符号
|
+ 键 |
|
|
返回两个自变量之和。 |
|
|
List1 + List2Þ数组 Matrix1 + Matrix2Þ矩阵 返回一个数组(或矩阵),其元素为 List1 和 List2(或 Matrix1 和 Matrix2) 中对应元素之和。 两个自变量的维数必须相等。 |
|
|
返回一个数组,其元素为 Expr 与 List1 中每个元素的和。 返回一个数组,其元素为 Value 与 List1 中每个元素的和。 |
|
|
返回一个矩阵,其对角线上的元素为 Expr 与 Matrix1 对角线上的各元素相加的和。Matrix1 必须为方阵。 返回一个矩阵,其对角线上的元素为 Value 与 Matrix1 对角线上的各元素相加的和。Matrix1 必须为方阵。 注意: 使用 .+(点和)可将表达式分别与每个元素相加。 |
|
|
- 键 |
|
|
|
|
|
List1N List2Þ数组 Matrix1 N Matrix2Þ矩阵 返回一个数组(或矩阵),其元素为 List1(或 Matrix1)中的元素减去 List2(或 Matrix2)中对应元素的差值。 两个自变量的维数必须相等。 |
|
|
返回一个数组,其元素为 Expr 减去 List1 各元素的差值或 List1 各元素减去 Expr 的差值。 返回一个数组,其元素为 Value 减去 List1 各元素的差值或 List1 各元素减去 Value 的差值。 |
|
|
Value
注意: 使用 .N(点差)可从各元素分别减去表达式。 |
|
|
r 键 |
|
|
返回两个自变量的乘积。 |
|
|
List1 · List2Þ数组 返回一个数组,其元素为 List1 和 List2 中各对应元素的乘积。 两个数组的维数必须相等。 |
|
|
Matrix1 · Matrix2Þ矩阵 返回 Matrix1 和 Matrix2 的矩阵乘积。 Matrix1 的列数必须与 Matrix2 的行数相等。 |
|
|
返回一个数组,其元素为 Expr 与 List1 中各元素的乘积。
返回一个数组,其元素为 Value 与 List1 中各元素的乘积。 |
|
|
返回一个矩阵,其元素为 Expr 与 Matrix1 中各元素的乘积。
返回一个矩阵,其元素为 Value 与 Matrix1 中各元素的乘积。 注意: 使用 .·(点积)可将表达式分别与每个元素相乘。 |
|
|
p 键 |
|
|
返回 Value1 除以 Value2 的商。 注意: 另请参阅分数模板(这里)。 |
|
|
List1 à List2Þ数组 返回一个由 List1 除以 List2 的商组成的数组。 两个数组的维数必须相等。 |
|
|
返回一个数组,其元素为Expr 除以 List1 中各元素的商或 List1 中的各元素除以 Expr 的商。 返回一个数组,其元素为Value 除以 List1 中各元素的商或 List1 中的各元素除以 Value 的商。 |
|
|
Matrix1 à Value Þ 矩阵 返回一个矩阵,其元素为 Matrix1àValue 的商。 注意: 使用 ./(点商)可使每个元素分别除以表达式。 |
|
|
l 键 |
|
|
List1 ^ List2 Þ 数组 返回以第一个自变量为底,第二个自变量为乘方的结果。 注意: 另请参阅指数模板(这里)。 对于数组,返回以 List1 中各元素为底,List2 中对应元素为乘方的结果。 在实数域中,化简的奇分母分数乘方使用实数支,而在复数模式下使用主支。 |
|
|
|
|
|
|
|
|
squareMatrix1 ^ integer Þ 矩阵 返回以 squareMatrix1 为底,以 integer 为冥的计算结果。 squareMatrix1 必须为方阵。 如果 integer = L1,计算逆矩阵。 如果 integer < L1,以合适的正数乘方计算逆矩阵。 |
|
|
q 键 |
|
|
返回自变量的平方。 List12 Þ 数组 返回一个数组,其元素为 List1 中各元素的平方。 squareMatrix12 Þ 方阵 返回 squareMatrix1 的矩阵平方,此运算不同于计算每个元素的平方。使用 .^2 可计算每个元素的平方。 |
|
|
^+ 键 |
|
|
Matrix1 .+ Matrix2 Þ 矩阵
Matrix1 .+ Matrix2 返回一个矩阵,其元素为 Matrix1 和 Matrix2 中各对应元素对的和。
|
|
|
^- 键 |
|
|
