Sie befinden sich hier: TI‑Nspire™ Technology CX CAS Reference Guide > Sonderzeichen

Sonderzeichen

+ (addieren)

Ausdr1 + Ausdr2ÞAusdruck

Gibt die Summe der beiden Argumente zurück.

Liste1 + Liste2ÞListe

Matrix1 + Matrix2ÞMatrix

Gibt eine Liste (bzw. eine Matrix) zurück, die die Summen der entsprechenden Elemente von Liste1 und Liste2 (oder Matrix1 und Matrix2) enthält.

Die Argumente müssen die gleiche Dimension besitzen.

Ausdr + Liste1ÞListe

Liste1 + AusdrÞListe

Gibt eine Liste zurück, die die Summen von Ausdr plus jedem Element der Liste1 enthält.

Ausdr + Matrix1ÞMatrix

Matrix1 + AusdrÞMatrix

Gibt eine Matrix zurück, in der Ausdr zu jedem Element der Diagonalen von Matrix1 addiert ist. Matrix1 muss eine quadratische Matrix sein.

Hinweis: Verwenden Sie .+ (Punkt Plus) zum Addieren eines Ausdrucks zu jedem Element.

N(subtrahieren)

Ausdr1 N Ausdr2ÞAusdruck

Gibt Ausdr1 minus Ausdr2 zurück.

Liste1 N Liste2ÞListe

Matrix1 N Matrix2ÞMatrix

Subtrahiert die einzelnen Elemente aus Liste2 (oder Matrix2) von denen in Liste1 (oder Matrix1) und gibt die Ergebnisse zurück.

Die Argumente müssen die gleiche Dimension besitzen.

Ausdr N Liste1ÞListe

Liste1 N AusdrÞListe

Subtrahiert jedes Element der Liste1 von Ausdr oder subtrahiert Ausdr von jedem Element der Liste1 und gibt eine Liste der Ergebnisse zurück.

Ausdr N Matrix1ÞMatrix

Matrix1 N AusdrÞMatrix

Ausdr N Matrix1 gibt eine Matrix zurück, die Ausdr multipliziert mit der Einheitsmatrix minus Matrix1 ist. Matrix1 muss eine quadratische Matrix sein.

Matrix1 N Ausdr gibt eine Matrix zurück, die Ausdr multipliziert mit der Einheitsmatrix subtrahiert von Matrix1 ist. Matrix1 muss eine quadratische Matrix sein.

Hinweis: Verwenden Sie .N (Punkt Minus) zum Subtrahieren eines Ausdrucks von jedem Element.

·(multiplizieren)

Ausdr1Ausdr2ÞAusdruck

Gibt das Produkt der beiden Argumente zurück.

Liste1Liste2ÞListe

Gibt eine Liste zurück, die die Produkte der entsprechenden Elemente aus Liste1 und Liste2 enthält.

Die Listen müssen die gleiche Dimension besitzen.

Matrix1Matrix2ÞMatrix

Gibt das Matrizenprodukt von Matrix1 und Matrix2 zurück.

Die Spaltenanzahl von Matrix1 muss gleich die Zeilenanzahl von Matrix2 sein.

AusdrListe1ÞListe

Liste1AusdrÞListe

Gibt eine Liste zurück, die die Produkte von Ausdr und jedem Element der Liste1 enthält.

AusdrMatrix1ÞMatrix

Matrix1AusdrÞMatrix

Gibt eine Matrix zurück, die die Produkte von Ausdr und jedem Element der Matrix1 enthält.

Hinweis: Verwenden Sie .·(Punkt-Multiplikation) zum Multiplizieren eines Ausdrucks mit jedem Element.

(dividieren)

Ausdr1 Ausdr2ÞAusdruck

Gibt Ausdr1 dividiert durch Ausdr2 zurück.

Hinweis: Siehe auch Vorlage Bruch, hier.

Liste1 Liste2ÞListe

Gibt eine Liste der Elemente von Liste1 dividiert durch Liste2 zurück.

Die Listen müssen die gleiche Dimension besitzen.

Ausdr à Liste1 Þ Liste

Liste1 à Ausdr Þ Liste

Gibt eine Liste der Elemente von Ausdr dividiert durch Liste1 oderListe1 dividiert durch Ausdr zurück.

Matrix1 à Ausdr Þ Matrix

Gibt eine Matrix zurück, die die Quotienten Matrix1àAusdr enthält.

Hinweis: Verwenden Sie . / (Punkt-Division) zum Dividieren eines Ausdrucks durch jedes Element.

^ (Potenz)

Ausdr1 ^ Ausdr2 Þ Ausdruck

Liste1 ^ Liste2 Þ Liste

Gibt das erste Argument hoch dem zweiten Argument zurück.

Hinweis: Siehe auch Vorlage Exponent, hier.

Bei einer Liste wird jedes Element aus Liste1 hoch dem entsprechenden Element aus Liste2 zurückgegeben.

Im reellen Bereich benutzen Bruchpotenzen mit gekürztem ungeradem Nenner den reellen statt den Hauptzeig im komplexen Modus.

Ausdr ^ Liste1 Þ Liste

Gibt Ausdr hoch den Elementen von Liste1 zurück.

