R
|
目錄 > |
|
|
傳回 (x,y) 成對引數的 注意:系統會根據目前的角度模式設定,將結果傳回為度數角、梯度角或弧度角。 注意:如果要使用電腦鍵盤插入本函數,可輸入 R@>Ptheta(...)。 |
度數角模式:
|
|
目錄 > |
|
|
傳回 (x,y) 成對引數的等值 r 座標。 注意:如果要使用電腦鍵盤插入本函數,可輸入 R@>Pr(...)。 |
弧度角模式:
|
|
目錄 > |
|
|
把引數轉成弧度角測量單位。 注意:如果要使用電腦鍵盤插入本運算子,可輸入 @>Rad。 |
度數角模式:
|
|
目錄 > |
|
|
rand() ⇒ 運算式 rand() 會傳回 0 與 1 之間的隨機值。 rand(試驗次數) 會傳回包含 0 與 1 之間試驗次數個隨機值的列表。 |
設定亂數種子。
|
|
目錄 > |
|
|
randBin(n, p) ⇒ 運算式 randBin(n, p) 會從指定的二項式分佈傳回隨機實數。 randBin(n, p, 試驗次數) 會從指定的二項分佈,傳回包含試驗次數個隨機實數的列表。 |
|
|
目錄 > |
|
|
randInt(下限,上限) ⇒ 運算式 randInt(下限,上限) 會傳回下限和上限整數邊界指定範圍內的隨機整數。 randInt(下限,上限,試驗次數) 會傳回指定範圍內包含試驗次數個隨機整數的列表。 |
|
|
目錄 > |
|
|
randMat(列數, 欄數) ⇒ 矩陣 傳回指定維度的矩陣,其中元素值是介於 -9 至 9 之間的整數。 兩個引數都必須化簡成整數。 |
注意:每按一次 ·,本矩陣中的數值就會變換。 |
|
目錄 > |
|
|
randNorm(μ, σ) ⇒ 運算式 randNorm(μ, σ) 會從指定的常態分佈傳回十進位數字。結果可以是任何實數,但會集中在 [μ−3•σ, μ+3•σ] 區間範圍內。 randNorm(μ, σ, 試驗次數) 會從指定的常態分佈,傳回包含試驗次數個十進位數字的列表。 |
|
|
目錄 > |
|
|
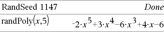
randPoly(變數, 階數) ⇒ 運算式 傳回對變數的指定階數多項式,其係數是介於 −9 至 9 範圍內的隨機整數。首項係數不得為零。 階數必須是 0 至 99。 |
|
|
目錄 > |
|
|
randSamp(列表,試驗次數[,不放回抽樣]) ⇒ 列表 傳回列表,其中元素包含列表中以試驗次數為個數所試驗的隨機樣本,且可選擇替換樣本 (不放回抽樣=0) 或不替換樣本 (不放回抽樣=1)。預設是替換樣本。 |
|
|
目錄 > |
|
|
RandSeed 數字 若數字 = 0,則以亂數產生程式的出廠預設值為種子。若數字 ≠ 0,則用於產生兩個亂數種子,並儲存在系統變數種子1 和種子2 中。 |
|
|
目錄 > |
|
|
real(值1) ⇒ 值 傳回引數的實部。 |
|
|
real(列表1) ⇒ 列表 傳回所有元素的實部。 |
|
|
real(矩陣1) ⇒ 矩陣 傳回所有元素的實部。 |
|
|
目錄 > |
|
|
向量 ►Rect 注意:如果要使用電腦鍵盤插入本運算子,可輸入 @>Rect。 以直角座標形式 [x, y, z] 顯示向量。向量必須是 2 維或 3 維,而且可以是列向量或行向量。 注意:►Rect是顯示格式指令,並非轉換函數。本指令只能用於輸入列末尾,而且無法更新 ans。 注意:另請參考此處的 ►Polar 這裡. |
|
|
複數值 ►Rect 以直角座標形式 a+bi 顯示複數值。複數值可以是任何複數形式,但輸入 reiθ 時會導致度數角模式錯誤。 注意:您必須使用括弧才能輸入 (r∠θ) 極座標。 |
弧度角模式:
注意:若要輸入 ∠,請從「目錄」的符號表中選取。 |
|
目錄 > |
|||||||
|
ref(矩陣1[, 容許值]) ⇒ 矩陣 傳回矩陣1 的列梯形。 若任何矩陣元素的絕對值小於容許值,則亦可將此元素視為零。只有在矩陣中包含浮點數項目,而且不包含尚未賦值的任何符號變數時,才會使用此容許值。其他時候都會忽略容許值。
請避免在矩陣1 中加入未定義的元素,否則可能出現意外結果。 例如若未定義以下運算式中的 a,則會出現警告訊息,並顯示以下結果:
