Voorbeeld: U kunt een kansverdeling berekenen die past op het model van de Normale (Pdf-) verdeling
| 1. | Klik op de kolomformulecel (tweede cel van boven) van kolom A. |
| 2. | Klik op Statistiek > Kansverdelingen> Normale Verdeling om het kansverdelingsmodel te kiezen. |
Het dialoogvenster Normale verdeling wordt geopend en er wordt een veld weergegeven voor het intypen of selecteren van de argumenten voor de berekening.
| - | Druk zo vaak op Tab als nodig is om van veld naar veld te gaan en ieder argument in te voeren. U kunt waarden intypen of deze selecteren uit de keuzelijst: |
| - | X-waarde: Klik op het menupijltje om een willekeurige lijst in de opgave te selecteren om de x-waarden voor de berekening te leveren. |
| - | Gemiddelde: Typ een waarde voor het gemiddelde of klik op het menupijltje om een variabele te kiezen die het gemiddelde bevat. |
| - | Standaardafwijking Typ een waarde voor de standaardafwijking of kies een variabele die de standaardafwijking bevat. |
| 3. | Klik op het vakje Tekenen om de verdeling geplot te zien in Gegevensverwerking & Statistiek. |
Opmerking: de optie Tekenen is niet bij alle verdelingen beschikbaar.
| 4. | Klik op OK. |
Lijsten & Spreadsheet voert twee kolommen in: één met de namen van de resultaten, en één met de bijbehorende waarden. De resultaten worden geplot in Gegevensverwerking & Statistiek.
Opmerking: De resultaten zijn gekoppeld aan de brongegevens. U kunt bijvoorbeeld een waarde in kolom A veranderen en de vergelijking wordt automatisch bijgewerkt.
In de toepassing Lijsten & Spreadsheet zijn de volgende kansverdelingen beschikbaar. Zie voor meer informatie over deze functies de TI‑Nspire™ handleiding.
| • | Om een enkel verdelingsresultaat te verkrijgen op basis van een enkele waarde typt u de functie in een enkele cel in. |
| • | Om een lijst verdelingsresultaten te verkrijgen op basis van een lijst waarden typt u de functie in een kolomformulecel in. In dit geval geeft u een lijst (kolom) op die de waarden bevat. Voor iedere waarde in de lijst, geeft de verdeling een overeenkomstig resultaat terug. |
Opmerking: Voor verdelingsfuncties die de tekenoptie ondersteunen (normPDF, t PDF, c 2 Pdf en F Pdf), is deze optie alleen beschikbaar als u de verdelingsfunctie in een formulecel typt.
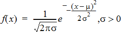
Berekent de kansdichtheidsfunctie (pdf) voor de normale verdeling bij een gespecificeerde x-waarde. De standaardwaarden zijn: gemiddelde = 0 en standaarddeviatie = 1 De kansdichtheidsfunctie (pdf) is:
Deze verdeling wordt gebruikt om de kans dat een bepaalde waarde voorkomt in een normale verdeling te bepalen. De tekenoptie is beschikbaar wanneer Normal PDF wordt opgeroepen vanuit een formulecel.
Wanneer u verdelingen vanuit de formulecel benadert, moet u een geldige lijst uit de keuzelijst selecteren om onverwachte resultaten te voorkomen. Als u de verdeling vanuit een cel benadert, moet u een getal voor de x-waarde opgeven. De verdeling geeft de kans dat de waarde die u opgeeft, voorkomt.
Berekent de kans bij de normale verdeling tussen ondergrens en bovengrens voor het gespecificeerde gemiddelde, m (standaard=0) en de standaarddeviatie, s (standaard=1). U kunt op het vakje Tekenen (Oppervlakte arceren) klikken om de oppervlakte tussen de onder- en bovengrenzen te arceren. Veranderingen in de oorspronkelijke onder grens en boven grens werken de verdeling automatisch bij.