Liste1 ^ Ausdr Þ Liste

Gibt die Elemente von Liste1 hoch Ausdr zurück.

Quadratmatrix1 ^ Ganzzahl Þ Matrix

Gibt Quadratmatrix1 hoch Ganzzahl zurück.

Quadratmatrix1 muss eine quadratische Matrix sein.

Ist Ganzzahl = L1, wird die inverse Matrix berechnet.

Ist Ganzzahl < L1, wird die inverse Matrix hoch der entsprechenden positiven Zahl berechnet.

x2 (Quadrat)

Ausdr12 Þ Ausdruck

Gibt das Quadrat des Arguments zurück.

Liste12 Þ Liste

Gibt eine Liste zurück, die die Produkte der Elemente in Liste1 enthält.

Quadratmatrix12 Þ Matrix

Gibt das Matriz-Quadrat von Quadratmatrix1 zurück. Dies ist nicht gleichbedeutend mit der Berechnung des Quadrats jedes einzelnen Elements. Verwenden Sie .^2, um das Quadrat jedes einzelnen Elements zu berechnen.

.+ (Punkt-Addition)

Matrix1 .+ Matrix2 Þ Matrix

Ausdr .+ Matrix1 Þ Matrix

Matrix1 .+ Matrix2 gibt eine Matrix zurück, die Summe jedes Elementpaars von Matrix1 und Matrix2 ist.

Ausdr .+ Matrix1 gibt eine Matrix zurück, die die Summe von Ausdruck und jedem Element von Matrix1 ist.

.N (Punkt-Subt.)

Matrix1 .N Matrix2 Þ Matrix

Ausdr .NMatrix1 Þ Matrix

Matrix1 .NMatrix2 gibt eine Matrix zurück, die die Differenz jedes Elementpaars von Matrix1 und Matrix2 ist.

Ausdr .NMatrix1 gibt eine Matrix zurück, die die Differenz von Ausdr und jedem Element von Matrix1 ist.

.· (Punkt-Mult.)

Matrix1Matrix2 Þ Matrix

AusdrMatrix1 Þ Matrix

Matrix1Matrix2 gibt eine Matrix zurück, die das Produkt jedes Elementpaars von Matrix1 und Matrix2 ist.

AusdrMatrix1 gibt eine Matrix zurück, die das Produkt von Ausdr und jedem Element von Matrix1 ist.

. / (Punkt-Division)

Matrix1 . / Matrix2 Þ Matrix

Ausdr . / Matrix1 Þ Matrix

Matrix1 . / Matrix2 gibt eine Matrix zurück, die der Quotient jedes Elementpaars von Matrix1 und Matrix2 ist.

Ausdr . / Matrix1 gibt eine Matrix zurück, die der Quotient von Ausdr und jedem Element von Matrix1 ist.

.^ (Punkt-Potenz)

Matrix1 .^ Matrix2 Þ Matrix

Ausdr .^ Matrix1 Þ Matrix

Matrix1 .^ Matrix2 gibt eine Matrix zurück, in der jedes Element aus Matrix2 Exponent des entsprechenden Elements aus Matrix1 ist.

Ausdr .^ Matrix1 gibt eine Matrix zurück, in der jedes Element aus Matrix1 Exponent von Ausdr ist.

L(Negation)

L Ausdr1 Þ Ausdruck

LListe1 Þ Liste

LMatrix1 Þ Matrix

Gibt die Negation des Arguments zurück.

Bei einer Liste oder Matrix werden alle Elemente negiert zurückgegeben.

Ist das Argument eine binäre oder hexadezimale ganze Zahl, ergibt die Negation das Zweierkomplement.

 

Im Bin-Modus:

 

Wichtig: Null, nicht Buchstabe O

Um das ganze Ergebnis zu sehen, drücken Sie 5 und verwenden dann 7 und 8, um den Cursor zu bewegen.

% (Prozent)

Ausdr1 % Þ Ausdruck

Liste1 % Þ Liste

Matrix1 % Þ Matrix

Ergibt

Bei einer Liste oder einer Matrix wird eine Liste/Matrix zurückgegeben, in der jedes Element durch 100 dividiert ist.

 

Hinweis: Erzwingen eines Näherungsergebnisses,

Handheld: Drücken Sie / ·.
Windows®: Drücken Sie Strg+Eingabetaste.
Macintosh®: Drücken +Eingabetaste.
iPad®: Halten Sie die Eingabetaste gedrückt und wählen Sie aus.

= (gleich)

Ausdr1 = Ausdr2ÞBoolescher Ausdruck

Liste1 = Liste2Þ Boolesche Liste

Matrix1 = Matrix2Þ Boolesche Matrix

Gibt wahr zurück, wenn Ausdr1 bei Auswertung gleich Ausdr2 ist.

Gibt falsch zurück, wenn Ausdr1 bei Auswertung ungleich Ausdr2 ist.

In allen anderen Fällen wird eine vereinfachte Form der Gleichung zurückgegeben.

Bei Listen und Matrizen werden die Ergebnisse des Vergleichs der einzelnen Elemente zurückgegeben.

