G
|
Catálogo > |
|
|
gcd(Valor1, Valor2) Þexpressão Devolve o máximo divisor comum dos dois argumentos. O gcd de duas fracções é o gcd dos numeradores divididos pelo lcm dos denominadores. No modo Auto ou Aproximado, o gcd dos números do ponto flutuante fraccionária é 1.0. |
|
|
gcd(Lista1, Lista2) Þlista Devolve os máximos divisores comuns dos elementos correspondentes em Lista1 e Lista2. |
|
|
gcd(Matriz1, Matriz2) Þmatriz Devolve os máximos divisores comuns dos elementos correspondentes em Matriz1 e Matriz2. |
|
|
Catálogo > |
|
|
geomCdf(p,LimiteInferior,LimiteSuperior)Þnúmero se LimiteInferior e LimiteSuperior forem números, lista se LimiteInferior e LimiteSuperior forem listas geomCdf(p,LimiteSuperior)para P(1{X{LimiteSuperior) Þnúmero se LimiteSuperior for um número, lista se LimiteSuperior for uma lista Calcula uma probabilidade geométrica cumulativa do LimiteInferior ao LimiteSuperior com a probabilidade de sucesso especificada p. Para P(X { LimiteSuperior), defina LimiteInferior = 1. |
|
|
Catálogo > |
|
|
geomPdf(p, ValX) Þnúmero se ValX for um número, lista se ValX for uma lista Calcula uma probabilidade em ValX, o número da tentativa em que ocorre o primeiro sucesso, para a distribuição geométrica discreta com a probabilidade de sucesso especificada p. |
|
|
Menu Hub |
|||||||
|
Programar comando: Recupera um valor de um conectado TI-Innovator™ Hub e atribui o valor à variável var. O valor tem de ser pedido:
— ou —
Ocorre uma simplificação implícita. Por exemplo, uma cadeia recebida como “123” é interpretada como um valor numérico. Para preservar a cadeia, usar GetStr em vez de Get. |
Exemplo: pedir o valor atual do sensor de nível de luz incorporado no hub. Usar Get para recuperar o valor e atribuí-lo à variável lightval.
Incorporar o pedido READ no comando Get.
|
||||||
|
Se incluir o argumento opcional statusVar, é atribuído um valor com base no êxito da operação. Um valor de zero significa que não foram recebidos dados. |
|
||||||
|
Na segunda sintaxe, o argumento func() permite que o programa armazene a cadeia recebida como uma definição de função. Esta sintaxe funciona como se o programa executasse o comando: Define func(arg1, ...argn) = cadeia recebida O programa pode então usar a função definida func(). Nota: pode usar o comando Get dentro de um programa definido pelo utilizador mas não dentro de uma função. |
|
Catálogo > |
|
|
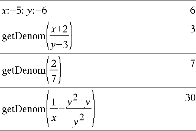
getDenom(Fracção1) Þvalor Transforma o argumento numa expressão que tem um denominador comum simplificado e, em seguida, devolve o denominador. |
|
|
Catálogo > |
|||||||
|
codeTouch([0|1]) ⇒ Cadeiadevolvida Descrição:codeTouch() - permite a um programa em TI-Basic obter introduções com o teclado - portátil, computador de secretária e emulador no computador de secretária. Exemplo:
|
Exemplo:
|
Processar batimentos de teclas:
|
Dispositivo portátil/tecla do emulador |
Ambiente de trabalho |
Valor devolvido |
|---|---|---|
|
Esc |
Esc |
"esc" |
|
Touchpad - Clique superior |
N/D |
"cima" |
|
Ligar |
N/D |
"nome" |
|
|
|
|
|
Scratch apps |
N/D |
"rascunho" |
|
Touchpad - Clique do lado esquerdo |
N/D |
"esquerda" |
|
Touchpad - Clique central |
N/D |
"centro" |
|
Touchpad - Clique do lado direito |
N/D |
"direita" |
|
Doc |
N/D |
"doc" |
|
|
|
|
|
Tab |
Tab |
"tab" |
|
Touchpad - Clique inferior |
Seta para baixo |
"baixo" |
|
Menu |
N/D |
"menu" |
|
|
|
|
|
Ctrl |
Ctrl |
sem devolução |
|
Deslocar |
Deslocar |
