You are here:TI‑Nspire™ CAS/TI‑Nspire™ CX CAS Reference Guide > P

P

PRx()

PRx(rExpr, θExpr) expression
PRx(rList, θList) list
PRx(rMatrix, θMatrix) matrix

Returns the equivalent x-coordinate of the (r, θ) pair.

Note: The θ argument is interpreted as either a degree, gradian or radian angle, according to the current angle mode. If the argument is an expression, you can use °G, or r to override the angle mode setting temporarily.

Note: You can insert this function from the computer keyboard by typing P@>Rx(...).

In Radian angle mode:

PRy()

PRy(rExpr, θExpr) expression

PRy(rList, θList) list
PRy(rMatrix, θMatrix) matrix

Returns the equivalent y-coordinate of the (r, θ) pair.

Note: The θ argument is interpreted as either a degree, radian or gradian angle, according to the current angle mode. If the argument is an expression, you can use °G, or r to override the angle mode setting temporarily.

Note: You can insert this function from the computer keyboard by typing P@>Ry(...).

In Radian angle mode:

PassErr

PassErr

Passes an error to the next level.

If system variable errCode is zero, PassErr does not do anything.

The Else clause of the Try...Else...EndTry block should use ClrErr or PassErr. If the error is to be processed or ignored, use ClrErr. If what to do with the error is not known, use PassErr to send it to the next error handler. If there are no more pending Try...Else...EndTry error handlers, the error dialog box will be displayed as normal.

Note: See also ClrErr, here, and Try, here.

Note for entering the example: For instructions on entering multi-line program and function definitions, refer to the Calculator section of your product guidebook.

For an example of PassErr, See Example 2 under the Try command, here.

piecewise()

piecewise(Expr1[, Cond1[, Expr2 [, Cond2[, … ]]]])

Returns definitions for a piecewise function in the form of a list. You can also create piecewise definitions by using a template.

Note: See also Piecewise template, here.

poissCdf()

poissCdf(λ,lowBound,upBound) number if lowBound and upBound are numbers, list if lowBound and upBound are lists

poissCdf(λ,upBound)for P(0XupBound) number if upBound is a number, list if upBound is a list

Computes a cumulative probability for the discrete Poisson distribution with specified mean λ.

For P(X upBound), set lowBound=0

 

poissPdf()

poissPdf(λ,XVal) number if XVal is a number, list if XVal is a list

Computes a probability for the discrete Poisson distribution with the specified mean λ.

 

Polar

Vector Polar

Note: You can insert this operator from the computer keyboard by typing @>Polar.

Displays vector in polar form [r∠θ]. The vector must be of dimension 2 and can be a row or a column.

Note: Polar is a display-format instruction, not a conversion function. You can use it only at the end of an entry line, and it does not update ans.

Note: See also Rect, here.

complexValue Polar

Displays complexVector in polar form.

Degree angle mode returns (r∠θ).
Radian angle mode returns reiθ.

complexValue can have any complex form. However, an reiθ entry causes an error in Degree angle mode.

Note: You must use the parentheses for an (r∠θ) polar entry.

In Radian angle mode:


In Gradian angle mode:


In Degree angle mode:

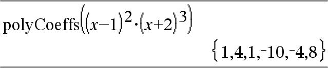
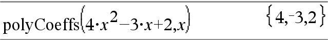
polyCoeffs()

polyCoeffs(Poly [,Var]) list

Returns a list of the coefficients of polynomial Poly with respect to variable Var.

Poly must be a polynomial expression in Var. We recommend that you do not omit Var unless Poly is an expression in a single variable.

 

 

Expands the polynomial and selects x for the omitted Var.

 

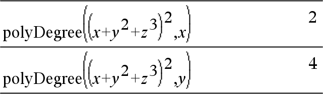
polyDegree()

polyDegree(Poly [,Var]) value

Returns the degree of polynomial expression Poly with respect to variable Var. If you omit Var, the polyDegree() function selects a default from the variables contained in the polynomial Poly.

Poly must be a polynomial expression in Var. We recommend that you do not omit Var unless Poly is an expression in a single variable.

 

Constant polynomials

 

 

The degree can be extracted even though the coefficients cannot. This is because the degree can be extracted without expanding the polynomial.

polyEval()

polyEval(List1, Expr1) expression
polyEval(List1, List2) expression

Interprets the first argument as the coefficient of a descending-degree polynomial, and returns the polynomial evaluated for the value of the second argument.

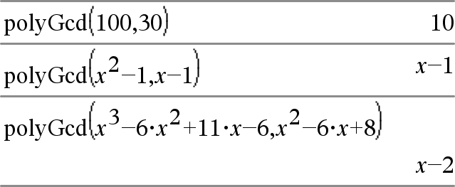
polyGcd()

polyGcd(Expr1,Expr2) expression

Returns greatest common divisor of the two arguments.

Expr1 and Expr2 must be polynomial expressions.

List, matrix, and Boolean arguments are not allowed.