之所以出現警告,是因為若 a=0,則 1/a 廣義元素會無效。 若要避免這個情形,可先儲存 a 的值,或用下例所示的 (「|」) 取代值。
注意:另請參考此處的 rref() 這裡. |
|
|
目錄 > |
|||||||||||
|
RefreshProbeVars 可讓您透過 TI-Basic 程式存取所有連接感應器探針的感應器數據。
|
範例
注意:此指令碼可搭配 TI-Innovator™ 分享器使用。 |
|
目錄 > |
|
|
依照下列恆等式的定義,傳回第一個引數對第二個引數的餘: remain(x,0) x |
|
|
請注意到 remain(−x,y) − remain(x,y) 這個結果。結果如果不是零,就是與第一個引數有相同符號。 注意:另請參考此處的 mod() 這裡. |
|
|
目錄 > |
|||||||||||||||||||
|
程式設計指令:程式暫停執行並顯示包含提示字串訊息的對話方塊,以及讓使用者輸入回覆的方塊。 使用者輸入回覆並按一下 [確定] 時,輸入方塊的內容就會指派為變數 var 的值。 若使用者按一下 [取消],則程式會繼續進行,且不會接受任何輸入。如果變數已完成定義,則程式會使用先前變數的值 選用的顯示旗標引數可以是任何運算式。
|
寫出以下程式: Define request_demo()=Prgm
執行程式並輸入回覆: request_demo()
選取 [確定] 後,計算出結果: 半徑: 6/2 |
||||||||||||||||||
|
選用的狀態變數引數可使程式判斷使用者取消對話方塊的方式。請注意,狀態變數需要顯示旗標引數。
func() 引數可讓程式把使用者的回覆儲存成函數定義。這個語法的功能,就像使用者執行以下指令: Define func(引數1, ...引數) = 使用者的回覆 然後,程式就能使用已定義函數 func()。提示字串應該引導使用者輸入適當的使用者的回覆,以便完成整個函數定義。 注意:您可以在使用者自行定義的程式中使用 若要停止包含在無限迴圈內 Request 指令的程式,請執行下列動作:
注意:另請參考 |
寫出以下程式: Define polynomial()=Prgm
執行程式並輸入回覆: polynomial()
輸入 x^3+3x+1 並選取 [確定] 後,計算出結果: 其實根為:{-0.322185} |
|
目錄 > |
|||||||||||||
|
程式設計指令:與 Request 指令的第一個語法原理相同,不過本指令一律將使用者的回覆視為字串。相反地,除非使用者把回覆放在引號(““)中,否則 Request 指令會將回覆解譯成運算式。 注意:您可以在使用者自行定義的程式中使用 RequestStr 指令,但不能用在函數中。 若要停止包含在無限迴圈內
注意:另請參考 |
寫出以下程式: Define requestStr_demo()=Prgm
執行程式並輸入回覆: requestStr_demo()
選取 [確定] 後計算出結果(請注意,顯示旗標引數如果是 0,則歷史記錄中會省略提示訊息和回覆):
requestStr_demo() 回應具有 5 個字元。 |
|
目錄 > |
|
|
Return [運算式] 傳回運算式作為函數結果。用於 Func...EndFunc 區段。 注意:若要結束程式,請在 Prgm...EndPrgm 區段中使用 Return 並且不加引數。 輸入 範例的注意事項: 關於輸入多行程式和函數定義的說明,請參閱產品手冊中的「計算工具」章節。 |
|
|
目錄 > |
|
|
right(列表1[, 數字]) ⇒ 列表 傳回列表1 中從右邊算來的數字個元素。 若省略數字,則傳回整個列表1。 |
|
|
right(來源字串[, 數字]) ⇒ 字串 傳回來源字串中從右邊算來的數字個字元。 若省略數字,則傳回整個來源字串。 |
|
|
right(比較) ⇒ 運算式 傳回方程式或不等式右邊的部份。 |
|
目錄 > |
|
|
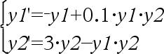
