Du befinder dig her:Lister og regneark >> Fordelinger >> Beregning med fordelinger

Fordelinger

Beregning med fordelinger

Du kan udregne de tilhørende normalfordelingstætheder hørende til et datasæt.

1. Vælg formelcellen (næstøverste celle) hørende til søjlen A.
2. Klik på menuen Statistik > Fordelinger> Normal Pdf for at vælge fordelingsmodellen.

Dialogboksen Normal Pdf åbnes og viser felter til indtastning og valg af argumenterne for beregningen.

- Tryk på e efter behov for at navigere mellem felterne og specificere hvert argument. Du kan indtaste værdier eller vælge dem fra rullelisten:
- X-værdi:Klik på rullepilen for at vælge en liste i opgaven for at tilføre x-værdierne til beregningen.
- Middel: Skriv en værdi for middelværdien eller klik på rullepilen for at vælge en variabel med middelværdien.
- Standardafvigelse: Skriv en værdi for standardafvigelsen eller vælg en variabel, der indeholder standardafvigelsen.
3. Klik i afkrydsningsfeltet Tegn for at se fordelingen plottet i Data og statistik.

Bemærk: Funktionen Tegn er ikke tilgængelig for alle fordelinger.

4. Klik på OK.

Lister og regneark indsætter to søjler: En med navnene på resultaterne og en med de tilsvarende værdier. Resultaterne plottes i Diagrammer og statistik.

Bemærk: Resultaterne er linket til kildedataene. Du kan for eksempel ændre en værdi i søjle A, og beregningen opdateres automatisk

Understøttede fordelingsfunktioner

Følgende fordelinger er tilgængelige i applikationen Lister og regneark. Du kan finde flere oplysninger om disse funktioner i opslagsvejledningen til TI‑Nspire™.

For at få et resultat fra fordelingen baseret på en enkelt værdi, skal du indtaste funktionen i en enkelt celle.
For at få en liste af resultater fra fordelingen baseret på en liste af værdier, skal du indtaste funktionen i søjlens formelcelle. I dette tilfælde angiver du en liste (søjle), der indeholder værdier. For hver værdi i listen returnerer fordelingen et tilsvarende resultat.

Bemærk: For fordelingsfunktioner, der understøtter Tegn-funktionen (normPDF, t PDF, c2Pdf og F Pdf), er funtionen kun tilgængelig, hvis du indsætter fordelingen i en formelcelle.

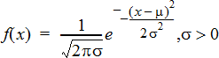
Normal Pdf (normPdf)

Beregner tæthedsfunktionen (pdf) for normalfordelingen ved en bestemt x-værdi Standarderne er middelværdi m=0 og standardafvigelse s=1. Tæthedsfunktionen (pdf) er:

Fordelingen anvendes til at bestemme sandsynligheden for at en bestemt værdi forekommer i en normalfordeling. Tegn fordelings-muligheden er tilgængelig, når Normal PDF kaldes fra en formelcelle.

Når du åbner fordelinger fra formelcellen, skal du vælge en gyldig liste i rullemenuen for at undgå utilsigtede resultater. Hvis den åbnes fra en celle, skal du angive et tal for x-værdien. Fordelingen returnerer sandsynlighedstætheden for, at den angivne værdi vil forekomme.

Normal Cdf (normCdf)

Beregner normalfordelings-sandsynligheden mellem nedre grænse og øvre grænse for den specificerede middelværdi, m (standard=0) og standardafvigelsen, s (standard=1). Du kan klikke på afkrydsningsfeltet Tegn (Skraver område) for at skravere området mellem øvre og nedre grænse. Ændringer i nedre grænse og øvre grænse opdaterer automatisk fordelingen.

Fordelingen anvendes til at bestemme sandsynligheden for, at en vilkårlig værdi forekommer mellem de øvre og nedre grænser i en normalfordeling. Det svarer til at beregne arealet under den angivne normalfordelingskurve mellem afgrænsningerne.

Invers kumuleret normalfordeling (invNorm)

Invers normal beregner den inverse kumulerede normalfordelingsfunktion for et givet areal under normalfordelingskurven specificeret af middelværdi, m, og standardafvigelse, s.

Fordelingen anvendes til at bestemme x-værdien af data i området fra 0 til x<1, når sandsynligheden kendes.

t Pdf (tPdf)

Beregner den sandsynlighedstætheden (pdf) for t‑fordelingen ved en specificeret x-værdi. df (frihedsgrader) skal være > 0. Sandsynlighedstæthedsfunktionen (pdf) er:

Fordelingen anvendes til at bestemme sandsynligheden for, at en værdi forekommer, når populationsstandardafvigelsen ikke er kendt og stikprøvestørrelsen er lille. Tegn fordelingen-muligheden er tilgængelig, når t Pdf beregnes ud fra en formelcelle.

t Cdf (tCdf)

Beregner Student-t fordelingssandsynligheden mellem nedre grænse og øvre grænse for de angivne frihedsgrader df. Du kan klikke på afkrydsningsfeltet Tegn (Skraver område) for at skravere området mellem grænserne. Ændringer i nedre grænse og øvre grænse opdaterer automatisk fordelingen.

Fordelingen anvendes til at bestemme sandsynligheden for, at en værdi forekommer inden for et interval defineret af den nedre og øvre grænse for en normalfordelt population, når populationsstandardafvigelsen ikke er kendt.

Invers t (invt)

Beregner den inverse kumulerede‑fordelingssandsynlighed hørende til frihedsgraden, df, for et givet areal under kurven.

