C
|
目錄 > |
|
|
ceiling(值1)Þ值 傳回大於 | 引數且最接近的整數。 引數可以是實數也可以是複數。 附註: 另請參考 floor()。 |
|
|
ceiling(列表1)Þ列表 ceiling(矩陣1)Þ矩陣 傳回各元素無條件進入後的列表或矩陣。 |
|
|
目錄 > |
|
|
使用中央差商公式傳回數值導數。 指定值時,此值會取代之前賦值的所有變數,或目前以「|」取代的所有該變數。 Step 代表步階值。如果省略步階,則會以 0.001 為預設值。 使用列表1 或矩陣1 時,運算作業會對應到列表中的值或矩陣元素。 附註: 另請參考 avgRC()。 |
|
|
目錄 > |
|
|
char(Integer)Þ字元 傳回計算機字元集中屬於 Integer 編號字元的字元字串。Integer 的有效範圍是 0–65535。 |
|
|
目錄 > |
|
|
c22way obsMatrix chi22way obsMatrix 計算 c2 檢定,以用於 obsMatrix 觀察矩陣中計數的雙向交叉表之結合。stat.results 變數會儲存結果摘要(請參閱第 這裡 頁)。 如要了解矩陣中有空元素時的影響,請參考°ß空元素°®,這裡。 |
|
|
輸出變數 |
說明 |
|
stat.c2 |
卡方檢定統計:sum (觀察 - 預期)2/預期 |
|
stat.PVal |
無效假說被否定之最低意義標準 |
|
stat.df |
卡方檢定統計的自由度 |
|
stat.ExpMat |
預期基本計數表的矩陣,假定無效假說 |
|
stat.CompMat |
基本卡方統計貢獻的矩陣 |
|
目錄 > |
|
|
c2Cdf(下限,上限,df)Þ數字(若下限和上限是數字)或列表(若下限和上限是列表) chi2Cdf(下限,上限,df)Þ數字(若下限和上限是數字)或列表(若下限和上限是列表) 針對指定自由度 df 的下限和上限之間,計算 c2 分布機率。 對於 P(X { 上限),請設定下限=0 如要了解列表中有空元素時的影響,請參考°ß空元素°®,這裡。 |
|
|
目錄 > |
|
|
c2GOF 觀察列表,預期列表,df chi2GOF 觀察列表,預期列表,df 執行檢定,確認資料樣本的確來自符合特定分布的母群體。觀察列表是計數的列表,必須包含整數。stat.results 變數會儲存結果摘要(請參閱第 這裡 頁)。 如要了解列表中有空元素時的影響,請參考°ß空元素°®,這裡。 |
|
|
輸出變數 |
說明 |
|
stat.c2 |
卡方檢定統計:sum (觀察 - 預期)2/預期 |
|
stat.PVal |
無效假說被否定之最低意義標準 |
|
stat.df |
卡方檢定統計的自由度 |
|
stat.CompList |
基本卡方統計貢獻 |
|
目錄 > |
|
|
c2Pdf(XVal,df)Þ數字(若 XVal 是數字)或列表(若 XVal 是列表) chi2Pdf(XVal,df)Þ數字(若 XVal 是數字)或列表(若 XVal 是列表) 針對指定自由度 df,計算 c2 分布在指定 XVal 值的機率密度函數(pdf)。 如要了解列表中有空元素時的影響,請參考°ß空元素°®,這裡。 |
|
|
目錄 > |
|
|
ClearAZ 清除目前問題空間中的所有單字元變數。 如果一個以上的變數已遭鎖定,本指令會顯示錯誤訊息,並只刪除未鎖定的變數。請參考 |
|
|
目錄 > |
|
|
清除錯誤狀態,並將系統變數 errCode 設定成零。 Try...Else...EndTry 段的 Else 子句應該使用 ClrErr 或 PassErr。若要處理或忽略錯誤,請使用 ClrErr。若不知如何處理錯誤,請用 PassErr 送到下一個錯誤處理程式。若已經沒有待處理的 Try...Else...EndTry 錯誤處理程式,則錯誤對話方塊將顯示為正常。 附註: 另請參考第 這裡 頁的 PassErr 和第 這裡 頁的 Try。 輸入 範例的注意事項: 關於輸入多行程式和函數定義的說明,請參閱產品手冊中的「計算工具」章節。 |