使用隆巨—庫塔方法求解方程式組 位於右邊的運算式用於定義常微分方程式 (ODE)。 位於右邊的運算式系統,用於定義 ODE 方程式組(對應於因變數序列表中的因變數順序)。 位於右邊的運算式列表,用於定義 ODE 方程式組(對應於因變數序列表中的因變數順序)。 變數是自變數。 因變數序列表是顯示因變數的列表。 {變數0, 最大變數} 是一個雙元素列表,表示函數從變數0 積分至最大變數。 因變數序列表0 是因變數初始值的列表。 如果變數步階計算出非零數字:sign(變數步階) = sign(最大變數-變數0),且傳回 變數0+i*變數步階對所有的 i=0,1,2,… 的解,使 變數0+i*變數步階位於 [變數0,最大變數](在最大變數中可能沒有解)。 如果變數步階計算出零,會傳回在「隆巨—庫塔」之變數值的解。 diftol 是容錯(預設值為 0.001)。 |
微分方程式: y'=0.001*y*(100-y) 與 y(0)=10 若要看到完整結果,請按 5,然後使用 7 與 8 移動游標。 與 diftol 設為 1.E−6 時相同的方程式 方程式組:
其中,y1(0)=2 及 y2(0)=5
|
|
目錄 > |
|
|
root(值) ⇒ 根
root(值1, 值2) 會傳回值1 的值2 次方根。值1 可以是實數浮點常數、複數浮點常數、整數有理常數或複數有理常數。 注意:另請參考此處的 N 次方根範本 這裡. |
|
|
目錄 > |
|
|
rotate(整數1[,互換位數]) ⇒ 整數 互換二進位整數中的位元。您可以用任何數基輸入整數1;系統會自動轉換成有正負號的 64 位元二進位形式。若整數1 太大超出該格式範圍,則系統會以對稱模數運算法使其落入範圍。如需詳細資訊,請參考此處的 ►Base2 這裡. |
二進位基底模式:
若要看到完整結果,請按 5,然後使用 7 與 8 移動游標。 |
|
若互換位數是正值,則向左輪替。若互換位數是負值,則向右輪替。預設值是 −1(向右移一位)。 例如向右互換時: |
十六進位基底模式:
|
|
每個位元向右互換。 0b00000000000001111010110000110101 最右邊的位元移到最左邊。 求出: 0b10000000000000111101011000011010 所顯示的結果會以基底模式為準。 |
重要資訊:若要輸入二進位或十六進位數字,前面一定要有 0b 或 0h 字首(數字零,而非英文字母 O)。 |
|
rotate(列表1[,互換位數]) ⇒ 列表 傳回列表1 左右移動互換位數個元素後的副本。請勿更改列表1。 若互換位數是正值,則向左輪替。若互換位數是負值,則向右輪替。預設值是 −1(向右互換一個元素)。 |
十進位基底模式:
|
|
rotate(字串1[,互換位數]) ⇒ 字串 傳回字串1 左右移動互換位數個字元後的副本。請勿更改字串1。 若互換位數是正值,則向左輪替。若互換位數是負值,則向右輪替。預設值是 −1(向右互換一個字元)。 |
|
|
目錄 > |
|
|
round(值1[, 位數]) ⇒ 值 傳回四捨五入到小數點後指定位數的引數。 位數必須是在 0 至 12 範圍內的整數。若省略位數,則傳回四捨五入到 12 個有效位數的引數。 注意:顯示位數模式可能影響顯示方式。 |
|
|
round(列表1[, 位數]) ⇒ 列表 傳回其中元素四捨五入到指定位數的列表。 |
|
|
round(矩陣1[, 位數]) ⇒ 矩陣 傳回其中元素四捨五入到指定位數的矩陣。 |
|
|
目錄 > |
|
|
rowAdd(矩陣1, rIndex1, rIndex2) ⇒ 矩陣 傳回矩陣1 的副本,其中 rIndex1 與 rIndex2 兩列的總和取代 rIndex2 列。 |
|
|
目錄 > |
|
|
rowDim(矩陣) ⇒ 運算式 傳回矩陣列數。 注意:另請參考此處的 colDim() 這裡. |
|
|
目錄 > |
|
|
rowNorm(矩陣) ⇒ 運算式 傳回矩陣中各列元素絕對值的總和最大值。 注意:矩陣的所有元素都必須化簡成數字。另請參考此處的 colNorm() 這裡. |
|
|
目錄 > |
|
|
rowSwap(矩陣1, rIndex1, rIndex2) ⇒ 矩陣 傳回 rIndex1 與 rIndex2 兩列互換的矩陣1。 |
|
|
目錄 > |
|||||||
|
rref(矩陣1[, 容許值]) ⇒ 矩陣 傳回矩陣1 的列簡化梯形矩陣。 |
|
||||||
|
若任何矩陣元素的絕對值小於容許值,則亦可將此元素視為零。只有在矩陣中包含浮點數項目,而且不包含尚未賦值的任何符號變數時,才會使用此容許值。其他時候都會忽略容許值。
注意:另請參考此處的 ref() 這裡. |