sem devolução |
|
Var |
N/D |
"var" |
|
Eliminar |
N/D |
"eliminar" |
|
|
|
|
|
= |
= |
"=" |
|
trig |
N/D |
"trig" |
|
0 a 9 |
0-9 |
"0" ... "9" |
|
Modelos |
N/D |
"modelo" |
|
Catálogo |
N/D |
"cat" |
|
|
|
|
|
^ |
^ |
"^" |
|
X^2 |
N/D |
"quadrado" |
|
/ (tecla de divisão) |
/ |
"/" |
|
* (tecla de multiplicação) |
* |
"*" |
|
e^x |
N/D |
"exp" |
|
10^x |
N/D |
"à potência de 10" |
|
+ |
+ |
"+" |
|
- |
- |
"-" |
|
|
|
|
|
( |
( |
"(" |
|
) |
) |
")" |
|
. |
. |
"." |
|
(-) |
N/D |
"-" (sinal de negação) |
|
Enter |
Enter |
"enter" |
|
|
|
|
|
ee |
N/D |
"E" (notação científica E) |
|
a - z |
a-z |
alfa = letra premida (minúsculas) ("a" - "z") |
|
shift a-z |
shift a-z |
alfa = letra premida "A" - "Z" |
|
|
|
Nota: ctrl-shift ativa as maiúsculas |
|
?! |
N/D |
"?!" |
|
|
|
|
|
pi |
N/D |
"pi" |
|
Marcador |
N/D |
sem devolução |
|
|
|
|
|
, |
, |
"," |
|
Return |
N/D |
"return" |
|
Espaço |
Espaço |
" " (espaço) |
|
|
|
|
|
Inacessível |
Caracteres especiais como @,!,^, etc. |
O carácter é devolvido |
|
N/D |
Teclas de função |
Nenhum carácter devolvido |
|
N/D |
Teclas de controlo do ambiente de trabalho especiais |
Nenhum carácter devolvido |
|
Inacessível |
As restantes teclas do ambiente de trabalho que não estão disponíveis na calculadora durante codeTouch() aguardam uma tecla pressionada. ({, },;, :, ...) |
O mesmo carácter que obtém em Notas (e não numa caixa matemática) |
Nota: é importante salientar que a presença de codeTouch() num programa alterna a forma como alguns eventos são tratados pelo sistema. Alguns destes eventos são descritos em seguida.
Terminar programa e processar evento - Exatamente como se o utilizador abrisse o programa premindo a tecla ON
"Suporte" abaixo significa - O sistema funciona como previsto - o programa continua a ser executado.
|
Evento |
Dispositivo |
Ambiente de trabalho - Software TI-Nspire™ do aluno |
|---|---|---|
|
Consulta rápida |
Terminar programa, processar evento |
Da mesma forma que no portátil ( |
|
Gestão de ficheiros remota
(Incl. o envio do ficheiro 'Exit Press 2 Test' de outro portátil ou computador de secretária-portátil) |
Terminar programa, processar evento |
Da mesma forma que no portátil. ( |
|
Terminar aula |
Terminar programa, processar evento |
Suporte ( |
|
Evento |
Dispositivo |
Ambiente de trabalho - TI-Nspire™ Todas as versões |
|
|
Suporte - Pode gerar comandos com êxito para |
Da mesma forma que no portátil. |
|
Catálogo > |
|
|
getLangInfo()Þabreviatura Apresenta uma abreviatura do nome do idioma activo. Por exemplo, pode utilizá-lo num programa ou função para determinar o idioma actual. Inglês = “en” Dinamarquês = “da” Alemão = “de” Finlandês = “fi” Francês = “fr” Italiano = “it” Holandês = “nl” Flamengo = “nl_BE” Norueguês = “no” Português = “pt” Espanhol = “es” Sueco = “sv” |
|
|
Catálogo > |
|
|
Devolve o estado de bloqueio/desbloqueio actual da variável Var. valor =0: Var está desbloqueada ou não existe. valor =1: Var está bloqueada e não pode ser modificada nem eliminada. |
|
|
Catálogo > |
|
|
getMode(NúmeroInteiroNomeModo) Þvalor getMode(0) Þlista getMode(NúmeroInteiroNomeModo) devolve um valor que representa a definição actual do modo NúmeroInteiroNomeModo. getMode(0) devolve uma lista com os pares de números. Cada par é composto por um número inteiro do modo e um número inteiro da definição. Para uma listagem dos modos e das definições, consulte a tabela abaixo. Se guardar as definições com getMode(0) & var, pode utilizar setMode(var) num programa ou função para restaurar temporariamente as definições na execução da função ou do programa. Consulte setMode(), aqui. |
