe der Formel Ausdr(u, n) und ListeAnfTerme aus und gibt die Ergebnisse als Liste zurück.

seqn(Ausdr(n [, nMax [, ObergrWert]])ÞListe

Generiert eine Term-Liste für eine nichtrekursive Folge u(n)=Ausdr(n) wie folgt: Erhöht n von 1 bis nMax um 1, wertet u(n) für die entsprechenden Werte von n mithilfe der Formel Ausdr(n) aus und gibt die Ergebnisse als Liste zurück.

Wenn nMax fehlt, wird nMax auf 2500 gesetzt

Wenn nMax=0, wird nMax auf 2500 gesetzt

Hinweis: seqn() gibt seqGen( ) mit n0=1 und nSchritt =1 an

Generieren Sie die ersten 6 Terme der Folge u(n) = u(n-1)/2 mit u(1)=2.

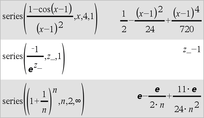
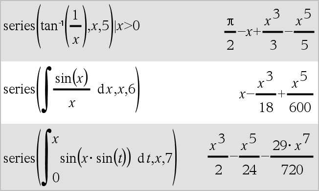
series()

series(Expr1, Var, Order [, Point])ÞAusdruck

series(Expr1, Var, Order [, Point]) | Var>PointÞAusdruck

series(Expr1, Var, Order [, Point]) | Var<PointÞAusdruck

 

Gibt eine verallgemeinerte endliche Potenzreihe von Expr1 entwickelt um Point bis Grad Order zurück. Order kann jede beliebige rationale Zahl sein. Die resultierenden Potenzen von (Var N Point) können negative und/oder Bruchexponenten beinhalten. Die Koeffizienten dieser Potenzen können Logarithmen von (Var N Point) und andere Funktionen von Var beinhalten, die von allen Potenzen von (Var N Point) mit demselben Exponentenzeichen dominiert werden.

Point ist vorgegeben als 0. Point kann ˆ oder sein; in diesen Fällen ist die Entwicklung durch Grad Order in 1/(Var N Point).

series(...) gibt “series(...)” zurück, wenn sie keine Darstellung bestimmen kann wie für wesentliche Singularitäten wie z.B. sin(1/z) bei z=0, eN1/z bei z=0 oder ez bei z = ˆ oder .

Wenn die Reihe oder eine ihrer Ableitungen eine Sprungstelle bei Point hat, enthält das Ergebnis wahrscheinlich Unterausdrücke der Form sign(…) oder abs(…) für eine reelle Expansionsvariable oder (-1)floor(…angle(…)…) für eine komplexe Expansionsvariable, die mit “_” endet. Wenn Sie die Folge nur für Werte auf einer Seite von Point verwenden möchten, hängen Sie je nach Bedarf “| Var > Point”, “| Var < Point”, “| “Var | Point” oder “Var { Point” an, um ein einfacheres Ergebnis zu erhalten.

series() kann symbolische Approximationen für unbestimmte Integrale und bestimmte Integrale bereitstellen, für die anders keine symbolischen Lösungen erreicht werden können.

series() wird über Listen und Matrizen mit erstem Argument verteilt.

series() ist eine verallgemeinerte Version von taylor().

Wie im letzten nebenstehenden Beispiel demonstriert, können die Anzeigeroutinen hinter dem von series(...) erzeugten Ergebnis Terme so umstellen, dass der dominante Term nicht ganz links steht.

Hinweis: Siehe auch dominantTerm(), hier.

setMode

setMode(ModusNameGanzzahl, GanzzahlFestlegen) ÞGanzzahl

setMode(Liste) ÞListe mit ganzen Zahlen

Nur gültig innerhalb einer Funktion oder eines Programms.

setMode(ModusNameGanzzahl, GanzzahlFestlegen) schaltet den Modus ModusNameGanzzahl vorübergehend in GanzzahlFestlegen und gibt eine ganze Zahl entsprechend der ursprünglichen Einstellung dieses Modus zurück. Die Änderung ist auf die Dauer der Ausführung des Programms / der Funktion begrenzt.

ModusNameGanzzahl gibt an, welchen Modus Sie einstellen möchten. Hierbei muss es sich um eine der Modus-Ganzzahlen aus der nachstehenden Tabelle handeln.

GanzzahlFestlegen gibt die neue Einstellung für den Modus an. Für den Modus, den Sie festlegen, müssen Sie eine der in der nachstehenden Tabelle aufgeführten Einstellungs-Ganzzahlen verwenden.

setMode(Liste) dient zum Ändern mehrerer Einstellungen. Liste enthält Paare von Modus- und Einstellungs-Ganzzahlen. setMode(Liste) gibt eine ähnliche Liste zurück, deren Ganzzahlen-Paare die ursprünglichen Modi und Einstellungen angeben.

Wenn Sie alle Moduseinstellungen mit getMode(0) & var gespeichert haben, können Sie setMode(var) verwenden, um diese Einstellungen wiederherzustellen, bis die Funktion oder das Programm beendet wird. Siehe getMode(), hier.

Hinweis: Die aktuellen Moduseinstellungen werden an aufgerufene Subroutinen weitergegeben. Wenn eine der Subroutinen eine Moduseinstellung ändert, geht diese Modusänderung verloren, wenn die Steuerung zur aufrufenden Routine zurückkehrt.