Fordelingen anvendes til at bestemme sandsynligheden for at data forekommer i området fra 0 til x<1. Denne funktion anvendes, når populationsmiddelværdien og/eller populationens standardafvigelse ikke er kendt

c2 Pdf (c2 Pdf())

Udregner sandsynlighedstæthedsfunktionen (pdf) for c2 (chi‑kvadrat)-fordelingen ved en specificeret x-værdi. df (frihedsgrader) skal være et heltal> 0. Sandsynlighedstæthedsfunktionen (pdf) er:

Denne fordeling anvendes til at bestemme sandsynligheden for, at en given værdi forekommer i en population med en c2-fordeling. Tegn fordelingen-muligheden er tilgængelig, når c2 Pdf beregnes ud fra en formelcelle.

c2 Cdf (c2 Cdf())

Beregner c2 (chi‑kvadrat)-sandsynlighedsfordelingen mellem nedre grænse og øvre grænse for de angivne df (frihedsgrader). Du kan klikke på afkrydsningsfeltet Tegn skraveret område for at skravere området mellem øvre og nedre grænse. Ændringer i nedreGrænse og øvreGrænse opdaterer automatisk sandsynlighedsfordelingen.

Fordelingen anvendes til at bestemme sandsynligheden for, at en værdi forekommer mellem de givne grænser for en population med en c2 -fordeling

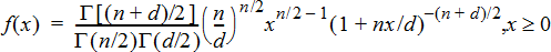
F Pdf (F Pdf())

Beregner sandsynlighedstætheden (pdf) for F-fordelingen ved en specificeret x-værdi. tæller df (frihedsgrader) og nævner df skal være heltal > 0. Sandsynlighedstæthedsfunktionen (pdf) er:

hvor

n = tællerens frihedsgrader
d = nævnerens frihedsgrader

Fordelingen anvendes til at bestemme sandsynligheden for, at to stikprøver har samme varians. Tegn fordelingen-muligheden er tilgængelig, når F Pdf beregnes ud fra en formelcelle.

F Cdf (F Cdf())

Beregner F-sandsynligheden mellem nedreGrænse og øvreGrænse for den angivne dfTæller (frihedsgrader) og dfNævner. Du kan klikke på afkrydsningsfeltet Tegn (Skraver område) for at skravere området mellem øvre og nedre grænse. Ændringer i nedreGrænse og øvreGrænse opdaterer automatisk sandsynlighedsfordelingen.

Fordelingen anvendes til at bestemme sandsynligheden for, at en enkelt observation falder inden for området mellem nedre grænse og øvre grænse.

Binomial Pdf (binomPdf())

Beregner sandsynligheden i x for den diskrete binomialfordeling med de angivne antalforsøg og sandsynligheden for succes (p) for hvert forsøg Parameteren x kan være et heltal eller en liste med heltal. 0{p{1 skal være sand. Antal forsøg skal være et heltal > 0. Hvis du ikke angiver x, returneres en liste over sandsynligheder fra 0 til antalforsøg. Sandsynlighedsfunktionen (pdf) er:

hvor n = antalforsøg

Fordelingen anvendes til at bestemme sandsynligheden for et antal succeser i nforsøg. Du kan for eksempel anvende fordelingen til at bestemme sandsynligheden for at få én krone i 5 forsøg, når du slår plat og krone.

Binomial Cdf (binomCdf())

Beregner den kumulerede sandsynlighed for den diskrete binomialfordeling med n antal forsøg og sandsynligheden p for succes ved hvert forsøg

Fordelingen er nyttig til at bestemme sandsynligheden for et antal succeser i en forsøgsrække, før alle forsøg er gennemført. Hvis det for eksempel defineres som en succes at slå krone, og du vil slå plat og krone 10 gange, kan denne fordeling forudsige chancen for at få krone mindst en gang i de 10 forsøg.

Poisson Pdf (poissPdf())

Beregner sandsynligheden i x for den diskrete Poisson-fordeling med den angivne middelværdi, m, som skal være et reelt tal > 0. x kan være et heltal eller en liste af heltal. Tæthedsfunktionen (pdf) er:

Denne fordeling er nyttig til at bestemme sandsynligheden for at opnå et bestemt antal succeser, før en forsøgsrække begynder. Du kan for eksempel anvende denne til at forudsige antallet af gange, du får krone, når du slår plat og krone 8 gange.

Poisson Cdf (poissCdf())

Beregner den kumulerede sandsynlighed for den diskrete Poisson-fordeling med en angivet middelværdi l.

Fordelingen anvendes til at bestemme sandsynligheden for at et bestemt antal succeser forekommer mellem et forsøgs øvre og nedre grænser. Du kan for eksempel anvende beregningen til at forudsige det antal gange, du slår krone, mellem forsøg nr. 3 og forsøg nr. 8.

Geometrisk Pdf (geomPdf())

Beregner sandsynligheden for at den første succes forekommer efter et bestemt antal gange x, ud fra den diskrete geometriske fordeling med den angivne sandsynlighed for succes, p. 0{p{1 skal være sand. x kan være et heltal eller en liste af heltal. Sandsynlighedsfunktionen (pdf) er:

Fordelingen er nyttig til at finde det mest sandsynlige antal forsøg, før der opnås succes. Du kan for eksempel anvende beregningen til at forudsige antallet af gange, du skal slå plat og krone, før du får krone.

Geometrisk Cdf (geomCdf())

Beregner den kumulerede geometriske sandsynlighed fra nedreGrænse til øvreGrænse med den angivne sandsynlighed for succes, p.

Fordelingen anvendes til at bestemme sandsynligheden for, at den første succes indtræffer mellem forsøg 1 og n. Du kan for eksempel anvende beregningen til at bestemme sandsynligheden for krone i forsøg nr. 1, nr. 2, nr. 3, …, nr. n.

 

© 2006 - 2012 Texas Instruments Incorporated