Previous TopicNext Topic
Sie befinden sich hier: Willkommen zur TI-Nspire™ Applikation für iPad® > Applikation Graphs > Grafische Darstellung eines Streudiagramms

Grafische Darstellung eines Streudiagramms

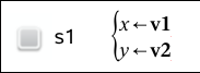
1. Tippen Sie in der Applikation Graphs auf Extras  und wählen Sie Graph- Eingabe/Bearbeitung > Streudiagramm.

2. Verwenden Sie eine der folgenden Methoden, um zwei Listen für die Darstellung als x und y anzugeben.
- Tippen Sie auf , um eine Listenvariable auszuwählen, die Sie im aktuellen Problem definiert haben.
- Geben Sie den Namen einer vorhandenen Listenvariable ein, z. B. v1.
- Geben Sie die Listenelemente direkt ein (z. B. {1,2,3}).

3. Tippen Sie auf die EINGABETASTE, um die Daten grafisch darzustellen. Vergrößern Sie dann den Arbeitsbereich, um die aufgezeichneten Daten anzuzeigen.

 

© 2013-2020 Texas Instruments Incorporated