Hinweis zum Eingeben des Beispiels: Anweisungen für die Eingabe von mehrzeiligen Programm- und Funktionsdefinitionen finden Sie im Abschnitt „Calculator“ des Produkthandbuchs.

Beispielfunktion mit den mathematischen Vergleichssymbolen: =, ƒ, <, {, >, |

 

Ergebnis der graphischen Darstellung g(x)

ƒ (ungleich)

Ausdr1 ƒ Ausdr2 Þ Boolescher Ausdruck

Liste1 ƒ Liste2 Þ Boolesche Liste

Matrix1 ƒ Matrix2 Þ Boolesche Matrix

Gibt wahr zurück, wenn Ausdr1 bei Auswertung ungleich Ausdr2 ist.

Gibt falsch zurück, wenn Ausdr1 bei Auswertung gleich Ausdr2 ist.

In allen anderen Fällen wird eine vereinfachte Form der Gleichung zurückgegeben.

Bei Listen und Matrizen werden die Ergebnisse des Vergleichs der einzelnen Elemente zurückgegeben.

Hinweis: Sie können diesen Operator über die Tastatur Ihres Computers eingeben, indem Sie /= eintippen

Siehe Beispiel bei “=” (gleich).

< (kleiner als)

Ausdr1 < Ausdr2 Þ Boolescher Ausdruck

Liste1 < Liste2 Þ Boolesche Liste

Matrix1 < Matrix2 Þ Boolesche Matrix

Gibt wahr zurück, wenn Ausdr1 bei Auswertung kleiner als Ausdr2 ist.

Gibt falsch zurück, wenn Ausdr1 bei Auswertung größer oder gleich Ausdr2 ist.

In allen anderen Fällen wird eine vereinfachte Form der Gleichung zurückgegeben.

Bei Listen und Matrizen werden die Ergebnisse des Vergleichs der einzelnen Elemente zurückgegeben.

Siehe Beispiel bei “=” (gleich).

{ (kleiner oder gleich)

Ausdr1 { Ausdr2 Þ Boolescher Ausdruck

Liste1 { Liste2 Þ Boolesche Liste

Matrix1 { Matrix2 Þ Boolesche Matrix

Gibt wahr zurück, wenn Ausdr1 bei Auswertung kleiner oder gleich Ausdr2 ist.

Gibt falsch zurück, wenn Ausdr1 bei Auswertung größer als Ausdr2 ist.

In allen anderen Fällen wird eine vereinfachte Form der Gleichung zurückgegeben.

Bei Listen und Matrizen werden die Ergebnisse des Vergleichs der einzelnen Elemente zurückgegeben.

Hinweis: Sie können diesen Operator über die Tastatur Ihres Computers eingeben, indem Sie das Tastenkürzel <=

Siehe Beispiel bei “=” (gleich).

> (größer als)

Ausdr1 > Ausdr2 Þ Boolescher Ausdruck

Liste1 > Liste2 Þ Boolesche Liste

Matrix1 > Matrix2 Þ Boolesche Matrix

Gibt wahr zurück, wenn Ausdr1 bei Auswertung größer als Ausdr2 ist.

Gibt falsch zurück, wenn Ausdr1 bei Auswertung kleiner oder gleich Ausdr2 ist.

In allen anderen Fällen wird eine vereinfachte Form der Gleichung zurückgegeben.

Bei Listen und Matrizen werden die Ergebnisse des Vergleichs der einzelnen Elemente zurückgegeben.

Siehe Beispiel bei “=” (gleich).

| (größer oder gleich)

Ausdr1 | Ausdr2 Þ Boolescher Ausdruck

Liste1 | Liste2 Þ Boolesche Liste

Matrix1 | Matrix2 Þ Boolesche Matrix

Gibt wahr zurück, wenn Ausdr1 bei Auswertung größer oder gleich Ausdr2 ist.

Gibt falsch zurück, wenn Ausdr1 bei Auswertung kleiner oder gleich Ausdr2 ist.

In allen anderen Fällen wird eine vereinfachte Form der Gleichung zurückgegeben.

Bei Listen und Matrizen werden die Ergebnisse des Vergleichs der einzelnen Elemente zurückgegeben.

Hinweis: Sie können diesen Operator über die Tastatur Ihres Computers eingeben, indem Sie das Tastenkürzel >=

Siehe Beispiel bei “=” (gleich).

Þ (logische Implikation)

BoolescherAusd1 Þ BoolescherAusdr2 ergibt Boolescher Ausdruck

BoolescheListe1 Þ BoolescheLiset2 ergibt Boolesche Liste

BoolescheMatrix1 Þ BoolescheMatrix2 ergibt Boolesche Matrix

Ganzzahl1 Þ Ganzzahl2 ergibt Ganzzahl

 

Wertet den Ausdruck not <Argument1> or <Argument2> aus und gibt „wahr“,  „falsch“ oder eine vereinfachte Form des Arguments zurück.

