F
|
Catalogue > |
|||||||||||||
|
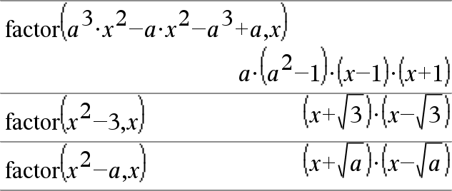
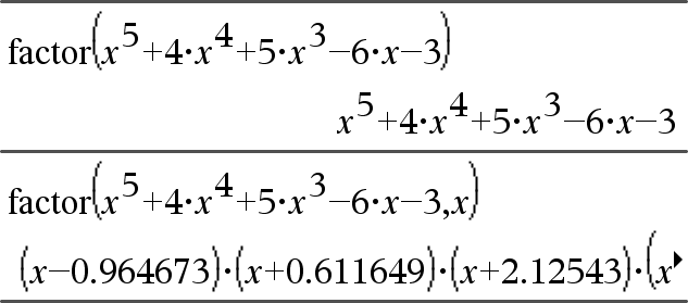
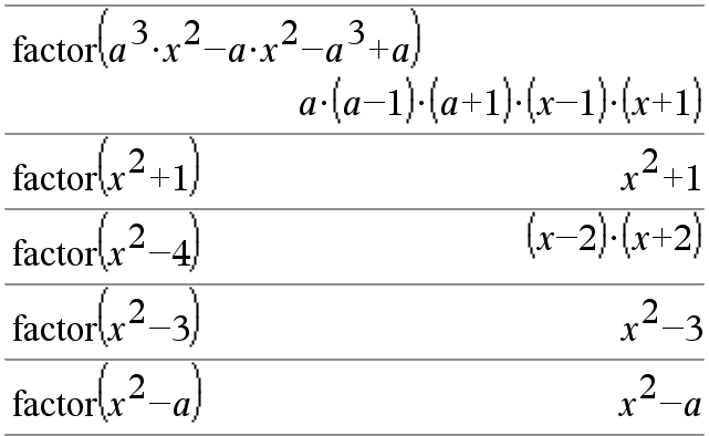
factor(Expr1[, Var])Þexpression factor(Liste1[,Var])Þliste factor(Matrice1[,Var])Þmatrice factor(Expr1) factorise Expr1 en fonction de l'ensemble des variables associées sur un dénominateur commun. La factorisation Expr1 décompose l'expression en autant de facteurs rationnels linéaires que possible sans introduire de nouvelles sous-expressions non réelles. Cette alternative peut s'avérer utile pour factoriser l'expression en fonction de plusieurs variables. |
|
||||||||||||
|
factor(Expr1,Var) factorise Expr1 en fonction de la variable Var. La factorisation de Expr1 décompose l'expression en autant de facteurs réels possible linéaires par rapport à Var, même si cela introduit des constantes irrationnelles ou des sous-expressions qui sont irrationnelles dans d'autres variables. Les facteurs et leurs termes sont triés, Var étant la variable principale. Les mêmes puissances de Var sont regroupées dans chaque facteur. Utilisez Var si la factorisation ne doit s'effectuer que par rapport à cette variable et si vous acceptez les expressions irrationnelles dans les autres variables pour augmenter la factorisation par rapport à Var. Une factorisation incidente peut se produire par rapport aux autres variables. |
|
||||||||||||
|
Avec le réglage Auto du mode Auto ou Approché (Approximate), l'utilisation de Var permet également une approximation des coefficients en virgule flottante dans le cas où les coefficients irrationnels ne peuvent pas être exprimés explicitement en termes de fonctions usuelles. Même en présence d'une seule variable, l'utilisation de Var peut contribuer à une factorisation plus complète. Remarque : voir aussi comDenom() pour obtenir rapidement une factorisation partielle si la fonction factor() est trop lente ou si elle utilise trop de mémoire. Remarque : voir aussi cFactor() pour une factorisation à coefficients complexes visant à chercher des facteurs linéaires. |
|
||||||||||||
|
factor(nombreRationnel) factorise le nombre rationnel en facteurs premiers. Pour les nombres composites, le temps de calcul augmente de façon exponentielle avec le nombre de chiffres du deuxième facteur le plus grand. Par exemple, la factorisation d'un entier composé de 30 chiffres peut prendre plus d'une journée et celle d'un nombre à 100 chiffres, plus d'un siècle. Pour arrêter un calcul manuellement,
Si vous souhaitez uniquement déterminer si un nombre est un nombre premier, utilisez isPrime(). Cette méthode est plus rapide, en particulier si nombreRationnel n'est pas un nombre premier et si le deuxième facteur le plus grand comporte plus de cinq chiffres. |
|
|
Catalog > |
|
|
FCdf(lowBound,upBound,dfNumér,dfDénom)Þnombre si lowBound et upBound sont des nombres, liste si lowBound et upBound sont des listes FCdf(lowBound,upBound,dfNumér,dfDénom)Þnombre si lowBound et upBound sont des nombres, liste si lowBound et upBound sont des listes Calcule la fonction de répartition de la loi de Fisher F de degrés de liberté dfNumer et dfDenom entre lowBound et upBound. Pour P(X { upBound), utilisez lowBound = 0. |
|
|
Catalogue > |
|
|