Hinweis zum Eingeben des Beispiels: Anweisungen für die Eingabe von mehrzeiligen Programm- und Funktionsdefinitionen finden Sie im Abschnitt „Calculator“ des Produkthandbuchs.

Zeigen Sie den Näherungswert von pan, indem Sie die Standardeinstellung für Zahlen anzeigen (Display Digits) verwenden, und zeigen Sie dann p mit einer Einstellung von Fix 2 an. Kontrollieren Sie, dass der Standardwert nach Beendigung des Programms wiederhergestellt wird.

Modus

Name

Modus

Ganzzahl

 

Einstellen von Ganzzahlen

Angezeigte Ziffern

1

1=Fließ, 2=Fließ 1, 3=Fließ 2, 4=Fließ 3, 5=Fließ 4, 6=Fließ 5, 7=Fließ 6, 8=Fließ 7, 9=Fließ 8, 10=Fließ 9, 11=Fließ 10, 12=Fließ 11, 13=Fließ 12, 14=Fix 0, 15=Fix 1, 16=Fix 2, 17=Fix 3, 18=Fix 4, 19=Fix 5, 20=Fix 6, 21=Fix 7, 22=Fix 8, 23=Fix 9, 24=Fix 10, 25=Fix 11, 26=Fix 12

Winkel

2

1=Bogenmaß, 2=Grad, 3=Neugrad

Exponentialformat

3

1=Normal, 2=Wissenschaftlich, 3=Technisch

Reell oder komplex

4

1=Reell, 2=Kartesisch, 3=Polar

Auto oder Approx.

5

1=Auto, 2=Approximiert, 3=Exakt

Vektorformat

6

1=Kartesisch, 2=Zylindrisch, 3=Sphärisch

Basis

7

1=Dezimal, 2=Hex, 3=Binär

Einheitensystem

8

1=SI, 2=Eng/US

shift() (Verschieben)

shift(Ganzzahl1[,#Verschiebungen])ÞGanzzahl

Verschiebt die Bits in einer binären ganzen Zahl. Ganzzahl1 kann mit jeder Basis eingegeben werden und wird automatisch in eine 64-Bit-Dualform konvertiert. Ist der Absolutwert von Ganzzahl1 für diese Form zu groß, wird eine symmetrische Modulo-Operation ausgeführt, um sie in den erforderlichen Bereich zu bringen. Weitere Informationen finden Sie unter 4Base2, hier.

Ist #Verschiebungen positiv, erfolgt die Verschiebung nach links. ist #Verschiebungen negativ, erfolgt die Verschiebung nach rechts. Vorgabe ist L1 (ein Bit nach rechts verschieben).

In einer Rechtsverschiebung wird das ganz rechts stehende Bit abgeschnitten und als ganz links stehendes Bit eine 0 oder 1 eingesetzt. Bei einer Linksverschiebung wird das Bit ganz links abgeschnitten und 0 als letztes Bit rechts eingesetzt.

Beispielsweise in einer Rechtsverschiebung:

Alle Bits werden nach rechts verschoben.

0b0000000000000111101011000011010

Setzt 0 ein, wenn Bit ganz links 0 ist, und 1, wenn Bit ganz links 1 ist.

Es ergibt sich:

0b00000000000000111101011000011010

Das Ergebnis wird gemäß dem jeweiligen Basis-Modus angezeigt. Führende Nullen werden nicht angezeigt.

Im Bin-Modus:

 

Im Hex-Modus:

Wichtig: Geben Sie eine Dual- oder Hexadezimalzahl stets mit dem Präfix 0b bzw. 0h ein (Null, nicht der Buchstabe O).

shift(Liste1 [,#Verschiebungen])ÞListe

Gibt eine um #Verschiebungen Elemente nach rechts oder links verschobene Kopie von Liste1 zurück. Verändert Liste1 nicht.

Ist #Verschiebungen positiv, erfolgt die Verschiebung nach links. ist #Verschiebungen negativ, erfolgt die Verschiebung nach rechts. Vorgabe ist L1 (ein Element nach rechts verschieben).

Dadurch eingeführte neue Elemente am Anfang bzw. am Ende von Liste werden auf “undef” gesetzt.

Im Dec-Modus:

shift(String1 [,#Verschiebungen])ÞString

Gibt eine um #Verschiebungen Zeichen nach rechts oder links verschobene Kopie von Liste1 zurück. Verändert String1 nicht.

Ist #Verschiebungen positiv, erfolgt die Verschiebung nach links. ist #Verschiebungen negativ, erfolgt die Verschiebung nach rechts. Vorgabe ist L1 (ein Zeichen nach rechts verschieben).

Dadurch eingeführte neue Zeichen am Anfang bzw. am Ende von String werden auf ein Leerzeichen gesetzt.

sign() (Zeichen)

sign(Ausdr1)ÞAusdruck

sign(Liste1)ÞListe

sign(Matrix1)ÞMatrix

Gibt für reelle und komplexe Ausdr1 Ausdr1/abs(Ausdr1) zurück, wenn Ausdr1ƒ 0.

Gibt 1 zurück, wenn Ausdr1 positiv ist.

Gibt L 1 zurück, wenn Ausdr1 negativ ist.

sign(0) gibt 1 zurück, wenn als Komplex-Formatmodus Reell eingestellt ist; anderenfalls gibt es sich selbst zurück.

sign(0) stellt im komplexen Bereich den Einheitskreis dar.

