Du befinder dig her:Lister og regneark >> Statistiske-tests >> Understøttede statistiske test

Statistiske-tests

Understøttede statistiske test

Hypotesetest er tilgængelige i applikationen Lister og regneark. Du kan finde flere oplysninger om disse værktøjer i opslagsvejledningen til TI‑Nspire™.

Nogle af guiderne for Statistiske Tests viser afkrydsningsfeltet Tegn. Som standard afkrydses feltet ikke. Afkrydsning af dette felt opretter et Diagrammer og statistik-arbejdsområde på siden, og tegner resultaterne i det pågældende arbejdsområde.

z test (zTest)

Udfører en hypotesetest for et enkelt ubekendt populationsgennemsnit, m, når populationens standardafvigelsen, s, kendes. Den tester nulhypotesen H0m=m0 mod et af nedenstående alternativer.

Ha: mƒm0
Ha: m<m0
Ha: m>m0

Testen anvendes til store stikprøver, der er normalfordelte. Standardafvigelsen skal være kendt.

Testen kan for eksempel anvendes til at bestemme, om differensen mellem en stikprøvemiddelværdi og en populationsmiddelværdi er statistisk signifikant, når du kender den faktiske standardafvigelse for en population.

t test (tTest)

Udfører en hypotesetest for en enkelt ukendt populationsmiddelværdi m, når populationens standardafvigelse, s, er ukendt Den tester nulhypotesen H0m=m0 mod et af nedenstående alternativer.

Ha: mƒm0
Ha: m<m0
Ha: m>m0

Testen er magen til en z-test, men anvendes, når stikprøven er lille og normalfordelt. Testen anvendes hyppigere end z-testen, fordi små stikprøver forekommer hyppigere i statistikken end de store stikprøver.

Testen anvendes for eksempel til at bestemme, om to normalfordelte populationer har samme middelværdi, eller når du vil bestemme, om en stikprøvemiddelværdi er signifikant forskellig fra en populationsmiddelværdi, og populationens standardafvigelsen er ukendt.

z Test for to middelværdier (zTest_2Samp)

Tester ligheden mellem to populationers middelværdier (m1 og m2) baseret på uafhængige stikprøver, når begge populationers standardafvigelse (s1 og s2) er kendt. Nulhypotesen H0m1=m2 testes mod et af nedenstående alternativer.

Ha: m1ƒm2
Ha: m1<m2
Ha: m1>m2

t-test med 2 middelværdier (tTest_2Samp)

Tester ligheden mellem to populationers middelværdier (m1 og m2) baseret på uafhængige stikprøver, når hverken populationens standardafvigelse (s1 eller s2) er kendt. Nulhypotesen H0m1=m2 testes mod et af nedenstående alternativer.

Ha: m1ƒm2
Ha: m1<m2
Ha: m1>m2

z Test for én andel (zTest_1Prop)

Udfører en test for en ukendt andel. Som input tager den antallet af succeser i stikprøven x og antallet af observationer i stikprøven n. 1‑Prop z Test tester nulhypotesen H0: prop=p0 mod et af nedenstående alternativer.

Ha: propƒp0
Ha: prop<p0
Ha: prop>p0

Testen anvendes til at bestemme, om sandsynligheden for succes i en stikprøve er signifikant forskellig fra populationssandsynligheden, eller om det skyldes stikprøvefejl, afvigelse eller andre faktorer.

z Test for to andele (zTest_2Prop)

Udfører en test til at sammenligne andelene (p1 og p2) i to populationer. Som input bruger den antallet af succeser i hver stikprøve (x1 og x2) og antallet af observationer i hver stikprøve (n1 og n2). 2‑Prop z Test tester nulhypotesen H0p1=p2 (med den kombinerede stikprøveandel Ç) mod et af nedenstående alternativer.

Ha: p1ƒp2
Ha: p1<p2
Ha: p1>p2

Testen anvendes til at bestemme, om sandsynligheden for succes fundet i to stikprøver er den samme.

c2GOF (c2GOF)

Udfører en test for at bekræfte, om stikprøvedataene er fra en population, der er i overensstemmelse med en foreskrevet fordeling. For eksempel kan c2 GOF bekræfte, at stikprøvedataene kom fra en normalfordeling.

c2 uafhængighedstest (c22-way)

Beregner en chi-kvadrat-test for uafhængighed i en antalstabel for de Observerede værdier. Nulhypotesen H0 for en uafhængighedstest er: Der findes ingen afhængighed mellem rækkevariable og søjlevariable. Den alternative hypotese er: variablene er indbyrdes afhængige.

F-test for to spredninger (FTest_2Samp)

Udfører en F‑test for at sammenligne to normalpopulationers spredninger (s1 og s2). Populationsmiddelværdier og standardafvigelser er alle ukendte 2‑Sample F-test, som bruger forholdet af stikprøvevarianser Sx12/Sx22, tester nulhypotesen H0s1=s2 mod et af nedenstående alternativer.

