U
|
Catalogue > |
|
|
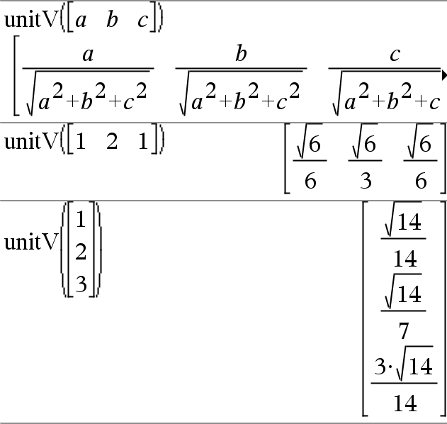
unitV(Vecteur1)Þvecteur Donne un vecteur unitaire ligne ou colonne, en fonction de la nature de Vecteur1. Vecteur1 doit être une matrice d'une seule ligne ou colonne. |
Pour afficher le résultat entier, appuyez sur 5, puis utilisez les touches 7 et 8 pour déplacer le curseur. |
|
Catalogue > |
|
|
Déverrouille les variables ou les groupes de variables spécifiés. Les variables verrouillées ne peuvent être ni modifiées ni supprimées. |
|
