Plantillas de expresiones
Las plantillas de expresiones ofrecen una manera fácil de ingresar expresiones matemáticas en una notación matemática estándar. Cuando se inserta una plantilla, ésta aparece en la línea de ingreso con pequeños bloques en las posiciones donde se pueden ingresar elementos. Un cursor muestra cuál elemento se puede ingresar.
Use las teclas de flechas o presione e para mover el cursor a cada posición del elemento, y escriba un valor o una expresión para el elemento. Presione · o /· para evaluar la expresión.
|
/p teclas |
|
|
|
Ejemplo:
|
|
l teclas |
|
|
Nota: Escriba el primer valor, presione l y después escriba el exponente. Para regresar el cursor a la línea base, presione la flecha derecha (¢). Nota: Vea también ^ (potencia), aquí. |
Ejemplo:
|
|
/q teclas |
|
|
|
Ejemplo:
|
|
/l teclas |
|
|
|
Ejemplo:
|
|
u tecla |
|
|
Exponecial natural e elevado a una potencia Nota: Vea también e^(), aquí. |
Ejemplo:
|
|
/s tecla |
|
|
Calcula la logística para una base especificada. Para un predeterminado de base 10, omitir la base. Nota: Vea también logístic(), aquí. |
Ejemplo:
|
|
Catálogo > |
|
|
Permite crear expresiones y condiciones para una función de compuesto de variables de dos‑piezas. Para agregar una pieza, haga clic en la plantilla y repita la plantilla. Nota: Vea también piecewise(), aquí. |
Ejemplo:
|
|
Catálogo > |
|
|
Permite crear expresiones y condiciones para una función de compuesto de variables de N‑piezas. Indicadores para N.
Nota: Vea también piecewise(), aquí. |
Ejemplo: Vea el ejemplo de plantilla de compuesto de variables (2 piezas). |
|
Catálogo > |
|
|
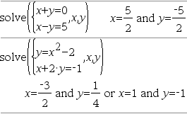
Crea un sistema de dos Nota: Vea también system(), aquí. |
Ejemplo:
|
|
Catálogo > |
|
|
Permite crear un sistema de N
Nota: Vea también system(), aquí. |
Ejemplo: Vea el ejemplo de Sistema de plantilla de ecuaciones (2 piezas). |
|
Catálogo > |
|
|
|
Ejemplo:
|
|
Catálogo > |
|
|
Permite ingresar ángulos en el formato gg°mm’ss.ss’’, donde gg es el número de grados decimales, mm es el número de minutos y ss.ss es el número de segundos. |
Ejemplo:
|
|
Catálogo > |
|
|
Crea una matriz de 2 x 2 |
Ejemplo:
|
|
Catálogo > |
|
|
|
Ejemplo:
|
|
Catálogo > |
|
|
|
Ejemplo:
|
|
Catálogo > |
|
|
La plantilla aparece después de que se le indica especificar el número de filas y columnas.
Nota: Si se crea una matriz con un número grande de filas y columnas, puede llevarse unos cuantos segundos en aparecer. |
Ejemplo:
|
|
Catálogo > |
|
|
Nota: Vea también G() (sumaSec), aquí. |
Ejemplo:
|
|
Catálogo > |
|
|
Nota: Vea también P() (prodSec), aquí. |
Ejemplo:
|
|
Catálogo > |
|
|
La plantilla de primera derivada se puede usar para calcular la primera derivada en un punto numéricamente, usando métodos de autodiferenciación. Nota: Vea también d() (derivada), aquí. |
Ejemplo:
|
|
Catálogo > |
|
|
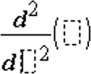
La plantilla de segunda derivada se puede usar para calcular la segunda derivada en un punto numéricamente, usando métodos de autodiferenciación. Nota: Vea también d() (derivada), aquí. |
Ejemplo:
|
|
Catálogo > |
|
|
La plantilla de integral definida se puede usar para calcular la integral definida numéricamente, usando el mismo método que con nInt().
|
Ejemplo:
|





.