Beispiel: Sie können eine Verteilung zur Anpassung des „Normal Pdf“-Verteilungsmodells berechnen.
| 1. | Wählen Sie in Spalte A die Formelzelle (zweite Zelle von oben) aus. |
| 2. | Klicken Sie auf das Menü Statistik > Verteilungen > Normal Pdf, um das Verteilungsmodell auszuwählen. |
Das Dialogfeld Normal Pdf wird geöffnet und zeigt Felder an, in denen Sie Argumente für die Berechnung auswählen oder eingeben können.
| - | Drücken Sie die Tabulatortaste, um zwischen den Feldern zu wechseln, und vervollständigen Sie die einzelnen Argumente. Sie können Werte eingeben oder aus einer Dropdown-Liste auswählen: |
| - | X-Wert: Klicken Sie auf den Dropdown-Pfeil, um eine Liste im Problem auszuwählen, die die x-Werte für die Berechnung liefern soll. |
| - | Mittelwert: Geben Sie einen Wert für den Mittelwert ein oder klicken Sie auf den Dropdown-Pfeil, um eine Variable auszuwählen, die den Mittelwert enthält. |
| - | Standardabweichung: Geben Sie einen Wert für die Standardabweichung ein oder wählen Sie eine Variable, die die Standardabweichung enthält. |
| 3. | Klicken Sie auf das Kontrollkästchen Zeichnen, um die Verteilung in Data & Statistics darzustellen. |
Hinweis: Die Option Zeichnen ist nicht für alle Verteilungen verfügbar.
| 4. | Klicken Sie auf OK. |
Lists & Spreadsheet fügt zwei Spalten ein: eine mit den Namen der Ergebnisse und eine mit den entsprechenden Werten. Die Ergebnisse werden in Data & Statistics dargestellt.
Hinweis: Die Ergebnisse sind mit den Quelldaten verknüpft. Wenn Sie zum Beispiel einen Wert in Spalte A ändern, wird die Verteilungsgleichung automatisch aktualisiert.
Die folgenden Verteilungen sind in der Applikation Lists & Spreadsheet verfügbar. Weitere Informationen zu diesen Funktionen finden Sie im TI‑Nspire™-Handbuch.
| • | Um ein einzelnes Verteilungsergebnis auf der Grundlage eines einzelnen Wertes zurückzugeben, geben Sie die Funktion in eine einzelne Zelle ein. |
| • | Um eine Liste mit Verteilungsergebnissen auf der Grundlage einer Werteliste zurückzugeben, geben Sie die Funktion in eine Formelzelle einer Spalte ein. In diesem Fall geben Sie eine Liste (Spalte) an, die die Werte enthält. Für jeden Wert in der Liste gibt die Verteilung ein entsprechendes Ergebnis zurück. |
Hinweis: Für Verteilungsfunktionen, die die Option „Zeichnen“ unterstützen (normPDF, t PDF, χ² Pdf und F Pdf), ist die Option nur verfügbar, wenn Sie die Verteilungsfunktion in eine Formelzelle eingeben.
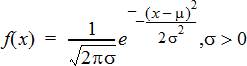
Berechnet die Wahrscheinlichkeitsdichtefunktion (pdf) für die Normalverteilung an einem bestimmten x-Wert. Die Standardwerte sind Mittelwert μ=0 und Standardabweichung σ=1. Die Wahrscheinlichkeitsdichtefunktion (pdf) lautet:
Diese Verteilung wird verwendet, um die Wahrscheinlichkeit des Auftretens eines bestimmten Werts in einer Normalverteilung zu bestimmen. Die Option 'Zeichnen' ist verfügbar, wenn 'Normal PDF' aus einer Formelzelle aufgerufen wird.
Wenn Sie aus der Formelzelle auf Verteilungen zugreifen, müssen Sie aus dem Dropdown-Menü eine gültige Liste auswählen, um unerwartete Ergebnisse zu vermeiden. Beim Zugriff von einer Zelle aus müssen Sie eine Zahl für den x-Wert angeben. Die Verteilung gibt die Wahrscheinlichkeit zurück, mit der der angegebene Wert auftritt.
Berechnet die Normalverteilungswahrscheinlichkeit zwischen Untere Grenze und Obere Grenze für den angegebenen Mittelwert μ (Standard=0) und die Standardabweichung s (Standard=1). Sie können das Kontrollkästchen Zeichnen (Bereich schraffieren) aktivieren, damit der Bereich zwischen der Ober- und Untergrenze schraffiert wird. Bei Änderungen an der ursprünglichen Unteren Grenze bzw. Oberen Grenze wird die Verteilung automatisch aktualisiert.
