Previous TopicNext Topic
Sie befinden sich hier: Willkommen zur TI-Nspire™ Applikation für iPad® > Applikation Graphs > Verwenden des Werkzeugs Berechnen

Verwenden des Werkzeugs Berechnen

Das Werkzeug Berechnen ist in den Applikationen Graphs und Geometry verfügbar. Sie können damit einen mathematischen Ausdruck bewerten, den Sie als Textobjekt eingegeben haben. Sie können einen bewerteten Ausdruck bearbeiten und dann erneut bewerten.

Eingabe des Ausdrucks

1. Tippen Sie auf Werkzeuge   und wählen Sie Aktionen >Text.
2. Tippen Sie auf den Arbeitsbereich, um das Textfeld zu positionieren und die Tastatur anzuzeigen.
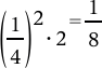
3. Geben Sie den Ausdruck ein, z. B. (1/4)2*2, und tippen Sie dann auf die EINGABETASTE.

Hinweis: Verwenden Sie keine Variablen im Ausdruck.

Berechnen des Ergebnisses

1. Tippen Sie auf Extras   und wählen Sie Aktionen > Berechnen.
2. Das Werkzeug Berechnen wird in der Symbolleiste angezeigt und Sie werden aufgefordert, einen Ausdruck für die Berechnung auszuwählen.
3. Tippen Sie auf das Textobjekt, um den Ausdruck zu bewerten.

 

© 2013-2020 Texas Instruments Incorporated