N

nand

BooleanExpr1 nand BooleanExpr2 devuelve expresión booleana

BooleanList1 nand BooleanList2 devuelve lista booleana

BooleanMatrix1 nand BooleanMatrix2 devuelve matriz booleana

 

Devuelve la negación de una operación and lógica en los dos argumentos. Devuelve verdadero, falso o una forma simplificada de la ecuación.

Para listas y matrices, devuelve comparaciones elemento por elemento.

Entero1 nandEntero2Þentero

Compara dos números reales enteros bit a bit utilizando una operación nand. Internamente, ambos números enteros se convierten en números binarios de 64 bit con signos. Cuando se comparan bits correspondientes, el resultado es 0 si ambos bits son 1; de lo contrario el resultado es 1. El valor devuelto representa los resultados bit, y se muestran según el modelo Base.

Puede ingresar los números enteros en cualquier base numérica. Para una entrada binaria o hexadecimal, debe utilizar el prefijo 0b o 0h respectivamente. Sin un prefijo, se trata a los números enteros como decimales (base 10).

nCr()

nCr(Valor1, Valor2)Þexpresión

Para entero Valor1 y Valor2 con Valor1 | Valor2 | 0, nCr() es el número de combinaciones de los elementos del Valor1 tomadas del Valor2 a la vez. (Esto también se conoce como un coeficiente binomial).

nCr(Valor, 0)Þ1

nCr(Valor, enteroNeg)Þ0

nCr(Valor, enteroPos)Þ Valor·(ValorN1)... (ValorNenteroPos+1)/ enteroPos!

nCr(Valor, noEntero)Þexpresión!/ ((ValorNnoEntero)!·noEntero!)

nCr(Lista1, Lista2)Þlista

Entrega una lista de combinaciones con base en los pares de elementos correspondientes en las dos listas. Los argumentos deben tener el mismo tamaño que la lista.

nCr(Matriz1, Matriz2)Þmatriz

Entrega una matriz de combinaciones con base en los pares de elementos correspondientes en las dos matrices. Los argumentos deben tener el mismo tamaño que la matriz.

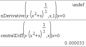
nDerivative()

nDerivative(Expr1,Var=Valor[,Orden])Þvalor

nDerivative(Expr1,Var[,Orden]) | Var=ValorÞvalor

Entrega la derivada numérica calculada con el uso de métodos de autodiferenciación.

Cuando se especifica el Valor, se eliminan todas las asignaciones anteriores de la variable o cualquier sustitución "|" para la variable.

Si la variable Var no contiene un valor numérico, usted debe proporcionar el Valor.

El Orden de la derivada debe ser 1 ó 2.

Nota: El algoritmo de la nDerivative() tiene una limitación: funciona recursivamente a través de la expresión no simplificada, determinando el valor numérico de la primera derivada (y de la segunda, si aplica) y la evaluación de cada subexpresión, lo que puede conllevar a un resultado inesperado.

Tome en consideración el ejemplo de la derecha. La primera derivada de x·(x^2+x)^(1/3) en x=0 es igual a 0. Sin embargo, dado que la primera derivada de la subexpresión (x^2+x)^(1/3) es indefinida en x=0, y este valor se usa para calcular la derivada de la expresión total, nDerivative() reporta el resultado como indefinido y despliega un mensaje de advertencia.

Si usted encuentra esta limitación, verifique la solución en forma gráfica. Usted también puede tratar de usar centralDiff().

newList() (nuevaLista)

newList(elementosNum)Þlista

Entrega una lista con una dimensión de elementosNum. Cada elemento es cero.

newMat()

newMat(filasNum, columnasNum)Þmatriz

Entrega una matriz de ceros con la dimensión filasNum por columnasNum.

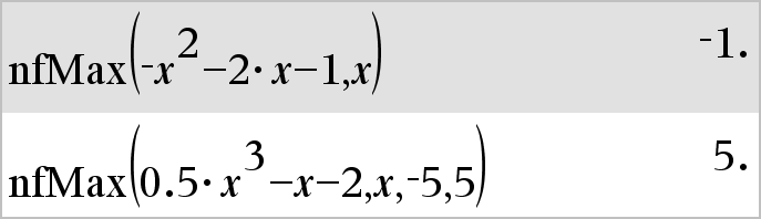
nfMax()

nfMax(Expr, Var)Þvalor

nfMax(Expr, Var, límiteInferior)Þvalor

nfMax(Expr, Var, límiteInferior, límiteSuperior)Þvalor

nfMax(Expr, Var) | límiteInferior{Var{límiteSuperiorÞvalor

Entrega un valor numérico candidato de la variable Var donde ocurre el local máximo de Expr .