Matrix1 .N Matrix2 Þ 矩阵 Matrix1 .NMatrix2 返回一个矩阵,其元素为 Matrix1 与 Matrix2 中各对应元素对的差。 |
|
|
^r 键 |
|
|
Matrix1 .·Matrix2 Þ 矩阵 Matrix1 .·Matrix2 返回一个矩阵,其元素为 Matrix1 和 Matrix2 中各对应元素对的乘积。 |
|
|
^p 键 |
|
|
Matrix1 ./Matrix2 Þ 矩阵
Matrix1 ./ Matrix2 返回一个矩阵,其元素为 Matrix1 和 Matrix2 中各对应元素对的商。 |
|
|
^l 键 |
|
|
Matrix1 .^ Matrix2 Þ 矩阵
Matrix1 .^ Matrix2 返回一个矩阵,其中 Matrix2 中的元素是 Matrix1 中各对应元素的指数。 |
|
|
v 键 |
|
|
LList1 Þ 数组 LMatrix1 Þ 矩阵 返回自变量的负值。 对于数组或矩阵,返回所有元素的负值。 如果自变量为二进制或十六进制整数,则求负将计算出它们的补数。 |
在 Bin 模式下: 重要信息: 零,非字母 O
要查看完整结果,请按 5,然后使用 7 和 8 移动光标。 |
|
/k 键 |
|
|
List1 % Þ 数组 Matrix1 % Þ 矩阵 返回 对于数组或矩阵,返回由各元素分别除以 100 组成的数组或矩阵。 |
注意: 要强制获得近似结果, 手持设备: 按 / ·。
|
|
= 键 |
|
|
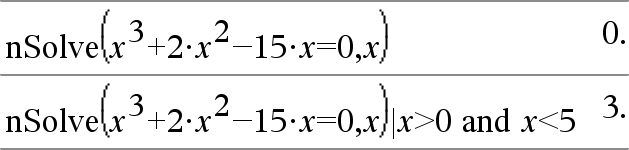
Expr1 = Expr2Þ布尔表达式 List1 = List2Þ布尔数组 Matrix1 = Matrix2Þ布尔矩阵 如果确定 Expr1 等于 Expr2,则返回 true。 如果确定 Expr1 不等于 Expr2,则返回 false。 其他情况则返回等式的简化形式。 对于数组和矩阵,返回各对应元素的比较结果。 输入 样本的注意事项: 关于输入多行程序和函数定义的说明,请参阅产品指导手册中的“计算器”章节。 |
示例函数给出了使用数学测试符号的结果:=, ƒ, <, {, >, |
绘制 g(x) 的结果
|
|
/= 键 |
|
|
Expr1 ƒ Expr2 Þ布尔表达式 List1 ƒ List2 Þ布尔数组 Matrix1 ƒ Matrix2 Þ布尔矩阵 如果确定 Expr1 不等于 Expr2,则返回 true。 如果确定 Expr1 等于 Expr2,则返回 false。 其他情况则返回等式的简化形式。 对于数组和矩阵,返回各对应元素的比较结果。 注意: 您可以通过在计算机键盘上键入 /= ð»ΥÀ‘ÀÀ„²°°£ |
请参阅“=”(等于)示例。 |
|
/= 键 |
|
|
Expr1 < Expr2 Þ布尔表达式 List1 < List2 Þ布尔数组 Matrix1 < Matrix2 Þ布尔矩阵 如果确定 Expr1 小于 Expr2,则返回 true。 如果确定 Expr1 大于或等于 Expr2,则返回 false。 其他情况则返回等式的简化形式。 对于数组和矩阵,返回各对应元素的比较结果。 |
请参阅“=”(等于)示例。 |
|
/= 键 |
|
|
Expr1 { Expr2 Þ布尔表达式 List1 { List2 Þ布尔数组 Matrix1 { Matrix2 Þ布尔矩阵 如果确定 Expr1 小于或等于 Expr2,则返回 true。 如果确定 Expr1 大于 Expr2,则返回 false。 其他情况则返回等式的简化形式。 对于数组和矩阵,返回各对应元素的比较结果。 注意: 您可以通过在计算机键盘上键入 <= ð»ΥÀ‘ÀÀ„²°°£ |
请参阅“=”(等于)示例。 |
|
/= 键 |
|
|
Expr1 > Expr2 Þ布尔表达式 List1 > List2 Þ布尔数组 Matrix1 > Matrix2 Þ布尔矩阵 如果确定 Expr1 大于 Expr2,则返回 true。 如果确定 Expr1 小于或等于 Expr2,则返回 false。 其他情况则返回等式的简化形式。 对于数组和矩阵,返回各对应元素的比较结果。 |
请参阅“=”(等于)示例。 |
|
/= 键 |
|
|
Expr1 | Expr2 Þ布尔表达式 List1 | List2 Þ布尔数组 Matrix1 | Matrix2 Þ布尔矩阵 如果确定 Expr1 大于或等于 Expr2,则返回 true。 如果确定 Expr1 小于 Expr2,则返回 false。 其他情况则返回等式的简化形式。 对于数组和矩阵,返回各对应元素的比较结果。 注意: 您可以通过在计算机键盘上键入 >= ð»ΥÀ‘ÀÀ„²°°£ |