Bei Listen und Matrizen werden die Ergebnisse des Vergleichs der einzelnen Elemente zurückgegeben

Hinweis: Sie können diesen Operator über die Tastatur Ihres Computers eingeben, indem Sie das Tastenkürzel =>

Û (logische doppelte Implikation, XNOR)

BoolescherAusdr1 Û BoolescherAusdr2 ergibt Boolescher Ausdruck

BoolescheListe1 Û BoolescheLiset2 ergibt Boolesche Liste

BoolescheMatrix1 Û BoolescheMatrix2 ergibt Boolesche Matrix

Ganzzahl1 Û Ganzzahl2 ergibt Ganzzahl

 

Gibt die Negation einer XOR boleschen Operation auf beiden Argumenten zurück. Gibt „wahr“, „falsch“ oder eine vereinfachte Form des Arguments zurück.

Bei Listen und Matrizen werden die Ergebnisse des Vergleichs der einzelnen Elemente zurückgegeben.

Hinweis: Sie können diesen Operator über die Tastatur Ihres Computers eingeben, indem Sie <=> drücken

! (Fakultät)

Ausdr1! Þ Ausdruck

Liste1! Þ Liste

Matrix1! Þ Matrix

Gibt die Fakultät des Arguments zurück.

Bei Listen und Matrizen wird eine Liste/Matrix mit der Fakultät der einzelnen Elemente zurückgegeben.

&

String1 & String2 Þ String

Gibt einen String zurück, der durch Anfügen von String2 an String1 gebildet wurde.

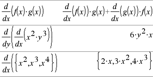
d() (Ableitung)

d(Ausdr1, Var[, Ordnung])ÞAusdruck

d(Liste1, Var[, Ordnung])ÞListe

d(Matrix1, Var[, Ordnung])ÞMatrix

Gibt die erste Ableitung des ersten Arguments bezüglich der Variablen Var zurück.

Ordnung (sofern angegeben) muss eine ganze Zahl sein. Ist die Ordnung kleiner als Null, ist das Ergebnis eine Anti-Ableitung (Integration).

Hinweis: Sie können diese Funktion über die Tastatur Ihres Computers eingeben, indem Sie derivative(...) eintippen.

d() folgt nicht dem normalen Auswertungsmechanismus, seine Argumente vollständig zu vereinfachen und dann die Funktionsdefinition auf diese vollständig vereinfachten Argumente anzuwenden. Stattdessen führt d() die folgenden Schritte aus:

1. Vereinfachung des zweiten Arguments nur so weit, dass es nicht zu einer Nichtvariablen führt.
2. Vereinfachung des ersten Arguments nur so weit, dass es jeden gespeicherten Wert für die in Schritt 1 bestimmte Variable neu aufruft.
3. Bestimmung der symbolischen Ableitung des Ergebnisses von Schritt 2 bezüglich der Variablen aus Schritt 1.

Wenn die Variable aus Schritt 1 einen gespeicherten Wert oder einen Wert hat, der durch den womit-Operator („|“) spezifiziert ist, wird dieser Wert im Ergebnis aus Schritt 3 ersetzt.

Hinweis: Siehe auch Erste Ableitunghier; Zweite Ableitunghier; und n-te Ableitung,  hier.

 

() (Integral)

(Ausdr1, Var[, Untere, Obere]) Þ Ausdruck

(Ausdr1, Var[, Konstante]) Þ Ausdruck

Gibt das Integral von Ausdr1 bezüglich der Variablen Var von Untere bis Obere zurück.

Hinweis: Siehe auch Vorlage Bestimmtes Integral und Vorlage Unbestimmtes Integral, hier.

Hinweis: Sie können diese Funktion über die Tastatur Ihres Computers eingeben, indem Sie Integral(...) eintippen.

Gibt ein unbestimmtes Integral zurück, wenn UntGreenze und ObGreenze nicht angegeben werden. Eine symbolische Integrationskonstante wird weggelassen, sofern Sie nicht das Argument Konstante einfügen.

Gleichwertig gültige unbestimmte Integrale können durch eine numerische Konstante voneinander abweichen. Eine solche Konstante kann verborgen sein - insbesondere, wenn ein unbestimmtes Integral logarithmische oder inverse trigonometrische Funktionen enthält. Außerdem werden manchmal stückweise konstante Ausdrücke hinzugefügt, um einem unbestimmten Integral über ein größeres Intervall Gültigkeit zu verleihen als bei der üblichen Formel.

 

() gibt sich selbst zurück bei Stücken von Ausdr1, die es nicht als explizite endliche Kombination seiner integrierten Funktionen und Operatoren bestimmen kann.

Sind sowohl UntGreenze als auch ObGreenze angegeben, wird versucht, Unstetigkeiten oder unstetige Ableitungen im Intervall UntGreenze < Var < ObGreenze zu finden, um das Intervall an diesen Stellen unterteilen zu können.

Ist der Modus Auto oder Näherung auf Auto eingestellt, wird eine numerische Integration vorgenommen, wo dies möglich ist, wenn kein unbestimmtes Integral oder kein Grenzwert ermittelt werden kann.

 

Bei der Einstellung Approximiert wird die numerische Integration, wo möglich, zuerst versucht. Unbestimmte Integrale werden nur dann gesucht, wenn die numerische Integration unzulässig ist oder fehlschlägt.

 

Hinweis: Erzwingen eines Näherungsergebnisses,

Handheld: Drücken Sie / ·.
Windows®: Drücken Sie Strg+Eingabetaste.
Macintosh®: Drücken +Eingabetaste.
iPad®: Halten Sie die Eingabetaste gedrückt und wählen Sie aus.