Gibt für jedes Element einer Liste bzw. Matrix das Vorzeichen zurück.

 

Bei Komplex-Formatmodus Reell:

simult() (Gleichungssystem)

simult(KoeffMatrix, KonstVektor[, Tol])ÞMatrix

Ergibt einen Spaltenvektor, der die Lösungen für ein lineares Gleichungssystem enthält.

Hinweis: Siehe auch linSolve(), hier.

KoeffMatrix muss eine quadratische Matrix sein, die die Koeffizienten der Gleichung enthält.

KonstVektor muss die gleiche Zeilenanzahl (gleiche Dimension) besitzen wie KoeffMatrix und die Konstanten enthalten.

Sie haben die Option, dass jedes Matrixelement als Null behandelt wird, wenn dessen absoluter Wert geringer als Tol ist. Diese Toleranz wird nur dann verwendet, wenn die Matrix Fließkommaelemente aufweist und keinerlei symbolische Variablen ohne zugewiesene Werte enthält. Anderenfalls wird Tol ignoriert.

Wenn Sie den Modus Auto oder Näherung auf Approximiert einstellen, werden Berechnungen in Fließkomma-Arithmetik durchgeführt.
Wird Tol weggelassen oder nicht verwendet, so wird die Standardtoleranz folgendermaßen berechnet:
5EL14 ·max(dim(KoeffMatrix)) ·rowNorm(KoeffMatrix)

Auflösen nach x und y:

x + 2y = 1

3x + 4y = L1

Die Lösung ist x=L3 und y=2.

 

Auflösen:

ax + by = 1

cx + dy = 2

simult(KoeffMatrix, KonstMatrix[, Tol])ÞMatrix

Löst mehrere lineare Gleichungssysteme, die alle dieselben Gleichungskoeffizienten, aber unterschiedliche Konstanten haben.

Jede Spalte in KonstMatrix muss die Konstanten für ein Gleichungssystem enthalten. Jede Spalte in der sich ergebenden Matrix enthält die Lösung für das entsprechende System.

Auflösen:

  x + 2y = 1

3x + 4y = L1

 

  x + 2y = 2

3x + 4y = L3

Für das erste System ist x=L3 und y=2. Für das zweite System ist x=L7 und y=9/2.

4sin

Ausdr 4sin

Hinweis: Sie können diesen Operator über die Tastatur Ihres Computers eingeben, indem Sie @>sin eintippen.

Drückt Ausdr durch Sinus aus. Dies ist ein Anzeigeumwandlungsoperator. Er kann nur am Ende der Eingabezeile verwendet werden.

4sin reduziert alle Potenzen von cos(...) modulo 1Nsin(...)^2, so dass alle verbleibenden Potenzen von sin(...) Exponenten im Bereich (0, 2) haben. Deshalb enthält das Ergebnis dann und nur dann kein cos(...), wenn cos(...) im gegebenen Ausdruck nur bei geraden Potenzen auftritt.

Hinweis: Dieser Umrechnungsoperator wird im Winkelmodus Grad oder Neugrad (Gon) nicht unterstützt. Bevor Sie ihn verwenden, müssen Sie sicherstellen, dass der Winkelmodus auf Radian eingestellt ist und Ausdr keine expliziten Verweise auf Winkel in Grad oder Neugrad enthält.

 

 

sin() (Sinus)

sin(Ausdr1)ÞAusdruck

sin(Liste1)ÞListe

sin(Ausdr1) gibt den Sinus des Arguments als Ausdruck zurück.

sin(Liste1) gibt eine Liste zurück, die für jedes Element von Liste1 den Sinus enthält.

Hinweis: Das Argument wird entsprechend dem aktuellen Winkelmodus als Winkel in Grad, Neugrad oder Bogenmaß interpretiert. Sie können ¡,G oder R benutzen, um die Winkelmoduseinstellung temporär zu ändern.

Im Grad-Modus:

 

Im Neugrad-Modus:

 

Im Bogenmaß-Modus:

sin(Quadratmatrix1)ÞQuadratmatrix

Gibt den Matrix-Sinus von Quadratmatrix1 zurück. Dies ist nicht gleichbedeutend mit der Berechnung des Sinus jedes einzelnen Elements. Näheres zur Berechnungsmethode finden Sie im Abschnitt cos().

Quadratmatrix1 muss diagonalisierbar sein. Das Ergebnis enthält immer Fließkommazahlen.

Im Bogenmaß-Modus:

sin/() (Arkussinus)

sin/(Ausdr1)ÞAusdruck

sin/(Liste1)ÞListe

sin/(Ausdr1) gibt den Winkel, dessen Sinus Ausdr1 ist, als Ausdruck zurück.

sin/(Liste1) gibt in Form einer Liste für jedes Element aus Liste1 den inversen Sinus zurück.

Hinweis: Das Ergebnis wird gemäß der aktuellen Winkelmoduseinstellung in Grad, in Neugrad oder im Bogenmaß zurückgegeben.

Hinweis: Sie können diese Funktion über die Tastatur Ihres Computers eingeben, indem Sie arcsin(...) eintippen.

