Encontram-se aqui: Aplicação Listas e Folha de cálculo > Testes estatísticos

Testes estatísticos

Testes estatísticos suportados

Os testes de hipóteses estão disponíveis na aplicação Listas  e Folha de cálculo. Para obter mais informações relativas a estas funções, consulte o Guia de Referência do TI‑Nspire™.

Alguns dos assistentes para os testes estatísticos apresentam uma caixa de verificação Desenhar. Por predefinição, a caixa não está selecionada. A seleção da caixa cria uma área de trabalho Dados  e Estatística na página e desenha os resultados nessa área de trabalho.

Teste z (zTest)

Efetua um teste de hipótese para uma única média da população desconhecida, m, quando o desvio padrão da população, s, é conhecido. Testa a hipótese nula H0m=m0 em relação a uma das alternativas abaixo.

Ha: mƒm0
Ha: m<m0
Ha: m>m0

Este teste é utilizado para populações grandes que estão distribuídas normalmente. O desvio padrão tem de ser conhecido.

Este teste é útil para determinar se a diferença entre a média de uma amostra e a média de uma população é estatisticamente significativa quando se souber o verdadeiro desvio de uma população.

Teste t (tTest)

Efetua um teste de hipótese para uma única média da população desconhecida m quando o desvio padrão da população s, é conhecido. Testa a hipótese nula H0m=m0 em relação a uma das alternativas abaixo.

Ha: mƒm0
Ha: m<m0
Ha: m>m0

Este teste é similar ao teste z, mas é utilizado quando a população é pequena e distribuída normalmente. Este teste é utilizado mais frequentemente que o teste z porque as populações de amostras pequenas são encontradas mais frequentemente que as populações grandes.

Este teste é útil para determinar se duas populações distribuídas normalmente têm médias iguais, ou quando for necessário determinar se a média de uma amostra varia da média de uma população significativamente e o desvio padrão da população é desconhecido.

Teste z de 2 amostras (zTest_2Samp)

Testa a igualdade das médias das duas populações (m1 e m2) baseadas nas amostras independentes quando os desvios padrões das populações (s1 e s2) são conhecidos. A hipótese nula H0m1=m2 é testada em relação a uma das alternativas abaixo.

Ha: m1ƒm2
Ha: m1<m2
Ha: m1>m2

Teste T de 2 amostras (tTest_2Samp)

Testa a igualdade das médias das duas populações (m1 e m2) baseadas nas amostras independentes os desvios padrões das populações (s1 ou s2) são conhecidos. A hipótese nula H0m1=m2 é testada em relação a uma das alternativas abaixo.

Ha: m1ƒm2
Ha: m1<m2
Ha: m1>m2

Teste z de 1 prop (zTest_1Prop)

Calcula um teste para uma proporção de sucessos desconhecida (prop). Utiliza a contagem de sucessos na amostra x e a contagem de observações na amostra n como entrada. ‑Teste z de 1 prop testa a hipótese nula H0: prop=p0 em relação a uma das alternativas abaixo.

Ha: propƒp0
Ha: prop<p0
Ha: prop>p0

Este teste é útil para determinar se a probabilidade do sucesso vista numa amostra é significativamente diferente da probabilidade da população ou se é devida ao erro de amostragem, desvio ou outros fatores.

Teste z de 2 prop (zTest_2Prop)

Calcula um teste para comparar a proporção de sucessos (p1 e p2) de duas populações. Utiliza a contagem de sucessos em cada amostra (x1 e x2) e a contagem de observações em cada amostra (n1 e n2) como entrada. ‑Teste z de 2 prop testa a hipótese nula H0: p1=p2 (com a proporção da amostra combinada Ç) em relação a uma das alternativas abaixo.

Ha: p1ƒp2
Ha: p1<p2
Ha: p1>p2

Este teste é útil para determinar se a probabilidade de sucessos vista nas duas amostras é igual.

c2GOF (c2GOF)

Efetua um teste para confirmar que os dados da amostra são de uma população que está em conformidade com uma distribuição especificada. Por exemplo, GOF c2 pode confirmar que os dados da amostra vêm de uma distribuição normal.

Teste c2 bidirecional (c2bidirecional)

Calcula um teste de chi quadrado para associação à tabela bidirecional de contagens na matriz Observado especificada. A hipótese nula H0 para uma tabela bidirecional é: não existe qualquer associação entre as variáveis das linhas e das colunas. A hipótese alternativa é: as variáveis estão relacionadas.

Teste F de 2 amostras (FTest_2Samp)

Calcula um teste F‑para comparar dois desvios padrão de população normais (s1 e s2). As médias das populações e os desvios padrões são desconhecidos. Teste‑F de 2amostras, que utiliza a proporção das variâncias das amostras Sx12/Sx22 e testa a hipótese nula H0s1=s2 em relação a uma das alternativas abaixo.