若需 ClrErr 的參考範例,請參考第 這裡 頁 Try 指令下的例 2。
|
|
目錄 > |
|
|
colAugment(矩陣1, 矩陣2)Þ矩陣 傳回將矩陣2 加到矩陣1 的新矩陣。矩陣的行數必須相同,並將矩陣2 加到矩陣1 中成為新的列。並不會更改矩陣1 或矩陣2。 |
|
|
目錄 > |
|
|
colDim(矩陣)Þ運算式 傳回矩陣包含的行數。 附註: 另請參考 rowDim()。 |
|
|
目錄 > |
|
|
colNorm(矩陣)Þ運算式 傳回矩陣中各行元素取絕對值後加總之最大值。 附註: 不得有未定義的矩陣元素。另請參考 rowNorm()。 |
|
|
目錄 > |
|
|
conj(值1)Þ值 conj(列表1)Þ列表 conj(矩陣1)Þ矩陣 傳回引數的共軛複數。 |
|
|
目錄 > |
|
|
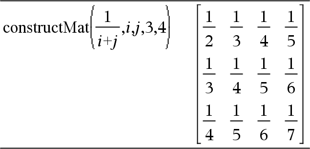
constructMat(Expr,Var1,Var2,numRows,numCols) Þ矩陣 根據引數傳回矩陣。 Expr 代表以 Var1 與 Var2 為變數的運算式。所產生矩陣中的各元素,是由對 Var1 與 Var2 求值的每個增量值之 Expr 而來。 Var1 是自動由第 1 列到第 numRows 列增量而成。Var2 是在每一列中從第 1 行到第 numCols 行增量而成。 |
|
|
目錄 > |
|
|
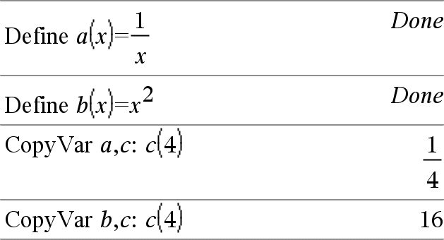
CopyVar Var1, Var2 CopyVar Var1., Var2. CopyVar Var1, Var2 會把 Var1 變數的值複製到 Var2 變數,必要時會建立 Var2。Var1 變數必須有值。 若 Var1 是既有使用者定義函數的名稱,則將該函數的定義複製到 Var2 函數。您必須定義 Var1 函數。 Var1 必須符合變數命名規則,或必須是能化簡成符合規則之變數名稱的間接取值運算式。 |
|
|
CopyVar Var1., Var2.可把 Var1.變數群組的所有成員複製到 Var2.群組,必要時會建立 Var2.。 Var1.必須是既有變數群組的名稱(例如 stat.nn 統計結果),或是用 |
|
|
目錄 > |
|
|
corrMat(列表1,列表2[,...[,列表20]]) 計算擴增矩陣 [列表1, 列表2, ..., 列表20] 的相關矩陣。 |
|
|
µ 鍵 |
|
|
cos(值1)Þ值 cos(列表1)Þ列表
cos(列表1):傳回列表1 中各元素之餘弦的列表。 附註: 系統會根據目前的角度模式設定,將引數解譯為度數角、梯度角或弧度角。您可使用 ¡、 G 或 R來暫時覆寫角度模式。 |
度數角模式:
梯度角模式:
弧度角模式:
|
|
cos(方陣1)Þ方陣 傳回方陣1 的矩陣餘弦。這和計算各元素的餘弦不同。 純量函數 f(A) 對方陣1 (A) 進行運算時,計算結果時所用的算法如下: 計算 A 的特徵值 (li) 和特徵向量 (Vi)。 方陣1 必需可對角化。另外不能有尚未賦值的符號變數。 建立矩陣:
則 A = X B X/且 f(A) = X f(B) X/。例如 cos(A) = X cos(B) X/,其中: cos(B) =
執行所有計算作業時,都使用浮點運算法。 |
弧度角模式:
|
|
µ 鍵 |
|
|
cos/(值1)Þ值 cos/(列表1)Þ列表
cos/(列表1):傳回列表1 各元素之反餘弦的列表。 附註: 系統會根據目前的角度模式設定,將結果傳回為度數角、梯度角或弧度角。 附註: 如果要從鍵盤插入本函數,可輸入 arccos(...)。 |