Im Grad-Modus:

 

Im Neugrad-Modus:

 

Im Bogenmaß-Modus:

sin/(Quadratmatrix1)ÞQuadratmatrix

Gibt den inversen Matrix-Sinus von Quadratmatrix1 zurück. Dies ist nicht gleichbedeutend mit der Berechnung des inversen Sinus jedes einzelnen Elements. Näheres zur Berechnungsmethode finden Sie im Abschnitt cos().

Quadratmatrix1 muss diagonalisierbar sein. Das Ergebnis enthält immer Fließkommazahlen.

Im Winkelmodus Bogenmaß und Komplex-Formatmodus “kartesisch”:

sinh() (Sinus hyperbolicus)

sinh(Ausdr1)ÞAusdruck

sinh(Liste1)ÞListe

sinh (Ausdr1) gibt den Sinus hyperbolicus des Arguments als Ausdruck zurück.

sinh (Liste1) gibt in Form einer Liste für jedes Element aus Liste1 den Sinus hyperbolicus zurück.

sinh(Quadratmatrix1)ÞQuadratmatrix

Gibt den Matrix-Sinus hyperbolicus von Quadratmatrix1 zurück. Dies ist nicht gleichbedeutend mit der Berechnung des Sinus hyperbolicus jedes einzelnen Elements. Näheres zur Berechnungsmethode finden Sie im Abschnitt cos().

Quadratmatrix1 muss diagonalisierbar sein. Das Ergebnis enthält immer Fließkommazahlen.

Im Bogenmaß-Modus:

sinh/() (Arkussinus hyperbolicus)

sinh/(Ausdr1)ÞAusdruck

sinh/(Liste1)ÞListe

sinh/(Ausdr1) gibt den inversen Sinus hyperbolicus des Arguments als Ausdruck zurück.

sinh/(Liste1) gibt in Form einer Liste für jedes Element ausListe1 den inversen Sinus hyperbolicus zurück.

Hinweis: Sie können diese Funktion über die Tastatur Ihres Computers eingeben, indem Sie arcsinh(...) eintippen.

sinh/(Quadratmatrix1)ÞQuadratmatrix

Gibt den inversen Matrix-Sinus hyperbolicus von Quadratmatrix1 zurück. Dies ist nicht gleichbedeutend mit der Berechnung des inversen Sinus hyperbolicus jedes einzelnen Elements. Näheres zur Berechnungsmethode finden Sie im Abschnitt cos().

Quadratmatrix1 muss diagonalisierbar sein. Das Ergebnis enthält immer Fließkommazahlen.

Im Bogenmaß-Modus:

SinReg

SinReg X, Y [, [Iterationen],[ Periode] [, Kategorie, Mit] ]

Berechnet die sinusförmige Regression auf Listen X und Y. Eine Zusammenfassung der Ergebnisse wird in der Variablen stat.results gespeichert. (hier.)

Alle Listen außer Mit müssen die gleiche Dimension besitzen.

X und Y sind Listen von unabhängigen und abhängigen Variablen.

Iterationen ist ein Wert, der angibt, wie viele Lösungsversuche (1 bis 16) maximal unternommen werden. Bei Auslassung wird 8 verwendet. Größere Werte führen in der Regel zu höherer Genauigkeit, aber auch zu längeren Ausführungszeiten, und umgekehrt.

Periode gibt eine geschätzte Periode an. Bei Auslassung sollten die Werte in X sequentiell angeordnet und die Differenzen zwischen ihnen gleich sein. Wenn Sie Periode jedoch angeben, können die Differenzen zwischen den einzelnen x-Werten ungleich sein.

Kategorie ist eine Liste von Kategoriecodes für die entsprechenden X und Y Daten.

Mit ist eine Liste von einem oder mehreren Kategoriecodes. Nur solche Datenelemente, deren Kategoriecode in dieser Liste enthalten ist, sind in der Berechnung enthalten.

Die Ausgabe von SinReg erfolgt unabhängig von der Winkelmoduseinstellung immer im Bogenmaß (rad).

Informationen zu den Auswirkungen leerer Elemente in einer Liste finden Sie unter “Leere (ungültige) Elemente” (hier).

 

Ausgabevariable

Beschreibung

stat.RegEqn

Regressionsgleichung: a·sin(bx+c)+d

stat.a, stat.b, stat.c, stat.d

Regressionskoeffizienten

stat.Resid

Residuen von der Regression

stat.XReg

Liste der Datenpunkte in der modifizierten X-Liste, die in der Regression mit den Beschränkungen für Häuf, Kategorieliste und Mit-Kategorien verwendet wurde

stat.YReg

Liste der Datenpunkte in der modifizierten Y-Liste, die schließlich in der Regression mit den Beschränkungen für Häuf, Kategorieliste und Mit-Kategorien verwendet wurde

stat.FreqReg

Liste der Häufigkeiten für stat.XReg und stat.YReg

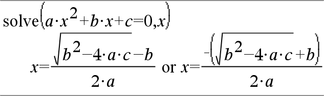
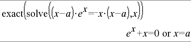
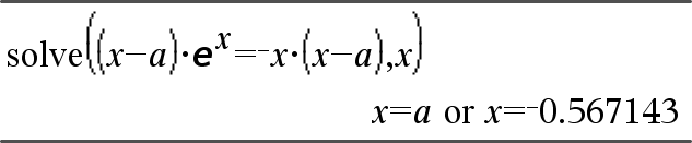
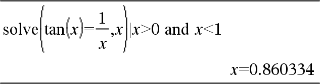
solve() (Löse)

solve(Gleichung, Var)ÞBoolescher Ausdruck

solve(Gleichung, Var=Schätzwert)ÞBoolescher Ausdruck

solve(Ungleichung, Var)ÞBoolescher Ausdruck

Gibt mögliche reelle Lösungen einer Gleichung oder Ungleichung für Var zurück. Das Ziel ist, Kandidaten für alle Lösungen zu erhalten. Es kann jedoch Gleichungen oder Ungleichungen geben, für die es eine unendliche Anzahl von Lösungen gibt.

