Du er her: Applikasjonen Lister & regneark > Stat tester

Stat tester

Støttede statistiske tester

Hypotesetester er tilgjengelige fra applikasjonen Lister & regneark. For mer informasjon om disse funksjonene, se TI‑Nspire™ referanseguide.

Noen av veiviserne for statistikktester viser en avmerkingsboks for Tegn. Som standard er denne boksen ikke aktivert. Når denne boksen aktiveres, opprettes det et arbeidsområde i Data & statistikk på siden som plotter resultatene i dette arbeidsområdet.

z test (zTest)

Utfører en hypotesetest for ett enkelt ukjent populasjonsgjennomsnitt m når populasjonens standardavvik  s er kjent. Den tester nullhypotesen H0m=m0 mot et av alternativene nedenfor.

Ha: mƒm0
Ha: m<m0
Ha: m>m0

Denne testen brukes for store populasjoner som er normalfordelt. Standardavviket må være kjent.

Denne testen er nyttig når du vil avgjøre om forskjellen mellom et utvalgsgjennomsnitt og et populasjonsgjennomsnitt er statistisk signifikant når du kjenner det sanne avviket for en populasjon.

t test (tTest)

Utfører en hypotesetest for ett enkelt ukjent populasjonsgjennomsnitt m når populasjonens standardavvik s er ukjent. Den tester nullhypotesen H0m=m0 mot et av alternativene nedenfor.

Ha: mƒm0
Ha: m<m0
Ha: m>m0

Denne testen ligner på en z-test, men den brukes når populasjonen er liten og normalfordelt. Denne testen brukes litt oftere enn z-testen fordi små utvalgspopulasjoner er vanligere enn store populasjoner i statistikk.

Denne testen er nyttig når du vil avgjøre om to normalfordelte populasjoner har samme gjennomsnitt, eller når du må avgjøre om et utvalgsgjennomsnitt er signifikant forskjellig fra et populasjonsgjennomsnitt, når populasjonens standardavvik er ukjent.

2-utvalg z-Test (zTest_2Utvalg)

Tester likheten av gjennomsnittet for to populasjoner (m1ogm2) basert på uavhengige utvalg når begge populasjoners standardavvik (s1ogs2) er kjent. Nullhypotesen H0m1=m2 testes mot et av alternativene nedenfor.

Ha: m1ƒm2
Ha: m1<m2
Ha: m1>m2

2-utvalg tTest (tTest_2Utvalg)

Tester likheten av gjennomsnittet for to populasjoner (m1og m2) basert på uavhengige utvalg når ingen av populasjonenes standardavvik (s1ellers2) er kjent. Nullhypotesen H0m1=m2 testes mot et av alternativene nedenfor.

Ha: m1ƒm2
Ha: m1<m2
Ha: m1>m2

1-Prop z Test (zTest_1Prop)

Beregner en test for en ukjent proporsjon (brøkdel) av suksesser (prop). Den bruker som inndata antallet suksesser i utvalget x og antallet observasjoner i utvalget n. 1‑Prop z Test tester nullhypotesen H0: prop=p0 mot et av alternativene nedenfor.

Ha: propƒp0
Ha: prop<p0
Ha: prop>p0

Denne testen er nyttig når du vil avgjøre om sannsynligheten for suksessene som opptrer i et utvalg er signifikant forskjellig fra populasjonssannsynligheten eller om dette skyldes utvalgsfeil eller andre faktorer.

2-Prop z Test (zTest_2Prop)

Beregner en test for å sammenligne proporsjonen (brøkdelen) av suksesser (p1 og p2) fra to populasjoner. Den bruker som inndata antallet suksesser i hvert utvalg (x1 og x2) og antallet observasjoner i hvert utvalg (n1 og n2). 2‑Prop z Test tester nullhypotesen H0: p1=p2 (med bruk av felles utvalgsproporsjon (-brøkdel) Ç) mot et av alternativene nedenfor.

Ha: p1ƒp2
Ha: p1<p2
Ha: p1>p2

Denne testen er nyttig når du vil avgjøre om sannsynligheten for å lykkes er den samme i to utvalg.

c2GOF (c2GOF)

Utfører en test for å bekrefte at utvalgsdata er fra en populasjon som er i overensstemmelse med en angitt fordeling. For eksempel kan c2 GOF bekrefte at utvalgsdataene stammer fra en normal fordeling.

c2 2-veis Test (c22veis)

Beregner en chi-kvadrat-test for sammenheng i to-veis tabell over antallet i den spesifiserte Observert-matrisen. Nullhypotesen H0 for en toveis tabell er: det eksisterer ingen sammenheng mellom radvariabler og kolonnevariabler. Alternative hypotese er: variablene er relaterte.

2-Utvalg FTest (FTest_2Utvalg)

Beregner en F‑-test for å sammenligne to normale populasjoners standardavvik (s1 og s2. Ingen av populasjonsgjennomsnittene og standardavvikene er kjente. 2‑Utvalg FTest, som bruker forholdet mellom utvalgsvarianser Sx12/Sx22, tester nullhypotesen H0s1=s2 mot et av alternativene nedenfor.