() können verschachtelt werden, um Mehrfach-Integrale zu bearbeiten. Die Integrationsgrenzen können von außerhalb liegenden Integrationsvariablen abhängen.

Hinweis: Siehe auch nInt(), hier.

() (Quadratwurzel)

(Ausdr1)ÞAusdruck

(Liste1)ÞListe

Gibt die Quadratwurzel des Arguments zurück.

Bei einer Liste wird die Quadratwurzel für jedes Element von Liste1 zurückgegeben.

Hinweis: Sie können diese Funktion über die Tastatur Ihres Computers eingeben, indem Sie sqrt(...) eintippen.

Hinweis: Siehe auch Vorlage Quadratwurzel, hier.

P() (ProdSeq)

P(Ausdr1, Var, Von, Bis)ÞAusdruck

Hinweis: Sie können diese Funktion über die Tastatur Ihres Computers eingeben, indem Sie prodSeq(...) eintippen.

Wertet Ausdr1 für jeden Wert von Var zwischen Von und Bis aus und gibt das Produkt der Ergebnisse zurück.

Hinweis: Siehe auch Vorlage Produkt (P), hier.

P(Ausdr1, Var, Von, VonN1)Þ1

P(Ausdr1, Var, Von, Bis) Þ1/P(Ausdr1, Var, Bis+1, VonN1) if Bis < VonN1

 

Die verwendeten Produktformeln wurden ausgehend von der folgenden Quelle entwickelt:

Ronald L. Graham, Donald E. Knuth, Oren Patashnik: Concrete Mathematics: A Foundation for Computer Science. Reading, Massachusetts: Addison-Wesley 1994.

 

G() (SumSeq)

G(Ausdr1, Var, Von, Bis)ÞAusdruck

Hinweis: Sie können diese Funktion über die Tastatur Ihres Computers eingeben, indem Sie sumSeq(...) eintippen.

Wertet Ausdr1 für jeden Wert von Var zwischen Von und Bis aus und gibt die Summe der Ergebnisse zurück.

Hinweis: Siehe auch Vorlage Summe, hier.

G(Ausdr1, Var, Von, VonN1)Þ0

G(Ausdr1, Var, Von, Bis) ÞLG(Ausdr1, Var, Bis+1, VonN1) if Bis < VonN1

 

Die verwendeten Summenformeln wurden ausgehend von der folgenden Quelle entwickelt:

Ronald L. Graham, Donald E. Knuth, Oren Patashnik: Concrete Mathematics: A Foundation for Computer Science. Reading, Massachusetts: Addison-Wesley 1994.

 

GInt()

GInt(NPmt1, NPmt2, N, I, PV,[Pmt], [FV], [PpY], [CpY], [PmtAt], [WertRunden])ÞWert

GInt(NPmt1,NPmt2,AmortTabelle)ÞWert

Amortisationsfunktion, die die Summe der Zinsen innerhalb eines angegebenen Zahlungsbereichs berechnet.

NPmt1 und NPmt2 definieren Anfang und Ende des Zahlungsbereichs.

N, I, PV, Pmt, FV, PpY, CpY und PmtAt werden in der TVM-Argumentetabelle (hier) beschrieben.

Wenn Sie Pmt nicht angeben, wird standardmäßig Pmt=tvmPmt(N,I,PV,FV,PpY,CpY,PmtAt) eingesetzt.
Wenn Sie FV nicht angeben, wird standardmäßig FV=0 eingesetzt.
Die Standardwerte für PpY, CpY und PmtAt sind dieselben wie bei den TVM-Funktionen.

WertRunden legt die Anzahl der Dezimalstellen für das Runden fest. Standard=2.

GInt(NPmt1,NPmt2,AmortTable) berechnet die Summe der Zinsen auf der Grundlage der Amortisationstabelle AmortTabelle. Das Argument AmortTabelle muss eine Matrix in der unter amortTbl(), hier, beschriebenen Form sein.

Hinweis: Siehe auch GPrn() auf dieser und Bal(), hier.

 

GPrn()

GPrn(NPmt1, NPmt2, N, I, PV, [Pmt], [FV], [PpY], [CpY], [PmtAt], [WertRunden])ÞWert

GPrn(NPmt1,NPmt2,AmortTabelle)ÞWert

Amortisationsfunktion, die die Summe der Tilgungszahlungen innerhalb eines angegebenen Zahlungsbereichs berechnet.

NPmt1 und NPmt2 definieren Anfang und Ende des Zahlungsbereichs.

N, I, PV, Pmt, FV, PpY, CpY und PmtAt werden in der TVM-Argumentetabelle (hier) beschrieben.

Wenn Sie Pmt nicht angeben, wird standardmäßig Pmt=tvmPmt(N,I,PV,FV,PpY,CpY,PmtAt) eingesetzt.
Wenn Sie FV nicht angeben, wird standardmäßig FV=0 eingesetzt.
Die Standardwerte für PpY, CpY und PmtAt sind dieselben wie bei den TVM-Funktionen.