Fill Expr, VarMatriceÞmatrice Remplace chaque élément de la variable VarMatrice par Expr. VarMatrice doit avoir été définie. |
|
|
Fill Expr, VarListeÞliste Remplace chaque élément de la variable VarListe par Expr. VarListe doit avoir été définie. |
|
|
Catalogue > |
|
|
FiveNumSummary X[,[Fréq][,Catégorie,Inclure]] Donne la version abrégée des statistiques à une variable pour la liste X. Un récapitulatif du résultat est stocké dans la variable stat.results. (Voir ici.) X est une liste qui contient les données. Fréq est une liste facultative de valeurs qui indiquent la fréquence. Chaque élément dans Fréq correspond à une fréquence d'occurrence pour chaque valeur X correspondante. Par défaut, cette valeur est égale à 1. Tous les éléments doivent être des entiers | 0. Catégorie est une liste de codes numériques de catégories pour les valeurs X correspondantes. Inclure est une liste d'un ou plusieurs codes de catégories. Seuls les éléments dont le code de catégorie figure dans cette liste sont inclus dans le calcul. Tout élément vide dans les listes X, Fréq ou Catégorie correspond a un élément vide dans l'ensemble des listes résultantes. Pour plus d'informations concernant les éléments vides, reportez-vous à la ici. |
|
|
Variable de sortie |
Description |
|
stat.MinX |
Minimum des valeurs de x |
|
stat.Q1X |
1er quartile de x |
|
stat.MedianX |
Médiane de x |
|
stat.Q3X |
3ème quartile de x |
|
stat.MaxX |
Maximum des valeurs de x |
|
Catalogue > |
|
|
floor(Expr1)Þentier Donne le plus grand entier { à l'argument (partie entière). Cette fonction est comparable à int(). L'argument peut être un nombre réel ou un nombre complexe. |
|
|
floor(Liste1)Þliste floor(Matrice1)Þmatrice Donne la liste ou la matrice de la partie entière de chaque élément. Remarque : voi aussi ceiling() et int(). |
|
|
Catalogue > |
|
|
fMax(Expr, Var)ÞExpression booléenne fMax(Expr, Var,LimitInf) fMax(Expr, Var,LimitInf,LimitSup) fMax(Expr, Var) | LimitInf{Var{LimitSup Donne une expression booléenne spécifiant les valeurs possibles de Var pour laquelle Expr est à son maximum ou détermine au moins sa limite supérieure. |
|
|
Vous pouvez utiliser l'opérateur "sachant que" (« | ») pour restreindre l'intervalle de recherche et/ou spécifier d'autres contraintes. Avec le réglage Approché (Approximate) du mode Auto ou Approché (Approximate), fMax() permet de rechercher de façon itérative un maximum local approché. C'est souvent plus rapide, surtout si vous utilisez l'opérateur « | » pour limiter la recherche à un intervalle relativement réduit qui contient exactement un maximum local. Remarque : voir aussi fMin() et max(). |
|
|
Catalogue > |
|
|
fMin(Expr, Var)ÞExpression booléenne fMin(Expr, Var,LimitInf) fMin(Expr, Var,LimitInf,LimitSup) fMin(Expr, Var) | LimitInf{Var{LimitSup Donne une expression booléenne spécifiant les valeurs possibles de Var pour laquelle Expr est à son minimum ou détermine au moins sa limite inférieure. Vous pouvez utiliser l'opérateur "sachant que" (« | ») pour restreindre l'intervalle de recherche et/ou spécifier d'autres contraintes. Avec le réglage Approché (Approximate) du mode Auto ou Approché (Approximate), fMin() permet de rechercher de façon itérative un minimum local approché. C'est souvent plus rapide, surtout si vous utilisez l'opérateur « | » pour limiter la recherche à un intervalle relativement réduit qui contient exactement un minimum local. Remarque : voir aussi fMax() et min(). |