Diese Verteilung ist hilfreich bei der Bestimmung der Wahrscheinlichkeit des Auftretens eines Werts zwischen der unteren und der oberen Grenze einer Normalverteilung. Sie entspricht der Suche nach der Fläche zwischen den Grenzen unter der angegebenen Normalkurve.
Berechnet die inverse kumulative Normalverteilungsfunktion für eine bestimmte Fläche unter der Normalverteilungskurve, die durch Mittelwert μ und Standardabweichung s festgelegt ist.
Diese Verteilung ist hilfreich bei der Bestimmung des x-Wertes von Daten im Bereich zwischen 0 und x<1 bei bekanntem Durchschnittswert.
Berechnet die Wahrscheinlichkeitsdichtefunktion (pdf) für die t‑Verteilung an einem bestimmten xWert. df (Freiheitsgrade) muss > 0 sein. Die Wahrscheinlichkeitsdichtefunktion (pdf) lautet:
Diese Verteilung ist hilfreich bei der Bestimmung der Wahrscheinlichkeit des Auftretens eines Werts, wenn die Populations-Standardabweichung unbekannt und die Stichprobengröße klein ist. Die Option Zeichnen ist verfügbar, wenn t Pdf aus einer Formelzelle aufgerufen wird.
Berechnet für eine Student-t-Verteilung zwischen Untere Grenze und Obere Grenze für vorgegebene df (Freiheitsgrade). Sie können das Kontrollkästchen Zeichnen (Bereich schraffieren) aktivieren, damit der Bereich zwischen den beiden Grenzen schraffiert wird. Bei Änderungen an der ursprünglichen Unteren Grenze bzw. Oberen Grenze wird die Verteilung automatisch aktualisiert.
Diese Verteilung ist hilfreich bei der Bestimmung der Wahrscheinlichkeit des Auftretens eines Werts innerhalb eines durch Obergrenze und Untergrenze definierten Intervalls für eine normalverteilte Population, wenn die Populations-Standardabweichung unbekannt ist.
Berechnet die inverse kumulative t‑-Wahrscheinlichkeitsfunktion, die durch Freiheitsgrade df für eine bestimmte Fläche unter der Kurve festgelegt ist.
Diese Verteilung ist hilfreich bei der Bestimmung der Wahrscheinlichkeit des Auftretens von Daten im Bereich von 0 bis x<1. Diese Funktion wird verwendet, wenn Mittelwert und/oder Standardabweichung einer Population unbekannt sind.
Berechnet die Wahrscheinlichkeitsdichtefunktion (pdf) für die c2 (Chi‑Quadrat)-Verteilung an einem bestimmten xWert. df (Freiheitsgrade) muss > 0 sein. Die Wahrscheinlichkeitsdichtefunktion (pdf) lautet:
Diese Funktion ist hilfreich bei der Bestimmung der Wahrscheinlichkeit des Auftretens eines angegebenen Werts einer Population mit einer c2 -Verteilung. Die Option Zeichnen ist verfügbar, wenn c2 Pdf aus einer Formelzelle aufgerufen wird.
Berechnet die c2 (Chi‑Quadrat) Verteilungswahrscheinlichkeit zwischen UntereGrenze und ObereGrenze für die angegebenen df (Freiheitsgrade). Sie können das Kontrollkästchen Zeichnen (Bereich schraffieren) aktivieren, damit der Bereich zwischen der Ober- und Untergrenze schraffiert wird. Bei Änderungen an der ursprünglichen Ober- oder Untergrenze wird die Verteilung automatisch aktualisiert.
Diese Funktion ist hilfreich bei der Bestimmung der Wahrscheinlichkeit des Auftretens eines Werts innerhalb vorgegebener Grenzen einer Population mit einer c2-Verteilung.
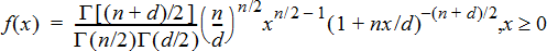
Berechnet die Wahrscheinlichkeitsdichtefunktion (pdf) für die F-Verteilung bei einem bestimmten x-Wert. Zähler df (Freiheitgrade) und Nenner df müssen ganze Zahlen > 0 sein. Die Wahrscheinlichkeitsdichtefunktion (pdf) lautet:
|
wobei |
n = Freiheitsgrade des Zählers |
Diese Verteilung ist hilfreich bei der Bestimmung der Wahrscheinlichkeit, dass zwei Stichproben dieselbe Varianz haben. Die Option Zeichnen ist verfügbar, wenn F Pdf aus einer Formelzelle aufgerufen wird.
Berechnet die F-Verteilungswahrscheinlichkeit zwischen UntereGrenze und ObereGrenze für die angegebenen FreiGradZähler (Freiheitsgrade) und FreiGradNenner. Sie können das Kontrollkästchen Zeichnen (Bereich schraffieren) aktivieren, damit der Bereich zwischen der Ober- und Untergrenze schraffiert wird. Bei Änderungen an der ursprünglichen Ober- oder Untergrenze wird die Verteilung automatisch aktualisiert.
