P
|
Catálogo > |
|
|
P4Rx(rExpr, qExpr) Þexpressão P4Rx(rList, qList) Þlista P4Rx(rMatrix, qMatrix) Þmatriz Devolve a coordenada x equivalente do par (r, q). Nota: O argumento q é interpretado como um ângulo expresso em graus, gradianos ou radianos de acordo com o modo de ângulo actual. Se o argumento for uma expressão, pode utilizar ¡, G ou R para substituir a definição do modo de ângulo temporariamente. Nota: Pode introduzir esta função através da escrita de P@>Rx(...) no teclado do computador. |
No modo de ângulo Radianos:
|
|
Catálogo > |
|
|
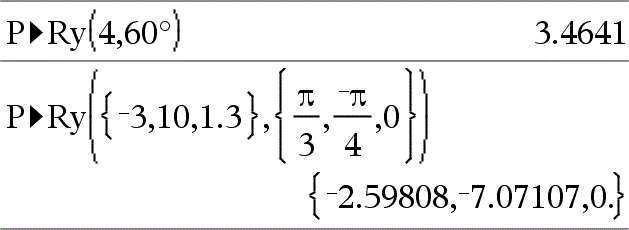
P4Ry(rValue, qValue) Þvalor P4Ry(rList, qList) Þlista P4Ry(rMatrix, qMatrix) Þmatriz Devolve a coordenada y equivalente do par (r, q). Nota: O argumento q é interpretado como um ângulo expresso em graus, gradianos ou radianos de acordo com o modo de ângulo actual. Nota: Pode introduzir esta função através da escrita de P@>Ry(...) no teclado do computador. |
No modo de ângulo Radianos:
|
|
Catálogo > |
|
|
PassErr Passa um erro para o nível seguinte. Se a variável do sistema errCode for zero, PassErr não faz nada. A proposição Else do bloco Try...Else...EndTry deve utilizar ClrErr ou PassErr. Se tiver de processar ou ignorar o erro, utilize ClrErr. Se não souber o que fazer com o erro, utilize PassErr para o enviar para a rotina de tratamento de erros seguinte. Se não existirem mais rotinas de tratamento de erros Try...Else...EndTry pendente, a caixa de diálogo de erros aparecerá como normal. Nota: Consulte também ClrErr, aqui, e Try, aqui. Obs para introdução do exemplo: Para obter instruções sobre como introduzir programas com várias linhas e definições de funções, consulte a secção Calculadora do manual do utilizador do produto. |
Para ver um exemplo de PassErr, consulte o exemplo 2 no comando Try, aqui. |
|
Catálogo > |
|
|
piecewise(Expr1 [, Condição1 [, Expr2 [, Condição2 [, … ]]]]) Devolve as definições para uma função piecewise na forma de uma lista. Pode também criar definições piecewise com um modelo. Nota: Consulte também Modelo de Função por ramos, aqui. |
|
|
Catálogo > |
|
|
poissCdf(l,LimiteInferior,LimiteSuperior)Þnúmero se LimiteInferior e LimiteSuperior forem números, lista se LimiteInferior e LimiteSuperior forem listas poissCdf(l,LimiteSuperior)(para P(0{X{LimiteSuperior)Þnúmero se LimiteSuperior for um número, lista se LimiteSuperior for uma lista Calcula uma probabilidade cumulativa para a distribuição Poisson discreta com a média especificada l. Para P(X { LimiteSuperior), defina LimiteInferior=0 |
|
|
Catálogo > |
|
|
poissPdf(l, ValX) Þnúmero se ValX for um número, lista se ValX for uma lista Calcula uma probabilidade para a distribuição Poisson discreta com a média especificada l. |
|
|
Catálogo > |
|||||||
|
Vector ►Polar Nota: Pode introduzir este operador através da escrita de @>Polar no teclado do computador. Apresenta o vector em forma polar [r∠θ]. O vector tem de ser de dimensão 2 e pode ser uma linha ou uma coluna. Nota: ►Polar é uma instrução de formato de visualização, não uma função de conversão. Só pode utilizá-la no fim de uma linha de entrada e não actualiza ans. Nota: Consulte também ►Rect, aqui. |
|
||||||
|
ValorComplexo 4Polar Apresenta VectorComplexo em forma polar.