度數角模式:
梯度角模式:
弧度角模式:
|
|
cos/(方陣1)Þ方陣 傳回方陣1 的矩陣反餘弦。這和計算各元素的反餘弦不同。若要了解計算方式,請參考 cos()。 方陣1 必需可對角化。結果一定會包含浮點數。 |
弧度角模式與直角複數格式:
若要看到完整結果,請按 5,然後使用 7 與 8 移動游標。 |
|
目錄 > |
|
|
cosh(值1)Þ值 cosh(列表1)Þ列表
cosh(列表1):傳回列表1 各元素之雙曲餘弦的列表。 |
度數角模式:
|
|
cosh(方陣1)Þ方陣 傳回方陣1 的矩陣雙曲餘弦。這和計算各元素的雙曲餘弦不同。若要了解計算方式,請參考 cos()。 方陣1 必需可對角化。結果一定會包含浮點數。 |
弧度角模式:
|
|
目錄 > |
|
|
cosh/(值1)Þ值 cosh/(列表1)Þ列表
cosh/(列表1):傳回列表1 各元素之反雙曲餘弦的列表。 附註: 如果要從鍵盤插入本函數,可輸入 arccosh(...)。 |
|
|
cosh/(方陣1)Þ方陣 傳回方陣1 的矩陣反雙曲餘弦。這和計算各元素的反雙曲餘弦不同。若要了解計算方式,請參考 cos()。 方陣1 必需可對角化。結果一定會包含浮點數。 |
弧度角模式與直角複數格式:
若要看到完整結果,請按 5,然後使用 7 與 8 移動游標。 |
|
µ 鍵 |
|
|
cot(值1) Þ 值 cot(列表1) Þ 列表 傳回 Value1 的餘切,或傳回列表1 中各元素之餘切的列表。 附註: 系統會根據目前的角度模式設定,將引數解譯為度數角、梯度角或弧度角。您可使用 ¡、 G 或 R來暫時覆寫角度模式。 |
度數角模式:
梯度角模式:
弧度角模式:
|
|
µ 鍵 |
|
|
cot/(值1)Þ值 cot/(列表1)Þ列表 傳回餘切是值1 的角度,或傳回包含列表1 中各元素之反餘切的列表。 附註: 系統會根據目前的角度模式設定,將結果傳回為度數角、梯度角或弧度角。 附註: 如果要從鍵盤插入本函數,可輸入 arccot(...)。 |
度數角模式:
梯度角模式:
弧度角模式:
|
|
目錄 > |
|
|
coth(值1)Þ值 coth(列表1)Þ列表
|
|
|
目錄 > |
|
|
coth/(值1)Þ值 coth/(列表1)Þ列表 傳回值1 的反雙曲餘切,或傳回包含列表1 中各元素之反雙曲餘切的列表。 附註: 如果要從鍵盤插入本函數,可輸入 arccoth(...)。 |
|
|
目錄 > |
|
|
count(值1或列表1 [,值2或列表2 [,...]])Þ值 傳回引數(會求值成數值)中所有元素的累積個數。 每個引數都可以是運算式、值、列表或矩陣。您可混合資料類型,並使用不同長度的引數。 系統會對列表、矩陣或儲存格範圍的各元素求值,判斷是否應該加入個數之計算。 您可在 Lists & Spreadsheet 應用程式中用儲存格範圍取代任何引數。 空元素會被忽略。如需空元素的詳細資訊,請參考第 這裡 頁。
|
|
|
目錄 > |
|||||||
|
countif(列表,準則)Þ值 傳回列表中符合指定準則之所有元素的累積個數。 準則可以有以下形式:
您可在 Lists & Spreadsheet 應用程式中用儲存格範圍取代列表。 列表中的空元素會遭到忽略。如需空元素的詳細資訊,請參考第 這裡 頁。 |
計算等於 3 的元素之個數。
計算等於「def」的元素之個數。
計算 1 和 3 的個數。
計算 3、5、7 的個數。
計算 1、3、7、9 的個數。 |
|
目錄 > |
|
|
第一個語法
第二個語法 附註: 另請參考 |
|
|
目錄 > |
|
|
crossP(列表1, 列表2)Þ列表 將列表1 和列表2 的向量外積傳回為列表。 列表1 和列表2 的維數必須相同,且必須是 2 維或 3 維。 |