Diese Verteilung ist hilfreich bei der Bestimmung der Wahrscheinlichkeit, dass eine einzelne Beobachtung in den Bereich zwischen der unteren und der oberen Grenze fällt.
Berechnet die Wahrscheinlichkeit bei x für die diskrete Binomialverteilung mit der angegebenen Anzahl der Versuche und der Wahrscheinlichkeit für den Erfolg (p) in jedem Einzelversuch. Der Parameter x kann eine ganze Zahl oder eine Liste ganzer Zahlen sein. 0{p{1 muss wahr sein. Anzahl der Versuche muss eine ganze Zahl > 0 sein. Wenn Sie x nicht angeben, wird eine Liste mit Wahrscheinlichkeiten von 0 bis Anzahl der Versuche zurückgegeben. Die Wahrscheinlichkeitsdichtefunktion (pdf) lautet:
wobei n = Anzahl der Versuche
Diese Verteilung ist hilfreich bei der Bestimmung der Erfolgswahrscheinlichkeit in einem Erfolg/Misserfolg-Versuch bei nVersuchen. Sie können diese Verteilung beispielsweise verwenden, um vorherzusagen, mit welcher Wahrscheinlichkeit beim 5. Wurf einer Münze Wappen oben liegt.
Berechnet die kumulative Wahrscheinlichkeit für die diskrete Binomialverteilung mit n Versuchen und der Wahrscheinlichkeit p für den Erfolg in jedem Einzelversuch.
Diese Verteilung ist hilfreich bei der Bestimmung der Wahrscheinlichkeit eines Erfolgs bei einem Versuch, bevor alle Versuche abgeschlossen sind. Wenn zum Beispiel beim Münzenwerfen "Kopf" als erfolgreicher Wurf betrachtet wird und Sie die Münze 10 Mal werfen möchten, würde diese Verteilung vorhersagen, wie groß die Wahrscheinlichkeit ist, dass bei den 10 Würfen mindestens einmal der Kopf oben liegt.
Berechnet die Wahrscheinlichkeit bei x für die diskrete Poisson-Verteilung mit dem angegebenen Mittelwert μ, bei dem es sich um eine reelle Zahl > 0 handeln muss. x kann eine ganze Zahl oder eine Liste ganzer Zahlen sein. Die Wahrscheinlichkeitsdichtefunktion (pdf) lautet:
Diese Verteilung kann z.B. dafür benutzt werden, vor dem Beginn eines Versuchs die Wahrscheinlichkeit zu bestimmen, eine bestimmte Anzahl an Erfolgen zu erzielen. Sie könnten diese Berechnung beispielsweise verwenden, um vorherzusagen, wie oft bei 8 Würfen einer Münze der Kopf oben liegt.
Berechnet die kumulative Wahrscheinlichkeit für die diskrete Poisson-Verteilung mit dem vorgegebenen Mittelwert l.
Diese Verteilung ist hilfreich bei der Bestimmung der Wahrscheinlichkeit, dass eine bestimmte Anzahl an Erfolgen zwischen der oberen und der unteren Grenze eines Versuchs eintritt. Sie können diese Berechnung beispielsweise verwenden, um die Anzahl der Köpfe zwischen dem dritten und dem achten Münzwurf vorherzusagen.
Berechnet die Wahrscheinlichkeit an einem x-Wert, die Anzahl der Einzelversuche, bis der erste Erfolg eingetreten ist, für die diskrete geometrische Verteilung mit der vorgegebenen Erfolgswahrscheinlichkeit p. 0{p{1 muss wahr sein. x kann eine ganze Zahl sein oder eine Liste mit ganzen Zahlen. Die Wahrscheinlichkeitsdichtefunktion (pdf) lautet:
Diese Verteilung ist hilfreich bei der Bestimmung der am wahrscheinlichsten erforderlichen Anzahl von Versuchen, bis ein Erfolg erzielt wird. Sie können diese Berechnung beispielsweise benutzen, um die Anzahl der durchzuführenden Münzwürfe vorherzusagen, bis der Kopf zum ersten Mal oben liegt.
Berechnet die kumulative geometrische Wahrscheinlichkeit von UntereGrenze bis ObereGrenze mit der angegebenen Erfolgswahrscheinlichkeit p.
Diese Verteilung ist hilfreich bei der Bestimmung der Wahrscheinlichkeit in Verbindung mit dem ersten Erfolg bei den Versuchen 1 bis n. Sie können beispielsweise diese Berechnung benutzen, um die Wahrscheinlichkeit zu bestimmen, mit der Wapp bei Wurf #1, #2, #3, ..., #n oben liegt.
Berechnen von Verteilungen