Si proporciona el límite inferior y el límite superior, la función buscará en el intervalo cerrado [límite Inferior,límite superior] el valor del máximo local en la función.

nfMín()

nfMin(Expr, Var)Þvalor

nfMin(Expr, Var, límiteInferior)Þvalor

nfMin(Expr, Var, límiteInferior, límiteSuperior)Þvalor

nfMin(Expr, Var) | límiteInferior{Var{límiteSuperiorÞvalor

Entrega un valor numérico candidato de la Var donde ocurre el local mínimo de Expr .

Si proporciona el límite inferior y el límite superior, la función buscará en el intervalo cerrado [límite Inferior,límite superior] el valor del minimo local en la función.

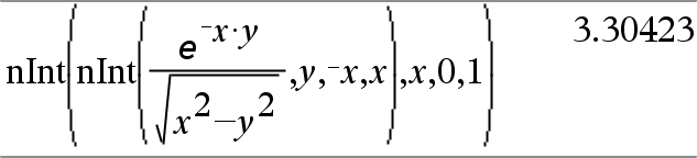
nInt()

nInt(Expr1, Var, Inferior, Superior)Þexpresión

Si el integrando Expr1 no contiene ninguna variable que no sea Var, y si Inferior y Superior son constantes, positiva ˆ o negativa ˆ, entonces nInt() entrega una aproximación de (Expr1, Var, Inferior, Superior). Esta aproximación es un promedio ponderado de algunos valores muestra del integrando en el intervalo Inferior<Var<Superior.

La meta es seis dígitos significativos. El logaritmo adaptable termina cuando parece probable que la meta se ha alcanzado, o bien cuando parece improbable que las muestras adicionales producirán una mejora importante.

Se desplegará una advertencia ("Exactitud cuestionable") cuando parece que la meta no se ha alcanzado.

Anide nInt() para hacer una integración numérica múltiple. Los límites de la integración pueden depender de las variables de integración afuera de los mismos.

nom()

nom(tasaEfectiva,CpA)Þvalor

Función financiera que convierte la tasa de interés efectiva anual tasaEfectiva en una tasa nominal, con CpA dado como el número de periodos compuestos por año.

tasaEfectiva debe ser un número real y CpA debe ser un número real > 0.

Nota: Vea también eff(), aquí.

nor

BooleanoExpr1 norBooleanoExpr2 devuelve expresión booleana

BooleanaLista1 norBooleanaLista2 devuelve lista booleana

BooleanaMatriz1 norBooleanaMatriz2 devuelve matriz booleana

 

Devuelve la negación de una operación or lógica en los dos argumentos. Devuelve verdadero, falso o una forma simplificada de la ecuación.

Para listas y matrices, devuelve comparaciones elemento por elemento.

Entero1 norEntero2Þentero

Compara dos números reales enteros bit a bit utilizando una operación nor. Internamente, ambos números enteros se convierten en números binarios de 64 bit y con signos. Cuando se comparan bits correspondientes, el resultado es 1 si ambos bits son 1; de lo contrario el resultado es 0. El valor devuelto representa los resultados bit, y se muestran según el modelo Base.

Puede ingresar los números enteros en cualquier base numérica. Para una entrada binaria o hexadecimal, debe utilizar el prefijo 0b o 0h respectivamente. Sin un prefijo, se trata a los números enteros como decimales (base 10).

norm()

norm(Matriz)Þexpresión

norm(Vector)Þexpresión

Entrega la norma Frobenius.

normCdf() (CdfNormal)

normCdf(límiteInferior,límiteSuperior[,m[,s]])Þnúmero si límiteInferior y límiteSuperior son números, lista si límiteInferior y límiteSuperior son listas

Resuelve la probabilidad de distribución normal entre límiteInferior y límiteSuperior para m (predeterminado=0) y s (predeterminado=1) especificados.

Para P(X { límiteSuperior), configure límiteInferior = .9E999.

 

normPdf()

normPdf(ValX[,m[,s]])Þnúmero si ValX es un número, lista si ValX es una lista

Resuelve la función de densidad de probabilidad para la distribución normal en un valor ValX especificado para m y s especificados.

 

not

not BooleanaÞexpresión Booleana

Entrega verdadero, falso o una forma simplificada del argumento.

not Entero1Þentero

Entrega el complemento de uno de un entero real. En forma interna, Entero1 se convierte en un número binario de 64 bits signado. El valor de cada bit se invierte (0 se convierte en 1, y viceversa) para el complemento de uno. Los resultados se despliegan de acuerdo con el modo de la Base.

