範例: 可以由計算分佈來擬合「常態 Pdf」分佈模型。
| 1. | 在欄 A 中按一下欄公式儲存格(最上方往下數的第二個儲存格)。 |
| 2. | 按一下統計>分佈 >常態 Pdf 來選擇分佈模型。 |
畫面上將會開啟常態Pdf對話方塊,並顯示可讓您輸入或選取用於計算之引數的欄位。
| - | 若有必要,可以按 Tab 以在欄位之間移動並提供每個引數。 可以手動輸入值,或從下拉式列表中選取。 |
| - | X 值: 按一下下拉式箭號,在問題中選取任何列表以提供用於計算的x值。 |
| - | 平均值: 輸入平均值的值,或按一下下拉式箭號選取包含平均值的變數。 |
| - | 標準差: 輸入標準差的值,或選取包含標準差的變數。 |
| 3. | 按一下 [繪圖] 核取方塊,檢視在 [數據 & 統計] 中繪製的分佈。 |
附註: [繪圖]選項並非在所有的分佈中都可以使用。
| 4. | 按一下 確定。 |
[序列 & 試算表] 將插入兩個欄:一個包含結果名稱,一個包含對應的值。 結果將繪製於 [數據 & 統計] 中。
附註: 結果連結至原始資料。 例如,當變更欄 A 內的值時,方程式將會進行自動更新。
以下是可以在 [序列 & 試算表] 應用程式中使用的分佈。 如需關於這些函數的詳細資訊,請參閱《TI‑Nspire™ 參考指南》。
| • | 若要返回依據單一值的單一分佈結果,請在單一儲存格中輸入函數。 |
| • | 若要返回依據一組值的一組分佈結果,請在欄公式儲存格中輸入函數。 在此情況中,可以指定具有值的列表(欄)。 分佈將返回列表內每個值的對應結果。 |
附註: 對於支援繪圖選項的分佈函數(normPDF、t PDF、χ² Pdf 和 F Pdf)而言,該選項只當在公式儲存格內輸入分佈函數時可以使用。
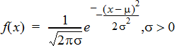
計算特定 x 值常態分佈的機率密度函數 (pdf)。 預設的平均值為 μ=0,標準差為 σ=1。 機率密度函數 (pdf) 為:
此分佈決定在常態分佈中某個值的出現機率。 從公式儲存格調用常態 PDF 時,即可使用繪圖選項。
當您從公式儲存格存取分佈時,您必須從下拉式功能表中選取一個有效的列表來避免未預期的結果。 若從儲存格存取,必須指定x-值的數字。 分佈會返回所指定值將會發生的機率。
計算在指定的平均值的μ(預設值=0)和標準差,s(預設值=1)的下 限和上 限之間的常態分佈機率。 可以按一下 [繪圖(網底區域)] 核取方塊,以共享下限和上限之間的區域。 變更為初始下 限和上 限將會自動更新分佈。
此分佈可幫助於常態分佈中,判斷下限和上限之間任何值出現的機率。 這相當於在指定的常態曲線下,尋找下限和上限之間的區域。
計算在由平均值,m和標準差,s指定的常態分佈曲線下,指定區域的反累積常態分佈函數。
此分佈有幫助於在已知百分比的情況下,判斷從 0 到 x<1 區域內的資料 x-值,。
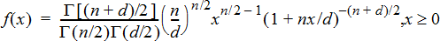
計算在所指定 x 值 t‑ 分佈的機率密度函數 (pdf)。df (自由度)必須為 > 0。 機率密度函數 (pdf) 為:
此分布有助於判斷在母群體標準差為未知且樣本較小時,某個值的出現機率。 從公式儲存格調用t Pdf時,即可使用繪圖選項。
計算特定 df (自由度)在下 限和上 限之間的學生-t 分佈機率。 您可以按一下 [繪圖(網底區域)] 核取方塊,以共享下限和上限之間的區域。 變更為初始下 限和上 限將會自動更新分佈。