Deze cumulatieve verdeling wordt gebruikt voor het bepalen van de kans op een waarde tussen de onder- en bovengrens in de normale verdeling. Dit is hetzelfde als het vinden van de oppervlakte onder de gespecificeerde normale kromme tussen de grenzen.
Berekent de inverse cumulatieve normale verdelingsfunctie voor een gegeven oppervlakte onder de normale verdelingskromme, die gespecificeerd wordt door gemiddelde, m, en standaarddeviatie, s.
Deze verdeling wordt gebruikt voor het bepalen van de x-waarde van de gegevens in het gebied van 0 tot x<1 wanneer het percentiel bekend is.
Berekent de kansdichtheidsfunctie (pdf‑) voor de t-verdeling bij een gespecificeerde x-waarde. df > (aantal vrijheidsgraden) moet 0 zijn. De kansdichtheidsfunctie (pdf) is:
Deze verdeling wordt gebruikt voor het bepalen van de kans op een waarde, wanneer de populatiestandaarddeviatie niet bekend is en de steekproefomvang klein is. De tekenoptie is beschikbaar wanneer t Pdf wordt opgeroepen vanuit een formulecel.
Berekent de kans bij de Student-t-verdeling tussen ondergrens en bovengrens bij de gespecificeerde df (aantal vrijheidsgraden). U kunt op het vakje Tekenen (Oppervlakte arceren) klikken om de oppervlakte tussen de grenzen te arceren. Veranderingen in de oorspronkelijke onder grens en boven grens werken de verdeling automatisch bij.
Deze cumulatieve verdeling wordt gebruikt voor het bepalen van de kans op een waarde binnen een interval dat gedefinieerd wordt door de onder- en bovengrens voor een normaal verdeelde populatie wanneer de populatiestandaarddeviatie niet bekend is
‑Berekent de inverse cumulatieve t-kansverdelingsfunctie die gespecificeerd wordt door het aantal vrijheidsgraden, df, voor een gegeven oppervlakte onder de kromme
Deze verdeling wordt gebruikt voor het bepalen van de kans dat er gegevens voorkomen in het gebied van 0 tot x1 Deze functie wordt gebruikt wanneer het gemiddelde en/of de standaardafwijking van de populatie niet bekend zijn.
Berekent de kansdichtheidsfunctie (pdf) voor de c2‑ (chi-kwadraat) verdeling bij een gespecificeerde x-waarde. df> (aantal vrijheidsgraden) moet een geheel getal 0 zijn. De kansdichtheidsfunctie (pdf) is:
Deze verdeling wordt gebruikt voor het bepalen van de kans op een gegeven waarde uit een populatie met een c2-verdeling. De tekenoptie is beschikbaar wanneer c2Pdf wordt opgeroepen vanuit een formulecel.
Berekent de kans voor de c2 ‑(chikwadraat) verdeling tussen ondergrens en bovengrens voor de gespecificeerde df (aantal vrijheidsgraden). U kunt het vakje Tekenen (Oppervlakte arceren) aanklikken om de oppervlakte tussen de onder- en bovengrenzen te arceren. Veranderingen in de oorspronkelijke ondergrens en bovengrens werken de verdeling automatisch bij.
Deze verdeling wordt gebruikt voor het bepalen van de kans op een waarde binnen gegeven grenzen van een populatie met een c2-verdeling.
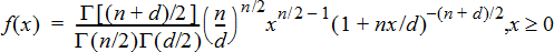
Berekent de kansdichtheidsfunctie (pdf) voor de F-verdeling bij een gespecificeerde x-waarde. teller df (aantal vrijheidsgraden) en noemer df moeten gehele getallen >0 zijn. De kansdichtheidsfunctie (pdf) is:
|
waarbij |
n = teller vrijheidsgraden d = noemer vrijheidsgraden |
Deze verdeling wordt gebruikt voor het bepalen van de kans dat twee steekproeven dezelfde variantie hebben. De tekenoptie is beschikbaar wanneer F Pdf wordt opgeroepen vanuit een formulecel.