Ha: s1ƒs2
Ha: s1<s2
Ha: s1>s2

Nedenfor finner du definisjonen for 2‑Utvalg FTest.

Sx1, Sx2

=

Utvalg-standardavvik har henholdsvis n1N1 og n2N1 frihetsgrader df.


F


=

F-statistikk =

df(x, n1N1, n2N1)

=

Fpdf( ) med frihetsgrader df, n1N1, og n2N1

p

=

rapportert p-verdi

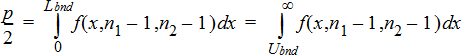
2‑Utvalg FTest for de alternative hypotesene s1 > s2.

2‑UtvalgFTest for de alternative hypotesene s1 < s2.

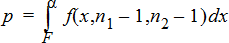
2‑Utvalg FTest for de alternative hypotesene s1ƒs2. Grenser må tilfredsstille følgende:

der: [Lbnd,Ubnd]=nedre og øvre grense

F‑-statistikken brukes som den grensen som gir det minste integralet. De resterende grensene velges for å oppnå likhet med det foregående integralet.

Lineær Reg t Test (LinRegtTest)

Beregner en lineær regresjon på X- og Y-listene og en t test på verdien av stigningstallet b og korrelasjonskoeffisienten r for ligningen y=a+bx. Den tester nullhypotesen H0b=0 (ekvivalent, r=0) mot et av alternativene nedenfor.

Ha: 0 og 0
Ha: b<0 og r<0
Ha: b>0 og r>0

Multiple Reg Tester (MultRegTest)

Beregner en lineær regresjon på gitte data og gir F-test-statistikk for linearitet.

For mer informasjon, se TI‑Nspire™ referanseguide.

ANOVA (ANOVA)

Beregner en to-veis variansanalyse for å sammenlikne gjennomsnittene for 2 til 20 populasjoner. ANOVA-prosedyren for å sammenlikne disse gjennomsnittene innebærer å analysere variasjoner i utvalgsdataene. Null-hypotesen H0m1=m2=...=mk testes mot alternativ Ha: ikke alle m1...mk er lik.

ANOVA-testen er en metode for å avgjøre om det er en signifikant forskjell mellom gruppene sammenliknet med forskjellen i forekomsten som opptrer innenfor hver gruppe.

Denne testen er nyttig når du vil avgjøre om variasjonen i data fra utvalg-til-utvalg viser en statistisk signifikant påvirkning fra noen faktorer utenom variasjonen innenfor datasettene selv. Eksempel: En eskeoppkjøper for et spedisjonsfirma ønsker  å vurdere tre forskjellige eskeprodusenter. Han mottar et utvalg esker fra hver av de tre produsentene. ANOVA kan hjelpe ham med å avgjøre om forskjellene mellom hvert utvalg er signifikante sammenliknet med forskjellene innenfor hvert av utvalgene.

ANOVA 2-veis (ANOVA2veis)

Beregner en to-veis variansanalyse for å sammenlikne gjennomsnittene for 2 til 20 populasjoner. En oversikt over resultatene lagres i stat.resultater-variabelen.

Den to-veis ANOVA-analysen av varians utforsker effektene av to uavhengige variabler og er med på å bestemme om disse påvirker en eventuell avhengig variabel. (Med andre ord, hvis de to uavhengige variablene påvirker hverandre, kan deres kombinerte effekt være større enn eller mindre enn summen av av virkningen av de to variablene hver for seg.)

Denne testen er nyttig når du vil vurdere forskjeller på samme måte som ANOVA-analysen, men med en annen potensiell påvirkning i tillegg. For å fortsette med eskeeksemplet i ANOVA, så kan to-veis ANOVA utforske hvilken virkning eskematerialet kan ha på de forskjellene som er funnet.

Velge en alternativ hypotese (ƒ< > )

De fleste testredigeringer for hypotesetester i inferensiell statistikk ber deg om å velge én av tre alternative hypoteser.

Den første er en ƒ alternativ hypotese, som mƒm0 for z Test.
Den andre er en < alternativ hypotese, som m1<m2 for 2‑Utvalg t Test.
Den tredje er en > alternativ hypotese, som p1>p2 for 2‑Prop z Test.

For å velge en alternativ hypotese, flytt markøren til riktig alternativ, og trykk så på Enter.

Velge Felles-alternativet

Felles (kun 2‑Utvalg t Test og 2‑Utvalg t Intervall) spesifiserer om variansene skal være felles for beregningen.

Velg Nei hvis du ikke vil at variansene skal være felles. Populasjonsvarianser kan være ulike.
Velg Ja hvis du vil at variansene skal være felles. Populasjonsvarianser antas å være like.

For å velge alternativet Felles, velger du Ja fra rullegradinlisten.

 

© 2006 - 2016 Texas Instruments Incorporated