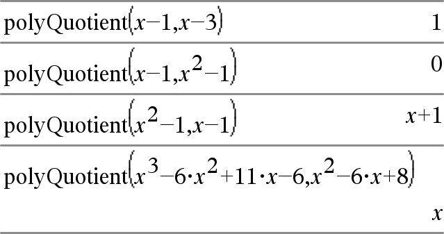
polyQuotient()

polyQuotient(Poly1,Poly2 [,Var]) expression

Returns the quotient of polynomial Poly1 divided by polynomial Poly2 with respect to the specified variable Var.

Poly1 and Poly2 must be polynomial expressions in Var. We recommend that you do not omit Var unless Poly1 and Poly2 are expressions in the same single variable.

 

 

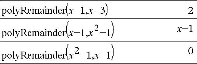
polyRemainder()

polyRemainder(Poly1,Poly2 [,Var]) expression

Returns the remainder of polynomial Poly1 divided by polynomial Poly2 with respect to the specified variable Var.

Poly1 and Poly2 must be polynomial expressions in Var. We recommend that you do not omit Var unless Poly1 and Poly2 are expressions in the same single variable.

 

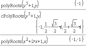
polyRoots()

polyRoots(Poly,Var) list

polyRoots(ListOfCoeffs) list

The first syntax, polyRoots(Poly,Var), returns a list of real roots of polynomial Poly with respect to variable Var. If no real roots exist, returns an empty list: { }.

Poly must be a polynomial in one variable.

The second syntax, polyRoots(ListOfCoeffs), returns a list of real roots for the coefficients in ListOfCoeffs.

Note: See also cPolyRoots(), here.



PowerReg

PowerReg X,Y[, Freq][, Category, Include]]

Computes the power regressiony = (a(x)b)on lists X and Y with frequency Freq. A summary of results is stored in the stat.results variable. (See here.)

All the lists must have equal dimension except for Include.

X and Y are lists of independent and dependent variables.

Freq is an optional list of frequency values. Each element in Freq specifies the frequency of occurrence for each corresponding X and Y data point. The default value is 1. All elements must be integers 0.

Category is a list of category codes for the corresponding X and Y data.

Include is a list of one or more of the category codes. Only those data items whose category code is included in this list are included in the calculation.

For information on the effect of empty elements in a list, see “Empty (Void) Elements,” here.

 

Output variable

Description

stat.RegEqn

Regression equation: a(x)b

stat.a, stat.b

Regression coefficients

stat.r2

Coefficient of linear determination for transformed data

stat.r

Correlation coefficient for transformed data (ln(x), ln(y))

stat.Resid

Residuals associated with the power model

stat.ResidTrans

Residuals associated with linear fit of transformed data

stat.XReg

List of data points in the modified X List actually used in the regression based on restrictions of Freq, Category List, and Include Categories

stat.YReg

List of data points in the modified Y List actually used in the regression based on restrictions of Freq, Category List, and Include Categories

stat.FreqReg

List of frequencies corresponding to stat.XReg and stat.YReg

Prgm

Prgm
     Block
EndPrgm

Template for creating a user-defined program. Must be used with the Define, Define LibPub, or Define LibPriv command.

Block can be a single statement, a series of statements separated with the “:” character, or a series of statements on separate lines.

Note for entering the example: For instructions on entering multi-line program and function definitions, refer to the Calculator section of your product guidebook.

Calculate GCD and display intermediate results.

prodSeq()

 

 

Product (PI)

 

 

product()

product(List[, Start[, End]]) expression

Returns the product of the elements contained in List. Start and End are optional. They specify a range of elements.

product(Matrix1[, Start[, End]]) matrix

Returns a row vector containing the products of the elements in the columns of Matrix1. Start and end are optional. They specify a range of rows.

Empty (void) elements are ignored. For more information on empty elements, see here.

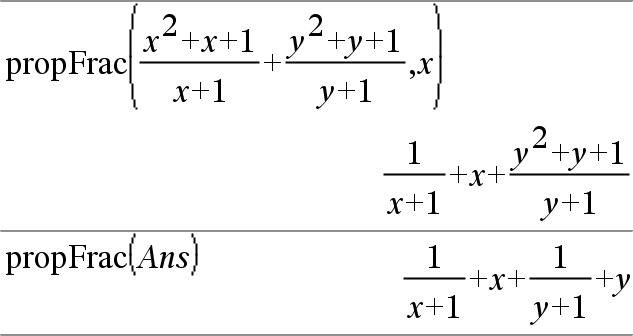
propFrac()

propFrac(Expr1[, Var]) expression

propFrac(rational_number) returns rational_number as the sum of an integer and a fraction having the same sign and a greater denominator magnitude than numerator magnitude.

propFrac(rational_expression,Var) returns the sum of proper ratios and a polynomial with respect to Var. The degree of Var in the denominator exceeds the degree of Var in the numerator in each proper ratio. Similar powers of Var are collected. The terms and their factors are sorted with Var as the main variable.

If Var is omitted, a proper fraction expansion is done with respect to the most main variable. The coefficients of the polynomial part are then made proper with respect to their most main variable first and so on.

For rational expressions, propFrac() is a faster but less extreme alternative to expand().

You can use the propFrac() function to represent mixed fractions and demonstrate addition and subtraction of mixed fractions.