您在此处:“图形”应用程序 > 绘制散点图

绘制散点图

1. (可选)创建两个包含要绘制的 x 和 y 值的预定义变量列表。 您可使用“列表 & 电子表格”、“计算器”、或“记事本”应用程序创建此列表。

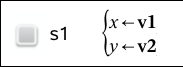
2. 图形 输入/编辑菜单选择散点图

使用上下箭头键在 x 和 y 字段之间移动。

3. 使用以下方法之一设置作为 x 和 y 的列表。
- 单击 选择预定义变量列表的名称。
- 输入变量名称,如 v1
- 类型显示为用括号表示的逗号分隔元素,如: {1,2,3}。

4. Enter 绘制数据,然后缩放工作区查看绘制的数据。

 

© 2006 - 2016 Texas Instruments Incorporated