此分布有助於用來判斷當母群體標準差為未知時,針對常態分布的母群體,上下限所定義區間範圍內某個值的出現機率。
計算由「自由度」,df,為曲線下指定區域所指定的反累積 t‑分佈機率函數。
此分布有助於用來判斷在從 0 到 x<1 的區域中,資料的出現機率。 此函數在母群體平均值和/或母群體標準差未知時使用。
在指定的 x 值上,計算 c2(卡‑方)分布的機率密度函數 (pdf)。 df(自由度)必須為整數 > 0。 機率密度函數 (pdf) 為:
此分布有助於用來判斷來自具有 c2 分布之母群體給定值的出現機率。 從公式儲存格調用 c2 Pdf 時,即可使用繪圖選項。
針對指定的 df (自由度),計算在下限和上限之間的 c2 (卡‑方)分布機率。 可以按一下 [繪圖(網底區域)] 核取方塊,以共享下限和上限之間的區域。 變更為初始的下限和上限將會自動更新分佈。
此分布有助於用來判斷在具有 c2 分布之母群體指定範圍內,某個值的出現機率。
在指定的 x 值上,計算 F 分布的機率密度函數 (pdf)。分子自由度 (自由度)和分母自由度 必須為整數 > 0。 機率密度函數 (pdf) 為:
|
其中 |
n = 分子自由度 |
此分布有助於判斷兩個樣本擁有相同變異數的機率。 從公式儲存格調用 F Pdf 時,即可使用繪圖選項。
針對所指定 dfnumer (自由度)和 dfDenom 的下限和上限之間,計算 F 分布機率。 可以按一下 [繪圖(網底區域)] 核取方塊,以共享下限和上限之間的區域。 變更為初始的下限和上限將會自動更新分佈。
此分布有助於判斷單次觀測落在上下限之間範圍內的機率。
針對具有指定 numtrials 的離散二項分布,計算 x 的機率,以及每次試驗的成功機率 (p)。 x 參數可以是整數或整數列表。 0{p{1 必須為真。numtrials 必須為整數 > 0. 若沒有指定 x,則會傳回一個從 0到 numtrials 的機率列表。 機率密度函數 (pdf) 為:
其中n = numtrials
此分布有助於判斷在試驗 n 上,成功/失敗試驗中的成功機率。 例如,您可以使用此分布,預測在第五次拋錢幣時得到正面的機率。
計算 n 次試驗和每次試驗成功機率 p 的離散二項分布累積機率。
此分布有助於用來判斷在完成所有試驗前,某次試驗的成功機率。 例如,如果投幣時得到正面表示成功,而您計畫投擲硬幣 10 次,此分佈會預測在 10 次投幣中至少會得到一次正面的機會。
針對具有指定平均值 μ(必須是 > 0 的實數)的離散卜松分布,以計算 x 的機率。x 可以是整數或整數列表。 機率密度函數 (pdf) 為:
此分布有助於用來判斷在開始一項試驗前,取得特定成功次數的機率。 例如,您可以使用此計算來預測於拋八次錢幣當中,會發生正面的次數。
以指定平均值 x 計算卜松離散分布的累積機率。
此分布有助於用來判斷在試驗的上下限之間,發生特定成功次數的機率。 例如,您可利用此計算來預測從拋第3次到第8次硬幣中,顯示正面的次數。
針對具有指定成功機率 p,以計算發生第一次成功的試驗次數 x 的機率。 0{p{1 必須為真。x 可以是整數或整數列表。 機率密度函數 (pdf) 為:
此分布有助於用來判斷在獲得成功前,最可能需要的試驗次數。 例如,您可以使用此計算來預測要拋幾次錢幣才會得到正面。
計算從下限到上限的累積幾何機率(指定成功機率是 p)。
此分布有助於用來判斷從第 1 次到第 n 次試驗期間,發生第一次成功的相關聯機率。 例如,您可利用此計算來判斷在第 1 次、第 2 次、第 3 次、...、到第 n 次拋錢幣會顯示正面的機率。
計算分佈