|
|
crossP(向量1, 向量2)Þ向量 所傳回的列向量或行向量(依引數而定),是向量1 和向量2 的向量外積(叉積)。 向量1 和向量2 必須同為列向量或同為行向量。兩個向量的維數必須相同,且必須是 2 維或 3 維。 |
|
|
µ 鍵 |
|
|
csc(值1)Þ值 csc(列表1)Þ列表
|
度數角模式:
梯度角模式:
弧度角模式:
|
|
µ 鍵 |
|
|
csc/(值1) Þ 值 csc/(列表1) Þ 列表 傳回餘割是值1 的角度,或傳回包含列表1 中各元素之反餘割的列表。 附註: 系統會根據目前的角度模式設定,將結果傳回為度數角、梯度角或弧度角。 附註: 如果要從鍵盤插入本函數,可輸入 arccsc(...)。 |
度數角模式:
梯度角模式:
弧度角模式:
|
|
目錄 > |
|
|
csch(值1) Þ 值 csch(列表1) Þ 列表
|
|
|
目錄 > |
|
|
csch/(值) Þ 值 csch/(列表1) Þ 列表 傳回值1 的反雙曲餘割,或傳回包含列表1 中各元素之反雙曲餘割的列表。 附註: 如果要從鍵盤插入本函數,可輸入 arccsch(...)。 |
|
|
目錄 > |
|
|
CubicReg X, Y[, [Freq] [, 類別, 包含]] 計算 X 列表與 Y 列表的 y = a·x3+b·x2+c·x+d 三次多項式迴歸(頻率為 Freq)。stat.results 變數會儲存結果摘要(請參閱第 這裡 頁)。 所有列表的維數都必須相同,包含除外。 X、Y 是自變數和因變數列表。 Freq 是頻率值列表(非必要)。Freq 的每個元素,可用於指定各 X、Y 對應資料點的出現頻率。預設值是 1。所有元素都必須是 | 0 的整數。 類別是 X、Y 對應資料的 包含是一個以上類別代號的列表。只有本列表中類別代號所對應的資料項目,才會包含在計算作業中。 如要了解列表中有空元素時的影響,請參考°ß空元素°®,這裡。 |
|
|
輸出變數 |
說明 |
|
stat.RegEqn |
迴歸方程式:a·x3+b·x2+c·x+d |
|
stat.a、stat.b、stat.c、stat.d |
迴歸係數 |
|
stat.R2 |
判定係數 |
|
stat.Resid |
迴歸殘差 |
|
stat.XReg |
實際用於迴歸的已修改 X 列表中的資料點列表(根據 Freq、類別列表、包含類別的限制) |
|
stat.YReg |
實際用於迴歸的已修改 Y 列表中的資料點列表(根據 Freq、類別列表、包含類別的限制) |
|
stat.FreqReg |
stat.XReg 與 stat.YReg 對應的頻率列表 |
|
目錄 > |
|
|
cumulativeSum(列表1)Þ列表 傳回列表1(從 1 元素開始)中各元素的累積總和列表。 |
|
|
cumulativeSum(矩陣1)Þ矩陣 傳回矩陣1 中各元素的累積總和矩陣。每個元素都是該行從上到下的累積總和。 列表1 或矩陣1 若有空元素,則會在得出的列表或矩陣中產生空元素。如需空元素的詳細資訊,請參考第 這裡 頁。 |
|
|
目錄 > |
|
|
Cycle 立刻把控制權轉到目前迴圈的下一輪迴圈(For、While、Loop)。 Cycle 不可用於三種迴圈結構以外(For、While、Loop)。 輸入 範例的注意事項: 關於輸入多行程式和函數定義的說明,請參閱產品手冊中的「計算工具」章節。 |
以下函數列出從 1 到 100 但略過 50 的整數總和。
|
|
目錄 > |
|
|
向量 4Cylind 附註: 如果要從電腦鍵盤插入本運算子,可輸入 @>Cylind。 以圓柱座標形式 [r,±q, z] 顯示列向量或行向量。 向量必須剛好包含三個元素,可以是行向量也可以是列向量。 |
|