|
|
Catalogue > |
|
|
For Var, Début, Fin [, Incrément] Exécute de façon itérative les instructions de Bloc pour chaque valeur de Var, à partir de Début jusqu'à Fin, par incréments équivalents à Incrément. Var ne doit pas être une variable système. Incrément peut être une valeur positive ou négative. La valeur par défaut est 1. Bloc peut correspondre à une ou plusieurs instructions, séparées par un « : ». Remarque pour la saisie des données de l’exemple : Pour obtenir des instructions sur la saisie des définitions de fonction ou de programme sur plusieurs lignes, consultez la section relative à la calculatrice dans votre guide de produit. |
|
|
Catalogue > |
|
|
format(Expr[, chaîneFormat])Þchaîne Donne Expr sous la forme d'une chaîne de caractères correspondant au modèle de format spécifié. Expr doit avoir une valeur numérique. chaîneFormat doit être une chaîne du type : « F[n] », « S[n] », « E[n] », « G[n][c] », où [ ] identifie les parties facultatives. F[n] : format Fixe. n correspond au nombre de chiffres à afficher après le séparateur décimal. S[n] : format Scientifique. n correspond au nombre de chiffres à afficher après le séparateur décimal. E[n] : format Ingénieur. n correspond au nombre de chiffres après le premier chiffre significatif. L'exposant est ramené à un multiple de trois et le séparateur décimal est décalé vers la droite de zéro, un ou deux chiffres. G[n][c] : identique au format Fixe, mais sépare également les chiffres à gauche de la base par groupes de trois. c spécifie le caractère séparateur des groupes et a pour valeur par défaut la virgule. Si c est un point, la base s'affiche sous forme de virgule. [Rc] : tous les formats ci-dessus peuvent se voir ajouter en suffixe l'indicateur de base Rc, où c correspond à un caractère unique spécifiant le caractère à substituer au point de la base. |
|
|
Catalogue > |
|
|
fPart(Expr1)Þexpression fPart(Liste1)Þliste fPart(Matrice1)Þmatrice Donne la partie fractionnaire de l'argument. Dans le cas d'une liste ou d'une matrice, donne les parties fractionnaires des éléments. L'argument peut être un nombre réel ou un nombre complexe. |
|
|
Catalogue > |
|
|
FPdf(ValX,dfNumér,dfDénom)Þnombre si ValX est un nombre, liste si ValX est une liste FPdf(ValX,dfNumér,dfDénom)Þnombre si ValX est un nombre, liste si ValX est une liste Calcule la densité de la loi F (Fisher) de degrés de liberté dfNumér et dfDénom en ValX. |
|
|
Catalogue > |
|
|
freqTable4list(Liste1,listeEntFréq)Þliste Donne la liste comprenant les éléments de Liste1 développés en fonction des fréquences contenues dans listEntFréq. Cette fonction peut être utilisée pour créer une table de fréquences destinée à être utilisée avec l'application Données & statistiques. Liste1 peut être n'importe quel type de liste valide. listEntFréq doit avoir le même nombre de lignes que Liste1 et contenir uniquement des éléments entiers non négatifs. Chaque élément indique la fréquence à laquelle l'élément correspondant de Liste1 doit être répété dans la liste des résultats. La valeur zéro (0) exclut l'élément correspond de Liste1. Remarque : vous pouvez insérer cette fonction à partir du clavier de l'ordinateur en entrant freqTable@>list(...). Les éléments vides sont ignorés. Pour plus d'informations concernant les éléments vides, reportez-vous à la ici. |