|
|
Nome do modo |
Número inteiro do modo |
Números inteiros da definição |
|
Ver dígitos |
1 |
1 =Flutuante, 2 =Flutuante1, 3 =Flutuante2, 4 =Flutuante3, 5 =Flutuante4, 6 =Flutuante5, 7 =Flutuante6, 8 =Flutuante7, 9 =Flutuante8, 10 =Flutuante9, 11 =Flutuante10, 12 =Flutuante11, 13 =Flutuante12, 14 =Fixo0, 15 =Fixo1, 16 =Fixo2, 17 =Fixo3, 18 =Fixo4, 19 =Fixo5, 20 =Fixo6, 21 =Fixo7, 22 =Fixo8, 23 =Fixo9, 24 =Fixo10, 25 =Fixo11, 26 =Fixo12 |
|
Ângulo |
2 |
1 =Radianos, 2 =Graus, 3 =Gradianos |
|
Formato exponencial |
3 |
1 =Normal, 2 =Científica, 3 =Engenharia |
|
Real ou Complexo |
4 |
1 =Real, 2 =Rectangular, 3 =Polar |
|
Auto or Aprox. |
5 |
1 =Auto, 2 =Aproximado |
|
Formato vectorial |
6 |
1 =Rectangular, 2 =Cilíndrico, 3 =Esférico |
|
Base |
7 |
1 =Decimal, 2 =Hex, 3 =Binário |
|
Catálogo > |
|
|
getNum(Fracção1) Þvalor Transforma o argumento numa expressão que tem um denominador comum simplificado e, em seguida, devolve o numerador. |
|
|
Hub Menu |
|
|
Programar comando: funciona de forma idêntica ao comando Get, mas o valor recuperado é sempre interpretado como uma cadeia. Em contraste, o comando Get interpreta a resposta como uma expressão a não ser que esteja entre aspas (""). |
Para exemplos, ver Get. |
|
Catálogo > |
|
|
Apresenta uma cadeia de texto que indica o tipo de dados da variável var. Se var não tiver sido definido, apresenta a cadeia de texto "NENHUM". |
|
|
Catálogo > |
|
|
getVarInfo()Þmatriz ou palavra getVarInfo(CadeiaDoNomeDaBiblioteca)Þmatriz ou palavra getVarInfo() devolve uma matriz de informações (nome da variável, tipo, acessibilidade da biblioteca e estado de bloqueio/desbloqueio) para todas as variáveis e os objectos da biblioteca definidos no problema actual. Se não definir nenhuma variável, getVarInfo() apresenta a palavra getVarInfo(NomeDaBiblioteca)apresenta uma matriz com informações para todos os objectos da biblioteca definidos na biblioteca CadeiaDoNomeDaBiblioteca. CadeiaDoNomeDaBiblioteca tem de ser uma palavra (texto entre aspas) ou uma variável da frase. Se a biblioteca CadeiaDoNomeDaBiblioteca não existir, ocorre um erro. |
|
|
Veja o exemplo do lado esquerdo, em que o resultado de getVarInfo() é atribuído à variável vs. A tentar de apresentação da linha 2 ou da linha 3 de vs apresenta uma mensagem de erro de “Matriz ou lista inválida” porque pelo menos um dos elementos nessas linhas (variável b, por exemplo) reavalia-se para uma matriz. Este erro pode também ocorrer quando utilizar Ans para reavaliar um resultado getVarInfo(). O sistema apresenta o erro acima porque a versão actual do software não suporta uma estrutura de matriz generalizada em que um elemento de uma matriz pode ser uma matriz ou uma lista. |
|
|
Catálogo > |
|
|
Goto NomeDefinição Transfere o controlo para a definição NomeDefinição. NomeDefinição tem de ser definido na mesma função com uma instrução Lbl. Obs para introdução do exemplo: Para obter instruções sobre como introduzir programas com várias linhas e definições de funções, consulte a secção Calculadora do manual do utilizador do produto. |
|
|
Catálogo > |
|
|
Expr1 4Grad Þexpressão Converte Expr1 para medição do ângulo de gradianos. Nota: Pode introduzir este operador através da escrita de @>Grad no teclado do computador. |
No modo de ângulo Graus:
No modo de ângulo Radianos:
|