Ha: s1ƒs2
Ha: s1<s2
Ha: s1>s2

A definição de Teste‑ Fde 2amostras é descrita abaixo.

Sx1, Sx2

=

Desvios padrão das amostras com n1N1 e n2N1 graus de liberdade df, respetivamente.


F


=

F-statistic =

df(x, n1N1, n2N1)

=

Fpdf( ) com graus de liberdade df, n1N1 e n2N1

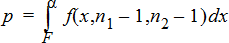
p

=

valor p indicado

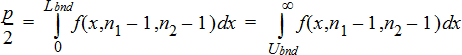
Teste‑F de 2amostras para a hipótese alternativa s1 > s2.

Teste‑F de 2amostras para a hipótese alternativa s1 < s2.

Teste‑F de 2amostras para a hipótese alternativa s1ƒs2 Os limites têm satisfazer o seguinte:

em que: [Lbnd,Ubnd] = limites inferior e superior

A estatística F‑ é utilizada como o limite que produz o integral mais pequeno O limite restante é selecionado para alcançar a relação de igualdade do integral precedente.

Teste t de regressão linear (LinRegtTest)

Calcula uma regressão linear para os dados fornecidos e um teste t no valor do declive b, bem como o coeficiente de correlação r para a equação y=a+bx. Testa a hipótese nula H0b=0 (equivalentemente, r=0) em relação a uma das alternativas abaixo.

Ha: 0 e 0
Ha: b<0 e r<0
Ha: b>0 e r>0

Testes de regressões múltiplas (MultRegTest)

Calcula uma regressão linear para os dados fornecidos e fornece o teste F estatístico para a linearidade.

Para obter mais informações, consulte o Guia de Referência do TI‑Nspire™.

ANOVA (ANOVA)

Calcula uma análise de variação unidirecional para comparar as médias de 2 a 20 populações. O procedimento ANOVA de comparação de médias envolve a análise da variação dados da amostra. A hipótese nula H0m1=m2=...=mk é testada em relação à alternativa Ha: nem todos os m1...mk são iguais.

O teste ANOVA é um método para determinar se existe uma diferença significativa entre os grupos em comparação com a diferença ocorrida em cada grupo.

Este teste é útil para determinar se a variação dos dados de amostra para amostra apresenta uma influência significativa estatisticamente de alguns fatores diferentes da variação existente dentro dos conjuntos de dados. Por exemplo, um comprador de caixas para uma empresa de transporte pretende avaliar três fabricantes de caixas diferentes. Obtém caixas de amostras dos três fabricantes. A ANOVA pode ajudar a determinar se as diferenças entre cada grupo de amostras são significativas quando comparadas com as diferenças dentro de cada grupo de amostras.

ANOVA bidirecional (ANOVA2way)

Calcula uma análise de variação bidirecional para comparar as médias de 2 a 20 populações. Um resumo dos resultados é guardado na variável stat.results.

A análise de variância ANOVA bidirecional examina os efeitos de duas variáveis independentes e ajuda a determinar se estas interagem com a variável dependente. (Por outras palavras, se duas variáveis independentes interagem, o efeito combinado pode ser igual ou maior ao impacto de qualquer variável independente adicionalmente.)

Este teste é útil para avaliar as diferenças similares à análise ANOVA, mas com a adição de outra influência potencial. Para continuar com o exemplo da caixa ANOVA, a ANOVA bidirecional examina a influência do material da caixa nas diferenças vistas.

Selecionar uma hipótese alternativa (ƒ < >)

A maioria dos editores estatísticos inferenciais para os testes de hipóteses pede para selecionar uma de três hipóteses alternativas.

A primeira é uma hipótese alternativa ƒ, como, por exemplo, mƒm0 para o Teste z.
A segunda é uma < hipótese alternativa, como, por exemplo, m1<m2 para o Teste‑t  de  2amostras.
A terceira é uma > hipótese alternativa, como, por exemplo, p1>p2 para o Teste‑z de  2 prop.

Para selecionar uma hipótese alternativa, mova o cursor para a alternativa adequada e prima Enter.

Seleccionar a opção Combinado

Combinado (Teste‑t de  2 amostras e Intervalo‑t de  2 amostras apenas) especifica se as variâncias devem ser combinadas para o cálculo.

Selecione Não se não quiser as variações combinadas. As variações das populações podem ser desiguais.
Selecione Sim se quiser as variações combinadas. As variações das populações são assumidas como iguais.

Para selecionar a opção Combinado, selecione Sim na lista pendente

 

© 2006 - 2016 Texas Instruments Incorporated