|
|
Catalogue > |
|
|
frequency(Liste1,ListeBinaires)Þliste Affiche une liste contenant le nombre total d'éléments dans Liste1. Les comptages sont effectués à partir de plages (binaires) définies par l'utilisateur dans listeBinaires. Si listeBinaires est {b(1), b(2), …, b(n)}, les plages spécifiées sont {?{b(1), b(1)<?{b(2),…,b(n-1)<?{b(n), b(n)>?}. Le résultat comporte un élément de plus que listeBinaires. Chaque élément du résultat correspond au nombre d'éléments dans Liste1 présents dans la plage. Exprimé en termes de fonction countIf(), le résultat est { countIf(liste, ?{b(1)), countIf(liste, b(1)<?{b(2)), …, countIf(liste, b(n-1)<?{b(n)), countIf(liste, b(n)>?)}. Les éléments de Liste1 qui ne sont pas “placés dans une plage” ne sont pas pris en compte. Les éléments vides sont également ignorés. Pour plus d'informations concernant les éléments vides, reportez-vous à la ici. Dans l'application Tableur & listes, vous pouvez utiliser une plage de cellules à la place des deux arguments. Remarque : voir également countIf(), ici. |
Explication du résultat : 2 éléments de Datalist sont {2,5 4 éléments de Datalist sont >2,5 et {4,5 3 éléments de Datalist sont >4,5 L'élément « hello » est une chaîne et ne peut être placé dans aucune des plages définies. |
|
Catalogue > |
|
|
FTest_2Samp Liste1,Liste2[,Fréq1[,Fréq2[,Hypoth]]] FTest_2Samp Liste1,Liste2[,Fréq1[,Fréq2[,Hypoth]]] (Entrée de liste de données) FTest_2Samp sx1,n1,sx2,n2[,Hypoth] FTest_2Samp sx1,n1,sx2,n2[,Hypoth] (Récapitulatif des statistiques fournies en entrée) Effectue un test F sur deux échantillons. Un récapitulatif du résultat est stocké dans la variable stat.results. (Voir ici.) Pour Ha : s1 > s2, définissez Hypoth>0 Pour Ha : s1 ƒ s2 (par défaut), définissez Hypoth =0 Pour Ha : s1 < s2, définissez Hypoth<0 Pour plus d'informations concernant les éléments vides dans une liste, reportez-vous à “Éléments vides”, ici. |
|
|
Variable de sortie |
Description |
|
stat.F |
Statistique Û estimée pour la séquence de données |
|
stat.PVal |
Plus petit seuil de signification permettant de rejeter l'hypothèse nulle |
|
stat.dfNumer |
Numérateur degrés de liberté = n1-1 |
|
stat.dfDenom |
Dénominateur degrés de liberté = n2-1. |
|
stat.sx1, stat.sx2 |
Écarts types de population d'échantillon des séquences de données dans Liste 1 et Liste 2. |
|
stat.x1_bar stat.x2_bar |
Moyenne de population d'échantillon des séquences de données dans Liste 1 et Liste 2. |
|
stat.n1, stat.n2 |
Taille des échantillons |
|
Catalogue > |
|
|
Func Modèle de création d'une fonction définie par l'utilisateur. Bloc peut correspondre à une instruction unique ou à une série d'instructions séparées par le caractère “:” ou à une série d'instructions réparties sur plusieurs lignes. La fonction peut utiliser l'instruction Return pour donner un résultat spécifique. Remarque pour la saisie des données de l’exemple : Pour obtenir des instructions sur la saisie des définitions de fonction ou de programme sur plusieurs lignes, consultez la section relative à la calculatrice dans votre guide de produit. |
Définition d'une fonction par morceaux :
Résultat de la représentation graphique de g(x)
|