Für manche Wertekombinationen undefinierter Variablen kann es sein, dass mögliche Lösungen nicht reell und endlich sind.

Ist der Modus Auto oder Näherung auf Auto eingestellt, ist das Ziel die Ermittlung exakter kompakter Lösungen, wobei ergänzend eine iterative Suche mit Näherungslösungen benutzt wird, wenn exakte Lösungen sich als unpraktisch erweisen.

Da Quotienten standardmäßig mit dem größten gemeinsamen Teiler von Zähler und Nenner gekürzt werden, kann es sein, dass Lösungen nur in den Grenzwerten von einer oder beiden Seiten liegen.

Für Ungleichungen der Typen |, {, < oder > sind explizite Lösungen unwahrscheinlich, es sei denn, die Ungleichung ist linear und enthält nur Var.

Ist der Modus Auto oder Näherung auf Exakt eingestellt, werden nicht lösbare Teile als implizite Gleichung oder Ungleichung zurückgegeben.

Verwenden Sie den womit-Operator „|“ zur Beschränkung des Lösungsintervalls und/oder zur Einschränkung anderer Variablen, die in der Gleichung bzw. Ungleichung vorkommen. Wenn Sie eine Lösung in einem Intervall gefunden haben, können Sie die Ungleichungsoperatoren benutzen, um dieses Intervall aus nachfolgenden Suchläufen auszuschließen.

Im Bogenmaß-Modus:

Wenn keine reellen Lösungen ermittelt werden können, wird “falsch” zurückgegeben. “wahr” wird zurückgegeben, wenn solve() feststellt, dass jeder endliche reelle Wert von Var die Gleichung bzw. Ungleichung erfüllt.

Da solve()stets ein Boolesches Ergebnis liefert, können Sie “and”, “or” und “not” verwenden, um Ergebnisse von solve() miteinander oder mit anderen Booleschen Ausdrücken zu verknüpfen.

Lösungen können eine neue unbestimmte Konstante der Form nj enthalten, wobei j eine ganze Zahl im Intervall 1–255 ist. Eine solche Variable steht für eine beliebige ganze Zahl.

Im Bogenmaß-Modus:

Im reellen Modus zeigen Bruchpotenzen mit ungeradem Nenner nur das reelle Intervall. Ansonsten zeigen zusammengesetzte Ausdrücke wie Bruchpotenzen, Logarithmen und inverse trigonometrische Funktionen nur das Hauptintervall. Demzufolge liefert solve() nur Lösungen, die diesem einen reellen oder Hauptintervall entsprechen.

Hinweis: Siehe auch cSolve(), cZeros(), nSolve() und zeros().

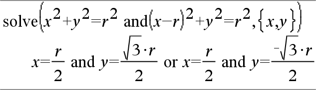
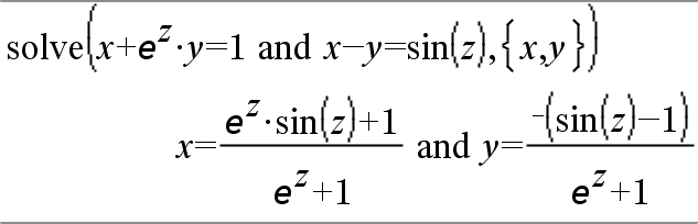
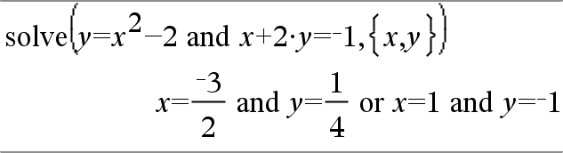
solve(Glch1andGlch2 [and ], VarOderSchätzwert1, VarOderSchätzwert2 [, ])ÞBoolescher Ausdruck

solve(Gleichungssystem, VarOderSchätzwert1, VarOderSchätzwert2 [, ])ÞBoolescher Ausdruck

solve({Glch1, Glch2 [,...]} {VarOderSchätzwert1, VarOderSchätzwert2 [, … ]}) ÞBoolescher Ausdruck

Gibt mögliche reelle Lösungen eines algebraischen Gleichungssystems zurück, in dem jedes Argument VarOderSchätzwert eine Variable darstellt, nach der Sie die Gleichungen auflösen möchten.

Sie können die Gleichungen mit dem Operator and trennen oder mit einer Vorlage aus dem Katalog ein Gleichungssystem eingeben. Die Anzahl derVarOderSchätzwert-Argumente muss der Anzahl der Gleichungen entsprechen. Sie haben die Option, eine Ausgangsschätzung für eine Variable anzugeben. Jedes Argument VarOderSchätzwert muss die folgende Form haben:

Variable

- oder -

Variable = reelle oder nicht-reelle Zahl

Beispiel: x ist gültig und x = 3 ebenfalls.