Usted puede ingresar el entero en cualquier base de números. Para un ingreso binario o hexadecimal, se debe usar el prefijo 0b ó 0h, respectivamente. Sin un prefijo, el entero se trata como decimal (base 10).

Si se ingresa un entero decimal que es demasiado grande para una forma binaria de 64 bits firmada, se usa una operación de módulo simétrico para llevar el valor al rango apropiado. Para obtener más información, vea 4Base2,  aquí.

En modo de base hexadecimal:

Importante: Cero, no la letra O.

 

 

En modo de base binaria:

Para ver el resultado completo, presione 5 y después use 7 y 8 para mover el cursor.

Nota: Un ingreso binario puede tener hasta 64 dígitos (sin contar el prefijo 0b). Un ingreso hexadecimal puede tener hasta 16 dígitos.

nPr() (prN)

nPr(Valor1, Valor2)Þexpresión

Para entero Valor1 y Valor2 con Valor1 | Valor2 | 0, prN() es el número de permutaciones de los elementos del Valor1 tomadas del Valor2 a la vez.

nPr(Valor, 0)Þ1

nPr(Valor, enteroNeg)Þ 1/((Valor+1)·(Valor+2)... (ValorNenteroNeg))

nPr(Valor, enteroPos)Þ Valor·(ValorN1)... (ValorNenteroPos+1)

nPr(Valor, noEntero)ÞValor! / (ValorNnoEntero)!

nPr(Lista1, Lista2)Þlista

Entrega una lista de permutaciones con base en los pares de elementos correspondientes en las dos listas. Los argumentos deben tener el mismo tamaño que la lista.

nPr(Matriz1, Matriz2)Þmatriz

Entrega una matriz de permutaciones con base en los pares de elementos correspondientes en las dos matrices. Los argumentos deben tener el mismo tamaño que la matriz.

npv() (vpn)

npv(TasaInterés,FEO,ListaFE[,FrecFE])

Función financiera que calcula el valor presente neto; la suma de los valores presentes para las entradas y salidas de efectivo. Un resultado positivo para el vpn indica una inversión rentable.

tasaInterés es la tasa por la que se descuentan los flujos de efectivo (el costo del dinero) durante un periodo.

FE0 es el flujo de efectivo inicial en tiempo 0; debe ser un número real.

ListaFE es una lista de cantidades de flujo de efectivo después del flujo de efectivo inicial FE0.

FrecFE es una lista en la cual cada elemento especifica la frecuencia de ocurrencia para una cantidad de flujo de efectivo (consecutivo) agrupado, que es el elemento correspondiente de la ListaFE. La predeterminada es 1; si usted ingresa valores, éstos deben ser enteros positivos < 10,000.

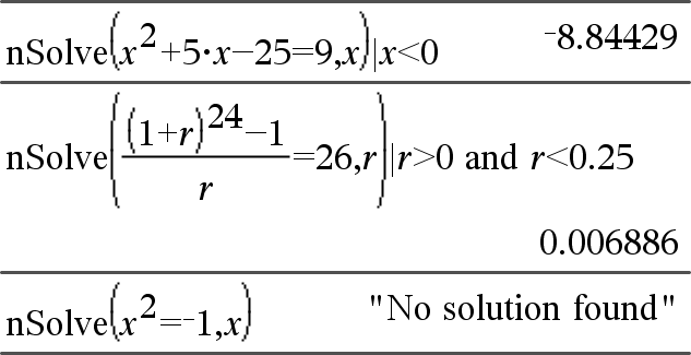
nSolve() (solucionN)

nSolve(Ecuación,Var[=Cálculo])Þnúmero de error_cadena

nSolve(Ecuación,Var[=Cálculo],límiteInferior) Þnúmero de error_cadena

nSolve(Ecuación,Var[=Cálculo],límiteInferior,límiteSuperior) Þnúmero de error_cadena

nSolve(Ecuación,Var[=Cálculo]) | límiteInferior{Var{límiteSuperior Þnúmero de error_cadena

Busca iterativamente una solución numérica real aproximada para Ecuación para su variable uno. Especifique la variable como:

variable

– o –

variable = número real

Por ejemplo, x es válida y también lo es x=3.

Nota: Si hay varias soluciones, usted puede usar un cálculo para ayudar a encontrar una solución particular.

nSolve() intenta determinar un punto donde la residual es cero o dos puntos relativamente cercanos donde la residual tiene signos opuestos y la magnitud de la residual no es excesiva. Si no puede lograr esto al usar un número modesto de puntos de muestra, entrega la cadena "ninguna solución encontrada".