WertRunden legt die Anzahl der Dezimalstellen für das Runden fest. Standard=2.

GPrn(NPmt1,NPmt2,AmortTabelle) berechnet die Summe der gezahlten Tilgungsbeträge auf der Grundlage der Amortisationstabelle AmortTabelle. Das Argument AmortTabelle muss eine Matrix in der unter amortTbl(), hier, beschriebenen Form sein.

Hinweis: Siehe auch GInt() auf dieser und Bal(), hier.

 

# (Umleitung)

# varNameString

Greift auf die Variable namens VarNameString zu. So können Sie innerhalb einer Funktion Variablen unter Verwendung von Strings erzeugen.

Erzeugt oder greift auf die Variable xyz zu.

 

Gibt den Wert der Variable (r) zurück, dessen Name in Variable s1 gespeichert ist.

E (Wissenschaftliche Schreibweise)

MantisseEExponent

Gibt eine Zahl in wissenschaftlicher Schreibweise ein. Die Zahl wird als Mantisse × 10Exponent interpretiert.

Tipp: Wenn Sie eine Potenz von 10 eingeben möchten, ohne ein Dezimalwertergebnis zu verursachen, verwenden Sie 10^Ganzzahl.

Hinweis: Sie können diesen Operator über die Tastatur Ihres Computers eingeben, indem Sie @E eintippen. Tippen Sie zum Beispiel 2.3@E4 ein, um 2.3E4 einzugeben.

g (Neugrad)

Ausdr1gÞAusdruck

Ausdr1gÞAusdruck

Liste1gÞListe

Matrix1gÞMatrix

Diese Funktion gibt Ihnen die Möglichkeit, im Grad- oder Bogenmaß-Modus einen Winkel in Neugrad anzugeben.

Im Winkelmodus Bogenmaß wird Ausdr1 mit p/200 multipliziert.

Im Winkelmodus Grad wird Ausdr1 mit g/100 multipliziert.

Im Neugrad-Modus wird Ausdr1 unverändert zurückgegeben.

Hinweis: Sie können dieses Sonderzeichen über die Tastatur Ihres Computers eingeben, indem Sie @g eintippen.

Im Grad-, Neugrad- oder Bogenmaß-Modus:

R(Bogenmaß)

Ausdr1RÞAusdruck

Liste1RÞListe

Matrix1RÞMatrix

Diese Funktion gibt Ihnen die Möglichkeit, im Grad- oder Neugrad-Modus einen Winkel im Bogenmaß anzugeben.

Im Winkelmodus Grad wird das Argument mit 180/p multipliziert.

Im Winkelmodus Bogenmaß wird das Argument unverändert zurückgegeben.

Im Neugrad-Modus wird das Argument mit 200/p multipliziert.

Tipp: Verwenden Sie R in einer Funktionsdefinition, wenn Sie bei Ausführung der Funktion das Bogenmaß frei von der Winkelmoduseinstellung erzwingen möchten.

Hinweis: Sie können dieses Sonderzeichen über die Tastatur Ihres Computers eingeben, indem Sie @r eintippen.

Im Winkelmodus Grad, Neugrad oder Bogenmaß:

¡ (Grad)

Ausdr1¡ÞAusdruck

Liste1¡ÞListe

Matrix1¡ÞMatrix

Diese Funktion gibt Ihnen die Möglichkeit, im Neugrad- oder Bogenmaß-Modus einen Winkel in Grad anzugeben.

Im Winkelmodus Bogenmaß wird das Argument mit p/180 multipliziert.

Im Winkelmodus Grad wird das Argument unverändert zurückgegeben.

Im Winkelmodus Neugrad wird das Argument mit 10/9 multipliziert.

Hinweis: Sie können dieses Sonderzeichen über die Tastatur Ihres Computers eingeben, indem Sie @d eintippen.

Im Winkelmodus Grad, Neugrad oder Bogenmaß:

Im Winkelmodus Bogenmaß:

Hinweis: Erzwingen eines Näherungsergebnisses,

Handheld: Drücken Sie / ·.
Windows®: Drücken Sie Strg+Eingabetaste.
Macintosh®: Drücken +Eingabetaste.
iPad®: Halten Sie die Eingabetaste gedrückt und wählen Sie aus.

¡, ', '' (Grad/Minute/Sekunde)

dd¡mm'ss.ss''ÞAusdruck

ddEine positive oder negative Zahl

mmEine nicht negative Zahl

ss.ssEine nicht negative Zahl

Gibt dd+(mm/60)+(ss.ss/3600) zurück.

Mit einer solchen Eingabe auf der 60er‑Basis können Sie:

Einen Winkel unabhängig vom aktuellen Winkelmodus in Grad/Minuten/Sekunden eingeben.
Uhrzeitangaben in Stunden/Minuten/Sekunden vornehmen.

Hinweis: Nach ss.ss werden zwei Apostrophe ('') gesetzt, kein Anführungszeichen (").

Im Grad-Modus:

± (Winkel)

[Radius,±q_Winkel]ÞVektor

(Eingabe polar)

[Radius,±q_Winkel,Z_Koordinate]ÞVektor

(Eingabe zylindrisch)

[Radius,±q_Winkel,±q_Winkel]ÞVektor

(Eingabe sphärisch)

Gibt Koordinaten als Vektor zurück, wobei die aktuelle Einstellung für Vektorformat gilt: kartesisch, zylindrisch oder sphärisch.