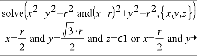
Wenn alle Gleichungen Polynome sind und Sie KEINE Anfangsschätzwerte angeben, dann verwendet solve() das lexikalische Gröbner/Buchbergersche Eliminationsverfahren beim Versuch, alle reellen Lösungen zu bestimmen.

Betrachten wir z.B. einen Kreis mit dem Radius r und dem Ursprung als Mittelpunkt und einen weiteren Kreis mit Radius r und dem Schnittpunkt des ersten Kreises mit der positiven x-Achse als Mittelpunkt. Verwenden Sie solve() zur Bestimmung der Schnittpunkte.

Wie in nebenstehendem Beispiel durch r demonstriert, können Gleichungssysteme zusätzliche Variablen ohne Wert aufweisen, die aber für numerische Werte stehen, welche später eingesetzt werden können.

Sie können auch (oder stattdessen) Lösungsvariablen angeben, die in den Gleichungen nicht erscheinen. Geben Sie zum Beispiel z als eine Lösungsvariable an, um das vorangehende Beispiel auf zwei parallele, sich schneidende Zylinder mit dem Radius r auszudehnen.

Die Zylinder-Lösungen verdeutlichen, dass Lösungsfamilien “beliebige” Konstanten der Form ck, enthalten können, wobei k ein ganzzahliger Index im Bereich 1 bis 255 ist.

Bei Gleichungssystemen aus Polynomen kann die Berechnungsdauer oder Speicherbelastung stark von der Reihenfolge abhängen, in welcher Sie die Lösungsvariablen angeben. Übersteigt Ihre erste Wahl die Speicherkapazität oder Ihre Geduld, versuchen Sie, die Variablen in der Gleichung und/oder VarOderSchätzwert-Liste umzuordnen.

Um das ganze Ergebnis zu sehen, drücken Sie 5 und verwenden dann 7 und 8, um den Cursor zu bewegen.

Wenn Sie keine Schätzwerte angeben und eine Gleichung in einer Variablen nicht-polynomisch ist, aber alle Gleichungen in allen Lösungsvariablen linear sind, so verwendet solve() das Gaußsche Eliminationsverfahren beim Versuch, alle reellen Lösungen zu bestimmen.

Wenn ein System weder in all seinen Variablen polynomial noch in seinen Lösungsvariablen linear ist, dann bestimmt solve() mindestens eine Lösung anhand eines iterativen näherungsweisen Verfahrens. Hierzu muss die Anzahl der Lösungsvariablen gleich der Gleichungsanzahl sein, und alle anderen Variablen in den Gleichungen müssen zu Zahlen vereinfachbar sein.

Um das ganze Ergebnis zu sehen, drücken Sie 5 und verwenden dann 7 und 8, um den Cursor zu bewegen.

Jede Lösungsvariable beginnt bei dem entsprechenden geschätzten Wert, falls vorhanden; ansonsten beginnt sie bei 0,0.

Suchen Sie anhand von Schätzwerten nach einzelnen zusätzlichen Lösungen. Für Konvergenz sollte eine Schätzung ziemlich nahe bei einer Lösung liegen.

SortA (In aufsteigender Reihenfolge sortieren)

SortA Liste1[, Liste2] [, Liste3] ...

SortA Vektor1[, Vektor2] [, Vektor3] ...

Sortiert die Elemente des ersten Arguments in aufsteigender Reihenfolge.

Bei Angabe von mehr als einem Argument werden die Elemente der zusätzlichen Argumente so sortiert, dass ihre neue Position mit der neuen Position der Elemente des ersten Arguments übereinstimmt.

Alle Argumente müssen Listen- oder Vektornamen sein. Alle Argumente müssen die gleiche Dimension besitzen.

Leere (ungültige) Elemente im ersten Argument werden nach unten verschoben. Weitere Informationen zu leeren Elementen finden Sie (hier).

SortD (In absteigender Reihenfolge sortieren)

SortD Liste1[, Liste2] [, Liste3] ...

SortD Vektor1[,Vektor2] [,Vektor3] ...

Identisch mit SortA mit dem Unterschied, dass SortD die Elemente in absteigender Reihenfolge sortiert.

Leere (ungültige) Elemente im ersten Argument werden nach unten verschoben. Weitere Informationen zu leeren Elementen finden Sie (hier).

4Sphere (Kugelkoordinaten)

Vektor 4Sphere

Hinweis: Sie können diesen Operator über die Tastatur Ihres Computers eingeben, indem Sie @>Sphere eintippen.

Zeigt den Zeilen- oder Spaltenvektor in Kugelkoordinaten [r ±q ±f] an.

Vektor muss die Dimension 3 besitzen und kann ein Zeilen- oder ein Spaltenvektor sein.

Hinweis: 4Sphere ist eine Anzeigeformatanweisung, keine Konvertierungsfunktion. Sie können sie nur am Ende einer Eingabezeile benutzen.

Hinweis: Erzwingen eines Näherungsergebnisses,

Handheld: Drücken Sie / ·.
Windows®: Drücken Sie Strg+Eingabetaste.
Macintosh®: Drücken +Eingabetaste.
iPad®: Halten Sie die Eingabetaste gedrückt und wählen Sie aus.