ValorComplexo pode ter qualquer forma complexa. No entanto, uma entrada reiθ provoca um erro no modo de ângulo Graus. Nota: Tem de utilizar os parêntesis para uma entrada polar (r∠θ). |
No modo de ângulo Radianos:
No modo de ângulo Gradianos:
No modo de ângulo Graus:
|
|
Catálogo > |
|
|
polyEval(Lista1, Expr1) Þexpressão polyEval(Lista1, Lista2) Þexpressão Interpreta o primeiro argumento como o coeficiente de um polinómio de grau descendente e devolve o polinómio avaliado para o valor do segundo argumento. |
|
|
Catálogo > |
|
|
A primeira sintaxe,
A segunda sintaxe, Nota: Consulte também |
|
|
Catálogo > |
|
|
PowerReg X,Y [, Freq] [, Categoria, Incluir]] Calcula a regressão de potênciay = (a·(x)b)nas listas X e Y com a frequência Freq. Um resumo dos resultados é guardado na variável stat.results (aqui). Todas as listas têm de ter a mesma dimensão, excepto para Incluir. X e Y são listas de variáveis independentes e dependentes. Freq é uma lista opcional de valores de frequência. Cada elemento em Freq especifica a frequência de ocorrência para cada ponto de dados X e Y correspondente. O valor predefinido é 1. Todos os elementos têm de ser números inteiros 0. Categoria é uma lista de códigos de categorias Incluir é uma lista de um ou mais códigos de categorias. Apenas os itens de dados cujo código de categoria está incluído nesta lista são considerados no cálculo. Para mais informações sobre o efeito dos elementos vazios numa lista, consulte “Elementos (nulos) vazios” (aqui). |
|
|
Variável de saída |
Descrição |
|
stat.RegEqn |
Equação de regressão: a·(x)b |
|
stat.a, stat.b |
Parâmetros de regressão |
|
stat.r2 |
Coeficiente de determinação linear para dados transformados |
|
stat.r |
Coeficiente de correlação para dados transformados (ln(x), ln(y)) |
|
stat.Resid |
Resíduos associados ao modelo de potência |
|
stat.ResidTrans |
Resíduos associados ao ajuste linear dos dados transformados |
|
stat.XReg |
Lista de dados na Lista X modificada utilizada na regressão com base nas restrições de Freq, Lista de categorias e Incluir categorias |
|
stat.YReg |
Lista de dados na Lista Y modificada utilizada na regressão com base nas restrições de Freq, Lista de categorias e Incluir categorias |
|
stat.FreqReg |
Lista de frequências correspondentes a stat.XReg e stat.YReg |
|
Catálogo > |
|
|
Prgm Bloco Modelo para criar um programa definido pelo utilizador. Tem de ser utilizado o comando Define, Define BibPub ou Define BibPriv. Bloco pode ser uma afirmação, uma série de afirmações separadas pelo carácter “:” ou uma série de afirmações em linhas separadas. Obs para introdução do exemplo: Para obter instruções sobre como introduzir programas com várias linhas e definições de funções, consulte a secção Calculadora do manual do utilizador do produto. |
Calcule o GCD e visualize os resultados intermédios.
|
|
Consulte P ( ), aqui. |
|
|
|
|
|
Consulte P (), aqui. |
|
|
|
|
|
Catálogo > |
|
|
product(Lista [, Início [, fim ]]) Þexpressão Apresenta o produto dos elementos contidos na Lista. Início e Fim são opcionais. Especificam um intervalo de elementos. |
|
|
product(Matriz1 [, Início [, fim ]]) Þmatriz Devolve um vector da linha com os produtos dos elementos nas colunas de Matriz1. Início e Fim são opcionais. Especificam um intervalo de linhas. Os elementos (nulos) vazios são ignorados. Para mais informações sobre os elementos vazios, consulte aqui. |
|
|
Catálogo > |
|
|
propFrac(Valor1 [, Var ]) Þvalor propFrac(rational_number) devolve rational_number como a soma de um número inteiro e uma fracção com o mesmo sinal e uma magnitudade do denominador maior que a magnitude do numerador. |
|
|
propFrac(rational_expression, Var) devolve a soma das fracções adequadas e um polinómio em relação a Var. O grau de Var no denominador excede o grau de Var no numerador em cada fracção adequada. As potências similares de Var são recolhidas. Os termos e os factores são ordenados com Var como variável principal. Se omitir Var, uma expansão da fracção adequada é efectuada em relação à variável principal. Os coeficientes da parte polinominal são efectuados adequadamente em relação à primeira variável principal, etc. |
|
|
Pode utilizar a função propFrac() para representar as fracções mistas e demonstrar a adição e a subtracção de fracções mistas. |
|