Hinweis: Sie können dieses Sonderzeichen über die Tastatur Ihres Computers eingeben, indem Sie @< eintippen.

Im Bogenmaß-Modus mit Vektorformat eingestellt auf:

kartesisch

 

zylindrisch

 

sphärisch

(Größe ± Winkel)ÞkomplexerWert

(Eingabe polar)

Dient zur Eingabe eines komplexen Werts in polarer (r±q) Form. Der Winkel wird gemäß der aktuellen Winkelmoduseinstellung interpretiert.

Im Winkelmodus Bogenmaß und Komplex-Formatmodus “kartesisch”:

 

Hinweis: Erzwingen eines Näherungsergebnisses,

Handheld: Drücken Sie / ·.
Windows®: Drücken Sie Strg+Eingabetaste.
Macintosh®: Drücken +Eingabetaste.
iPad®: Halten Sie die Eingabetaste gedrückt und wählen Sie aus.

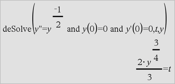
' (Ableitungsstrich)

Variable '

Variable ''

Gibt in einer Differentialgleichung einen Ableitungsstrich ein. Ein Ableitungsstrich kennzeichnet eine Differentialgleichung erster Ordnung, zwei Ableitungsstriche kennzeichnen eine Differentialgleichung zweiter Ordnung usw.

_ (Unterstrich als leeres Element)

 

 

_ (Unterstrich als Einheiten-Bezeichner)

Ausdr_Einheit

Kennzeichnet die Einheiten für einen Ausdr. Alle Einheitennamen müssen mit einem Unterstrich beginnen.

Sie können entweder vordefinierte Einheiten verwenden oder Ihre eigenen erstellen. Eine Liste vordefinierter Einheiten finden Sie im Katalog auf der Registerkarte Einheiten-Konversion (Unit Conversions). Sie können Einheitennamen aus dem Katalog auswählen oder sie direkt eingeben.

Hinweis: Das Umrechnungssymbol 4 können Sie im Katalog finden. Klicken Sie auf und dann auf Mathematische Operatoren.

Variable_

Besitzt Variable keinen Wert, so wird sie behandelt, als würde sie eine komplexe Zahl darstellen. Die Variable wird ohne das Zeichen _ standardmäßig als reell behandelt.

Besitzt Variable einen Wert, so wird das Zeichen _ ignoriert und Variable behält ihren ursprünglichen Datentyp bei.

Hinweis: Eine komplexe Zahl kann ohne

Unterstrich _ in Variablen gespeichert werden. Bei Berechnungen wie cSolve() und cZeros() empfiehlt sich allerdings die Verwendung von _, um beste Ergebnisse zu erzielen.

z sei undefiniert:

4 (konvertieren)

Ausdr_Einheit1 4 _Einheit2ÞAusdr_Einheit2

Konvertiert einen Ausdruck von einer Einheit in eine andere.

Der Unterstrich _ kennzeichnet die Einheiten. Diese Einheiten müssen sich in derselben Kategorie befinden, z.B. Länge oder Fläche

Eine Liste vordefinierter Einheiten finden Sie im Katalog auf der Registerkarte Einheiten-Konversion (Unit Conversions):

Sie können einen Einheitennamen aus der Liste auswählen.
Sie können den Konversionsoperator, 4, vom Listenanfang verwenden.

Sie können die Einheitennamen auch manuell eingeben. Um bei der Eingabe von Einheitennamen auf dem Handheld “_” einzugeben, drücken Sie /_.

Hinweis: Verwenden Sie zum Konvertieren von Temperatureinheiten tmpCnv() und @tmpCnv(). Der Konvertierungsoperator 4 ist nicht für Temperatureinheiten anwendbar.

10^()

10^(Ausdr1)ÞAusdruck

10^(Liste1)ÞListe

Gibt 10 hoch Argument zurück.

Bei einer Liste wird 10 hoch jedem Element von Liste1 zurückgegeben.

10^(Quadratmatrix1)ÞQuadratmatrix

Ergibt 10 hoch Quadratmatrix1. Dies ist nicht gleichbedeutend mit der Berechnung von 10 hoch jedem Element. Näheres zur Berechnungsmethode finden Sie im Abschnitt cos().

Quadratmatrix1 muss diagonalisierbar sein. Das Ergebnis enthält immer Fließkommazahlen.

^/(Kehrwert)

Ausdr1 ^/ÞAusdruck

Liste1 ^/ÞListe

Gibt den Kehrwert des Arguments zurück.

Bei einer Liste wird für jedes Element von Liste1 der Kehrwert zurückgegeben.

Quadratmatrix1 ^/ÞQuadratmatrix

Gibt die Inverse von Qudratmatrix1 zurück.

Quadratmatrix1 muss eine nicht-singuläre quadratische Matrix sein.