 

Drücken Sie ·.

sqrt() (Quadratwurzel)

sqrt(Ausdr1)ÞAusdruck

sqrt(Liste1)ÞListe

Gibt die Quadratwurzel des Arguments zurück.

Bei einer Liste wird die Quadratwurzel für jedes Element von Liste1 zurückgegeben.

Hinweis: Siehe auch Vorlage Quadratwurzel, hier.

stat.results

stat.results

Zeigt Ergebnisse einer statistischen Berechnung an.

Die Ergebnisse werden als Satz von Namen-Wert-Paaren angezeigt. Die angezeigten Namen hängen von der zuletzt ausgewerteten Statistikfunktion oder dem letzten Befehl ab.

Sie können einen Namen oder einen Wert kopieren und ihn an anderen Positionen einfügen.

 

Hinweis: Definieren Sie nach Möglichkeit keine Variablen, die dieselben Namen haben wie die für die statistische Analyse verwendeten Variablen. In einigen Fällen könnte ein Fehler auftreten. Namen von Variablen, die für die statistische Analyse verwendet werden, sind in der Tabelle unten aufgelistet.

stat.a

stat.AdjR²

stat.b

stat.b0

stat.b1

stat.b2

stat.b3

stat.b4

stat.b5

stat.b6

stat.b7

stat.b8

stat.b9

stat.b10

stat.bList

stat.c²

stat.c

stat.CLower

stat.CLowerList

stat.CompList

stat.CompMatrix

stat.CookDist

stat.CUpper

stat.CUpperList

stat.d

stat.dfDenom

stat.dfBlock

stat.dfCol

stat.dfError

stat.dfInteract

stat.dfReg

stat.dfNumer

stat.dfRow

stat.DW

stat.e

stat.ExpMatrix

stat.F

stat.FBlock

stat.Fcol

stat.FInteract

stat.FreqReg

stat.Frow

stat.Leverage

stat.LowerPred

stat.LowerVal

stat.m

stat.MaxX

stat.MaxY

stat.ME

stat.MedianX

stat.MedianY

stat.MEPred

stat.MinX

stat.MinY

stat.MS

stat.MSBlock

stat.MSCol

stat.MSError

stat.MSInteract

stat.MSReg

stat.MSRow

stat.n

Stat.Ç

stat.Ç1

stat.Ç2

stat.ÇDiff

stat.PList

stat.PVal

stat.PValBlock

stat.PValCol

stat.PValInteract

stat.PValRow

stat.Q1X

stat.Q1Y

stat.Q3X

stat.Q3Y

stat.r

stat.r²

stat.RegEqn

stat.Resid

stat.ResidTrans

stat.sx

stat.sy

stat.sx1

stat.sx2

stat.Gx

stat.G

stat.Gxy

stat.Gy

stat.G

stat.s

stat.SE

stat.SEList

stat.SEPred

stat.sResid

stat.SEslope

stat.sp

stat.SS

stat.SSBlock

stat.SSCol

stat.SSX

stat.SSY

stat.SSError

stat.SSInteract

stat.SSReg

stat.SSRow

stat.tList

stat.UpperPred

stat.UpperVal

stat.v

stat.v1

stat.v2

stat.vDiff

stat.vList

stat.XReg

stat.XVal

stat.XValList

stat.w

stat.y

stat.yList

stat.YReg

Hinweis: Immer, wenn die Applikation 'Lists & Spreadsheet' statistische Ergebnisse berechnet, kopiert sie die Gruppenvariablen “stat.” in eine “stat#.”-Gruppe, wobei # eine automatisch inkrementierte Zahl ist. Damit können Sie vorherige Ergebnisse beibehalten, während mehrere Berechnungen ausgeführt werden.

stat.values

stat.values

Zeigt eine Matrix der Werte an, die für die zuletzt ausgewertete Statistikfunktion oder den letzten Befehl berechnet wurden.

Im Gegensatz zu stat.results lässt stat.values die den Werten zugeordneten Namen aus.

Sie können einen Wert kopieren und ihn an anderen Positionen einfügen.

Siehe stat.results.

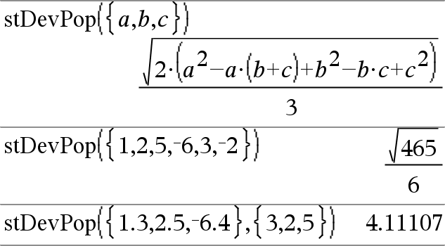
stDevPop() (Populations-Standardabweichung)

stDevPop(Liste[, Häufigkeitsliste])ÞAusdruck

Ergibt die Populations-Standardabweichung der Elemente in Liste.

Jedes Häufigkeitsliste-Element gewichtet die Elemente von Liste in der gegebenen Reihenfolge entsprechend.

Hinweis: Liste muss mindestens zwei Elemente haben. Leere (ungültige) Elemente werden ignoriert. Weitere Informationen zu leeren Elementen finden Sie (hier).

Im Bogenmaß- und automatischen Modus:

stDevPop(Matrix1[, Häufigkeitsmatrix])ÞMatrix

Ergibt einen Zeilenvektor der Populations-Standardabweichungen der Spalten in Matrix1.

Jedes Häufigkeitsmatrix-Element gewichtet die Elemente von Matrix1 in der gegebenen Reihenfolge entsprechend.

Hinweis: Matrix1 muss mindestens zwei Zeilen haben. Leere (ungültige) Elemente werden ignoriert. Weitere Informationen zu leeren Elementen finden Sie (hier).