Ha: s1ƒs2
Ha: s1<s2
Ha: s1>s2

Nedenfor findes definitionen for 2‑Sample F-test.

Sx1, Sx2

=

Stikprøvestandardafvigelser med hhv. n1N1 og n2N1 frihedsgrader df


F


=

F-statistik =

df(x, n1N1, n2N1)

=

Fpdf( ) med frihedsgrader df, n1N1 og n2N1

p

=

rapporteret p-værdi

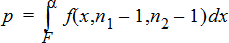
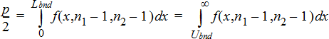
2‑Sample F-test for den alternative hypotese s1 > s2.

2‑Sample F-test for den alternative hypotese s1 < s2.

2‑Sample F-test for den alternative hypotese s1ƒs2. Grænserne skal opfylde følgende:

hvor [Lbnd,Ubnd]=nedre og øvre grænse

F‑statistikken anvendes som den grænse, der giver det mindste integral. Den øvrige grænse vælges så der opnås lighed mellem integralerne.

Lineær Reg t Test (LinRegtTest)

Beregner en lineær regression ud fra de givne data og en t-test ud fra værdien af hældningen b og korrelationskoefficenten r for ligningen y=a+bx. Den tester nulhypotesen H0b=0 (svarende til r=0) mod et af nedenstående alternativer.

Ha: 0 og 0
Ha: b<0 og r<0
Ha: b>0 og r>0

Multipelt reg-test (MultRegTest)

Beregner en lineær regression på de givne data og leverer F-teststatistikken for linearitet.

For yderligere information henvises der til vejledningen til TI‑Nspire™.

ANOVA (ANOVA)

Beregner en enkeltsidet variansanalyse til at sammenligne middelværdierne for 2 til 20 populationer. ANOVA-proceduren til sammenligning af disse middelværdier inkluderer analyse af stikprøvedataenes variation. Nulhypotesen H0: m1=m2==mk testes mod alternativet Ha: ikke alle m1mk er ens.

ANOVA-testen er en metode til at bestemme, om der er en signifikant forskel mellem grupperne, sammenlignet med forskellene indenfor hver gruppe.

Testen anvendes til at bestemme, om datavariationen fra stikprøve til stikprøve viser en statistisk signifikant indflydelse af en anden faktor end variationen inden for selve datasættene. For eksempel vil en kasseindkøber fra et shippingfirma undersøge tre forskellige kasseproducenter. Han skaffer prøvekasser fra alle tre leverandører. ANOVA kan hjælpe ham med at bestemme, om forskellene mellem hver testgruppe er signifikant sammenlignet med forskellene i hver testgruppe.

ANOVA 2-sidet (ANOVA2way)

Beregner en dobbeltsidet variansanalyse til at sammenligne middelværdierne for 2 til 20 populationer En sammenfatning af resultaterne lagres i variablen stat.results.

Den 2-sidede ANOVA-variansanalyse undersøger effekten af to uafhængige variable og hjælper med at bestemme, om disse interagerer i forbindelse med den afhængige variabel. (Med andre ord, hvis de to uafhængige variable interagerer, kan deres kombinerede effekt være større eller mindre end de enkelte uafhængige variables effekter lagt sammen).

Testen anvendes til at beregne differenser ligesom ANOVA-analysen, men med yderligere en mulig indflydelse tilføjet. For at fortsætte med ANOVA kasseeksemplet, kan den 2-sidede ANOVA muligvis undersøge kassematerialernes indflydelse på de synlige forskelle.

Valg af en alternativ hypotese (ƒ< >)

De fleste værktøjer til at udføre statistiske tests beder dog om at vælge en ud af tre alternative hypoteser.

Den første er en ƒ alternativ hypotese, som f.eks mƒm0 til z -testen.
Den anden er en < alternativ hypotese, som f.eks. m1<m2 til 2‑Sample t -testen.
Den tredje er en > alternativ hypotese, som f.eks. p1>p2 til 2‑Prop z Test.

Flyt markøren til det ønskede alternativ, og tryk på · for at vælge en alternativ hypotese.

Valg af funktionen Kombineret (Pooled)

Kombineret (kun for 2‑Sample t -test og 2‑Sample t -Interval) angiver, om varianserne skal kombineres til en samlet varians i beregningen.

Vælg Nej, hvis du ikke vil have varianserne samlet. Populationsvarianser kan være forskellige.
Vælg Ja, hvis du vil have varianserne samlet. Populationsvarianser antages at være lig hinanden.

Vælg Ja (Yes) i rullemenuen for at vælge funktionen Kombineret.

 

© 2006 - 2012 Texas Instruments Incorporated