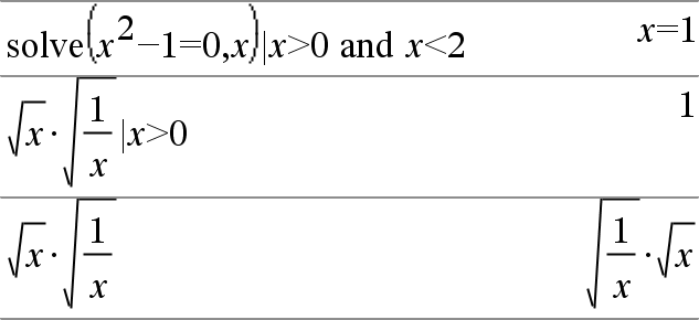
| (womit-Operator)

Ausdr | BoolescherAusdr1 [andBoolescherAusdr2]...

Ausdr | BoolescherAusdr1 [orBoolescherAusdr2]...

Das womit-Symbol („|“) dient als binärer Operator. Der Operand links von | ist ein Ausdruck. Der Operand rechts von | gibt eine oder mehrere Relationen an, die auf die Vereinfachung des Ausdrucks einwirken sollen. Bei Angabe mehrerer Relationen nach dem | sind diese jeweils mit logischen „and“ oder „or“ Operatoren miteinander zu verketten.

Der womit-Operator erfüllt drei Grundaufgaben:

Ersetzung
Intervallbeschränkung
Ausschließung

Ersetzungen werden in Form einer Gleichung angegeben, wie etwa x=3 oder y=sin(x). Am wirksamsten ist eine Ersetzung, wenn die linke eine einfache Variable ist. Ausdr | Variable = Wert bewirkt, dass jedes Mal, wenn Variable in Ausdr vorkommt, Wert ersetzt wird.

Intervallbeschränkungen werden in Form einer oder mehrerer mit logischen „and“ oder „or“ Operatoren verknüpfte Ungleichungen angegeben. Intervallbeschränkungen ermöglichen auch Vereinfachungen, die andernfalls ungültig oder nicht berechenbar wären.

Ausschließungen verwenden den relationalen Operator „ungleich“ (/= oder ƒ), um einen bestimmten Wert bei der Operation auszuschließen. Sie dienen hauptsächlich zum Ausschließen einer exakten Lösung bei Verwendung von cSolve(), cZeros(), fMax(), fMin(), solve(), zeros() usw.

& (speichern)

Ausdr & Var

Liste & Var

Matrix & Var

Expr & Funktion(Param1,...)

List & Funktion(Param1,...)

Matrix & Funktion(Param1,...)

Wenn Variable Var noch nicht existiert, wird Var erzeugt und auf Ausdr, Liste oder Matrix initialisiert.

Wenn Var existiert und nicht gesperrt oder geschützt ist, wird der Variableninhalt durch Ausdr, Liste oder Matrix ersetzt.

Tipp: Wenn Sie symbolische Rechnungen mit undefinierten Variablen vornehmen möchten, sollten Sie vermeiden, Werte in Variablen mit häufig benutzten Einzeichennamen abzuspeichern (etwa den Variablen a, b, c, x, y, z usw.).

Hinweis: Sie können diesen Operator über die Tastatur Ihres Computers eingeben, indem Sie das Tastenkürzel =: eintippen. Geben Sie zum Beispiel pi/4 =: myvar ein.

:= (zuweisen)

Var := Ausdr

Var := Liste

Var := Matrix

Function(Param1,...) := Ausdr

Function(Param1,...) := Liste

Function(Param1,...) := Matrix

Wenn Variable Var noch nicht existiert, wird Var erzeugt und auf Ausdr, Liste oder Matrix initialisiert.

Wenn Var existiert und nicht gesperrt oder geschützt ist, wird der Variableninhalt durch Ausdr, Liste bzw. Matrix ersetzt.

Tipp: Wenn Sie symbolische Rechnungen mit undefinierten Variablen vornehmen möchten, sollten Sie vermeiden, Werte in Variablen mit häufig benutzten Einzeichennamen abzuspeichern (etwa den Variablen a, b, c, x, y, z usw.).

© (Kommentar)

© [Text]

© verarbeitet Text als Kommentarzeile und ermöglicht so die Eingabe von Anmerkungen zu von Ihnen erstellten Funktionen und Programmen.

© kann an den Zeilenanfang oder an eine beliebige Stelle der Zeile gesetzt werden. Alles, was rechts von © bis zum Zeilenende steht, gilt als Kommentar.

Hinweis zum Eingeben des Beispiels: Anweisungen für die Eingabe von mehrzeiligen Programm- und Funktionsdefinitionen finden Sie im Abschnitt „Calculator“ des Produkthandbuchs.

0b, 0h

0b binäre_Zahl

0h hexadezimale_Zahl

Kennzeichnet eine Dual- bzw. Hexadezimalzahl. Zur Eingabe einer Dual- oder Hexadezimalzahl muss unabhängig vom jeweiligen Basis-Modus das Präfix 0b bzw. 0h verwendet werden. Eine Zahl ohne Präfix wird als dezimal behandelt (Basis 10).

Die Ergebnisse werden im jeweiligen Basis-Modus angezeigt.

Im Dec-Modus:

 

Im Bin-Modus:

 

Im Hex-Modus: