Voi siete qui: Applicazione Grafici > Rappresentazione grafica di una famiglia di funzioni

Rappresentazione grafica di una famiglia di funzioni

In una famiglia di funzioni, ogni membro ha un proprio valore per uno o più dei parametri. Inserendo i parametri come lista, è possibile utilizzare una singola espressione per rappresentare graficamente una famiglia di un massimo di 16 funzioni.

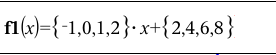
Per esempio, l'espressione f1(x) = {1,0,1,2} x + {2,4,6,8} indica le seguenti quattro funzioni:
f1_1(x) = 1  x + 2
f1_2(x) =  0  x + 4
f1_3(x) =  1 x + 6
f1_4(x) =  2 x + 8

Per rappresentare graficamente una famiglia di funzioni

1. Dal menu Inserisci/modifica grafico , selezionare Funzione.
2. Digitare l'espressione, utilizzando liste per rappresentare i membri della famiglia.


3. Premere Invio per rappresentare graficamente le funzioni.

Ogni membro è etichettato separatamente (f1_1, f1_2 e così via) a indicarne la sequenza nell'espressione.

Nota: non è possibile modificare un grafico di una sola funzione per ottenere il grafico di una famiglia di funzioni.

 

© 2006 - 2016 Texas Instruments Incorporated