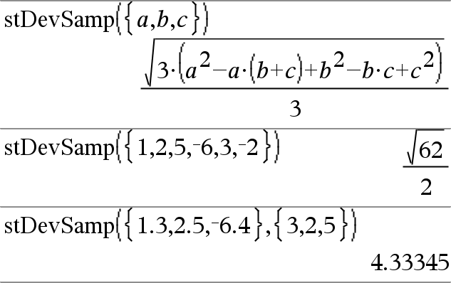
stDevSamp() (Stichproben-Standardabweichung)

stDevSamp(Liste[, Häufigkeitsliste])ÞAusdruck

Ergibt die Stichproben-Standardabweichung der Elemente in Liste.

Jedes Häufigkeitsliste-Element gewichtet die Elemente von Liste in der gegebenen Reihenfolge entsprechend.

Hinweis: Liste muss mindestens zwei Elemente haben. Leere (ungültige) Elemente werden ignoriert. Weitere Informationen zu leeren Elementen finden Sie (hier).

stDevSamp(Matrix1[, Häufigkeitsmatrix])ÞMatrix

Ergibt einen Zeilenvektor der Stichproben-Standardabweichungen der Spalten in Matrix1.

Jedes Häufigkeitsmatrix-Element gewichtet die Elemente von Matrix1 in der gegebenen Reihenfolge entsprechend.

Hinweis: Matrix1 muss mindestens zwei Zeilen haben. Leere (ungültige) Elemente werden ignoriert. Weitere Informationen zu leeren Elementen finden Sie (hier).

Stop (Stopp)

Stop

Programmierbefehl: Beendet das Programm.

Stop ist in Funktionen nicht zulässig.

Hinweis zum Eingeben des Beispiels: Anweisungen für die Eingabe von mehrzeiligen Programm- und Funktionsdefinitionen finden Sie im Abschnitt „Calculator“ des Produkthandbuchs.

Store (Speichern)

 

 

string() (String)

string(Ausdr)ÞString

Vereinfacht Ausdr und gibt das Ergebnis als Zeichenkette zurück.

subMat() (Untermatrix)

subMat(Matrix1[, vonZei] [, vonSpl] [, bisZei] [, bisSpl]) ÞMatrix

Gibt die angegebene Untermatrix von Matrix1 zurück.

Vorgaben: vonZei=1, vonSpl=1, bisZei=letzte Zeile, bisSpl=letzte Spalte.

Summe (Sigma)

 

 

sum() (Summe)

sum(Liste[, Start[, Ende]])ÞAusdruck

Gibt die Summe der Elemente in Liste zurück.

Start und Ende sind optional. Sie geben einen Elementebereich an.

Ein ungültiges Argument erzeugt ein ungültiges Ergebnis. Leere (ungültige) Elemente in Liste werden ignoriert. Weitere Informationen zu leeren Elementen finden Sie (hier).

sum(Matrix1[, Start[, Ende]])ÞMatrix

Gibt einen Zeilenvektor zurück, der die Summen der Elemente aus den Spalten von Matrix1 enthält.

Start und Ende sind optional. Sie geben einen Zeilenbereich an.

Ein ungültiges Argument erzeugt ein ungültiges Ergebnis. Leere (ungültige) Elemente in Matrix1 werden ignoriert. Weitere Informationen zu leeren Elementen finden Sie (hier).

sumIf()

sumIf(Liste,Kriterien[, SummeListe])ÞWert

Gibt die kumulierte Summe aller Elemente in Liste zurück, die die angegebenen Kriterien erfüllen. Optional können Sie eine Alternativliste, SummeListe, angeben, an die die Elemente zum Kumulieren weitergegeben werden sollen.

Liste kann ein Ausdruck, eine Liste oder eine Matrix sein. SummeListe muss, sofern sie verwendet wird, dieselben Dimension(en) haben wie Liste.

Kriterien können sein:

Ein Wert, ein Ausdruck oder eine Zeichenfolge. So kumuliert beispielsweise 34 nur solche Elemente in Liste, die vereinfacht den Wert 34 ergeben.
Ein Boolescher Ausdruck, der das Sonderzeichen ? als Platzhalter für jedes Element verwendet. Beispielsweise zählt ?<10 nur solche Elemente in Liste zusammen, die kleiner als 10 sind.

Wenn ein Element in Liste die Kriterien erfüllt, wird das Element zur Kumulationssumme hinzugerechnet. Wenn Sie SummeListe hinzufügen, wird stattdessen das entsprechende Element aus SummeListe zur Summe hinzugerechnet.

In der Lists & Spreadsheet Applikation können Sie anstelle von Liste und SummeListe auch einen Zellenbereich verwenden.

Leere (ungültige) Elemente werden ignoriert. Weitere Informationen zu leeren Elementen finden Sie (hier).

Hinweis: Siehe auch countIf(), hier.

 

sumSeq()

 

 

system() (System)

system(Ausdr1 [, Ausdr2 [, Ausdr3 [, ...]]])

system(Glch1 [, Glch2 [, Glch3 [, ...]]])

Gibt ein Gleichungssystem zurück, das als Liste formatiert ist. Sie können ein Gleichungssystem auch mit Hilfe einer Vorlage erstellen.

Hinweis: Siehe auch Gleichungssystem, hier.