Previous TopicNext Topic
Vous êtes ici: Bienvenue dans l’application TI‑Nspire™ pour iPad® > Application Graphiques > Représentation graphique d’un nuage de points

Représentation graphique d’un nuage de points

1. Dans l’application Graphiques, tapez sur Outils  et accédez à Entrée/Modification graphique > Nuage de points.

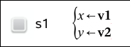
2. Utilisez l’une des méthodes suivantes pour spécifier deux listes représentant les x et les y.
- Tapez sur pour sélectionner une variable de type liste que vous avez définie dans l’activité courante.
- Saisissez le nom d'une variable de type liste existante, par exemple v1.
- Saisissez directement les éléments de la liste (par exemple, saisissez {1,2,3}.

3. Tapez sur ENTRÉE pour représenter les données, puis zoomez sur l’espace de travail pour afficher les données tracées.

 

© 2013-2014 Texas Instruments Incorporated