U bent hier: Grafieken-toepassing > Een grafiek van een familie van functies tekenen

Een grafiek van een familie van functies tekenen

In een familie van functies heeft elk lid zijn eigen waarde voor één of meer van de parameters. Door de parameters als een lijst in te voeren, kunt u een enkele uitdrukking gebruiken om een familie van maximaal 16 functies in een grafiek te tekenen.

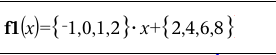
Bijvoorbeeld, de uitdrukking f1(x) = {1,0,1,2} x + {2,4,6,8} noteert de volgende vier functies:
f1_1(x) = 1  x + 2
f1_2(x) =  0  x + 4
f1_3(x) =  1 x + 6
f1_4(x) =  2 x + 8

Een grafiek van een familie van functies tekenen

1. In het menu Grafiek Invoer/bewerken selecteert u Functie.
2. Voer de uitdrukking in, gebruik lijsten om de leden van de familie aan te geven.


3. Druk op Enter om een grafiek te tekenen van de functies.

Iedere functie wordt apart gelabeld (f1_1, f1_2) om zijn plaats in de volgorde in de uitdrukking aan te geven.

Opmerking: U kunt een enkele functiegrafiek niet bewerken om deze te wijzigen in een familie van functies.

 

© 2006 - 2016 Texas Instruments Incorporated