Berekent de kans voor de F-verdeling tussen ondergrens en bovengrens voor de gespecificeerde dfTeller (aantal vrijheidsgraden) en dfNoemer. U kunt op het vakje Tekenen (Oppervlakte arceren) klikken om de oppervlakte tussen de onder- en bovengrenzen te arceren. Veranderingen in de oorspronkelijke ondergrens en bovengrens werken de verdeling automatisch bij.
Deze verdeling wordt gebruikt voor het bepalen van de kans dat een enkele observatie binnen het bereik tussen de ondergrens en de bovengrens valt.
Berekent de kans op x voor de discrete binomiale verdeling met het gespecificeerde AantalPogingen en de succeskans (p) bij elke poging. De x-parameter kan een geheel getal of een lijst met gehele getallen zijn. 0 ..... moet waar zijn. AantalPogingen met een geheel getal ...0 zijn. Als u x niet specificeert, wordt er een lijst met kansen van 0 tot aantalPogingen gegeven De kansdichtheidsfunctie (pdf) is:
waarbij n = aantalPogingen
Deze verdeling wordt gebruikt voor het bepalen van de kans op succes bij den-de poging in een succes-/geen-succes experiment . U kunt deze verdeling bijvoorbeeld gebruiken om bij het gooien van kop of munt de kans op kop te voorspellen bij de 5de keer opgooien.
Berekent de cumulatieve kans voor de discrete binomiale verdeling met aantal pogingen n en succeskans p bij iedere poging.
Deze verdeling wordt gebruikt voor het bepalen van de kans op succes bij één poging, voordat alle pogingen voltooid zijn. Als bijvoorbeeld kop een succesvol resultaat is en u wilt de munt 10 maal opgooien, dan voorspelt deze verdeling de kans op minimaal één maal kop in de 10 worpen.
Berekent de kans op x voor de discrete Poisson-verdeling met het gespecificeerde gemiddelde, m>, dat een reëel getal 0 moet zijn. x kan een geheel getal of een lijst met gehele getallen zijn De kansdichtheidsfunctie (pdf) is:
Deze verdeling wordt gebruikt voor het bepalen van de kans op een bepaald aantal successen voordat een experiment begint: U kunt deze berekening bijvoorbeeld gebruiken om het aantal malen kop te voorspellen dat zou optreden bij 8 maal opgooien van een munt.
Berekent een cumulatieve kans voor de discrete Poisson-verdeling met het gespecificeerde gemiddelde x.
Deze verdeling wordt gebruikt voor het bepalen van de kans dat een bepaald aantal successen optreedt tussen de boven- en ondergrenzen van een experiment. U kunt deze berekening bijvoorbeeld gebruiken om het aantal malen kop te voorspellen dat voorkomt tussen worp #3 en worp #8 van de munt.
Berekent de kans op x, het nummer van de poging waarbij het eerste succes optreedt, voor de discrete geometrische verdeling met de gespecificeerde succeskans p. {p{1 moet waar zijn. x kan een geheel getal of een lijst met gehele getallen zijn. De kansdichtheidsfunctie (pdf) is:
Deze verdeling wordt gebruikt voor het bepalen van het meest waarschijnlijke aantal pogingen voordat er een succes optreedt. U kunt deze berekening bijvoorbeeld gebruiken om het aantal worpen met een muntstuk te voorspellen dat uitgevoerd moet worden voordat u kop krijgt.
Berekent een cumulatieve geometrische kans van ondergrens tot bovengrens met de gespecificeerde succeskans p.
Deze verdeling wordt gebruikt voor het bepalen van de kans die bij het eerste succes hoort dat optreedt tussen de pogingen 1 enn. U kunt deze berekening bijvoorbeeld gebruiken om de kans te voorspellen dat u kop krijgt bij de worpen #1, #2, #3, ..., #n.
Kansverdelingen berekenen