请参阅“=”(等于)示例。 |
|
/= 键 |
|
|
布尔表达式1 Þ 布尔表达式2 返回 布尔表达式 布尔列表1 Þ 布尔列表2 返回 布尔列表 布尔矩阵1 Þ 布尔矩阵2 返回 布尔矩阵 整数1 Þ 整数2 返回 整数
计算表达式 not <自变量1> or <自变量2> 并返回真、假或方程的简化形式。 列表和矩阵则按元素返回对比。 注意:您可以通过键盘输入 => 来插入此运算符 |
|
|
/= 键 |
|
|
布尔表达式1 Û 布尔表达式2 返回 布尔表达式 布尔列表1 Û 布尔列表2 返回 布尔列表 布尔矩阵1 Û 布尔矩阵2 返回 布尔矩阵 整数1 Û 整数2 返回 整数
返回两个自变量 列表和矩阵则按元素返回对比。 注意:您可以通过键盘输入 <=> 来插入此运算符 |
|
|
º 键 |
|
|
List1!Þ 数组 Matrix1!Þ 矩阵 返回自变量的阶乘。 对于数组或矩阵,返回由各元素阶乘组成的数组或矩阵。 |
|
|
/k 键 |
|
|
String1 & String2 Þ 字符串 返回将 String2 添加到 String1 之后的文本字符串。 |
|
|
目录 > |
|
|
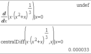
d(Expr1, Var[, Order]) | Var=ValueÞ值 d(Expr1, Var[, Order])Þ值 d(List1,Var[, Order])Þ数组 d(Matrix1,Var[, Order])Þ矩阵 除了使用第一个句法时以外,您必须在变量 Var 中存储一个数值,然后才能计算 d()。请参阅示例。
Order(如包括)必须=1 或 2。默认值为 1。 注意: 您可以通过在计算机键盘上键入 |
|
|
请注意右侧的示例。x=0 时,x·(x^2+x)^(1/3) 的一阶导数等于 0。但是,由于 x=0 时子表达式 (x^2+x)^(1/3) 的一阶导数未定义,且该值是用于计算整个表达式的导数,因此 d() 会将结果报告为未定义并显示警告信息。
|
|
|
目录 > |
|
|
‰(Expr1, Var, Lower, Upper) Þ 值 返回 Expr1 关于变量 Var 从 Lower 到 Upper 的积分。可用于计算定积分数值(使用与 nInt() 相同的方法)。 注意: 您可以通过在计算机键盘上键入 integral(...)插入此函数。 |
|
|
/q 键 |
|
|
‡ (List1)Þ数组 返回自变量的平方根。 对于数组,返回 List1 中所有元素的平方根。 注意: 您可以通过在计算机键盘上键入 sqrt(...)ð»ΥÀ½Øþ˝°£ 注意: 另请参阅平方根模板(这里)。 |
|
|
目录 > |
|
|
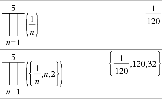
P(Expr1, Var, Low, High)Þ表达式 注意: 您可以通过在计算机键盘上键入 prodSeq(...)插入此函数。 计算 Expr1 在变量 Var 从 Low 到 High 取值时所对应的结果,并返回这些结果的乘积。 注意: 另请参阅乘积模板(P)(这里)。 |
|
|
P(Expr1, Var, Low, LowN1)Þ1 P(Expr1, Var, Low, High) Þ1/P(Expr1, Var, High+1, LowN1) if High < LowN1
使用的乘积公式引自以下参考资料: Ronald L. Graham, Donald E. Knuth, and Oren Patashnik.Concrete Mathematics:A Foundation for Computer Science.Reading, Massachusetts:Addison-Wesley, 1994. |
|
|
目录 > |
|
|
G(Expr1, Var, Low, High)Þ表达式 注意: 您可以通过在计算机键盘上键入 sumSeq(...)插入此函数。 计算 Expr1 在变量 Var 从 Low 到 High 取值时所对应的结果,并返回这些结果的和。 注意: 另请参阅求和模板(这里)。 |
|
|
G(Expr1, Var, Low, LowN1)Þ0 G(Expr1, Var, Low, High) ÞLG(Expr1, Var, High+1, LowN1) if High < LowN1
使用的求和公式引自以下参考资料: Ronald L. Graham, Donald E. Knuth, and Oren Patashnik.Concrete Mathematics:A Foundation for Computer Science.Reading, Massachusetts:Addison-Wesley, 1994. |
|
|
目录 > |
||||||||||
|
GInt(NPmt1, NPmt2, N, I, PV ,[Pmt], [FV], [PpY], [CpY], [PmtAt], [roundValue])Þ值 GInt(NPmt1,NPmt2,amortTable)Þ值 计算指定支付范围内需支付的利息之和的分期偿还函数。 NPmt1 和 NPmt2 定义支付范围的起始和结束日期。 N、I、PV、Pmt、FV、PpY、CpY 和 PmtAt 在 TVM 自变量表中有介绍(这里)。
roundValue 指定四舍五入的小数位数。默认保留两位小数。 GInt(NPmt1,NPmt2,amortTable) 计算基于分期偿还表 amortTable 的利息之和。amortTable 自变量必须为 amortTbl()(这里)下所介绍形式的矩阵。 注意: 另请参阅下文的 GPrn() 和这里的 Bal()。 |
|
|
目录 > |
||||||||||
|
GPrn(NPmt1, NPmt2, N, I, PV, [Pmt], [FV], [PpY], [CpY], [PmtAt], [roundValue])Þ值 GPrn(NPmt1,NPmt2,amortTable)Þ值 计算指定支付范围内需支付的本金之和的分期偿还函数。 NPmt1 和 NPmt2 定义支付范围的起始和结束日期。 N、I、PV、Pmt、FV、PpY、CpY 和 PmtAt 在 TVM 自变量表中有介绍(这里)。
roundValue 指定四舍五入的小数位数。默认保留两位小数。 GPrn(NPmt1,NPmt2,amortTable) 计算基于分期偿还表 amortTable 的本金之和。amortTable 自变量必须为 amortTbl()(这里)下所介绍形式的矩阵。 注意: 另请参阅上文的 GInt() 和这里的 Bal()。 |
|
|
/k 键 |
|
|
# varNameString 调用名称为 varNameString 的变量。借助此功能,您可以在函数中使用字符串创建变量名称。 |
创建或调用变量 xyz。
返回名称存储在变量 s1 中的变量 (r) 的值。 |
|
i 键 |
|
|
mantissaEexponent 输入一个科学记数法的数值。数值将表示为 mantissa × 10exponent。 提示:如果您要输入 10 的乘方而不引入十进制数值结果结果,请使用 10^整数。 注意: 您可以通过在计算机键盘上键入 @E 插入此运算符。例如,键入 2.3@E4 便可输入 2.3E4。 |
|
|
1 键 |
|
|
List1gÞ数组 Matrix1gÞ矩阵 此函数让您能够在 Degree 或 Radian 模式下使用百分度角度。 在 Radian 角度模式下,用 Expr1 乘以 p/200。 在 Degree 角度模式下,用 Expr1 乘以 g/100。 在 Gradian 模式下,原样返回 Expr1。 注意: 您可以通过在计算机键盘上键入 @g 插入此符号。 |
在 Degree、Gradian 或 Radian 模式下:
|
|
1 键 |
|
|
List1RÞ数组 Matrix1RÞ矩阵 此函数让您能够在 Degree 或 Gradian 模式下使用弧度角。 在 Degree 角度模式下,用自变量乘以 180/p。 在 Radian 模式下,原样返回自变量。 在 Gradian 模式下,用自变量乘以 200/p。 提示:如果您希望在使用函数时无论采用何种模式,均强制使用弧度角,可使用 R。 注意: 您可以通过在计算机键盘上键入 @r 插入此符号。 |
在 Degree、Gradian 或 Radian 角度模式下:
|
|
1 键 |
|
|
List1¡Þ数组 Matrix1¡Þ矩阵 此函数让您能够在 Gradian 或 Radian 模式下使用度数角。 在 Radian 角度模式下,用自变量乘以 p/180。 在 Degree 模式下,原样返回自变量。 在 Gradian 角度模式下,用自变量乘以 10/9。 注意: 您可以通过在计算机键盘上键入 @d 插入此符号。 |
在 Degree、Gradian 或 Radian 角度模式下:
在 Radian 角度模式下:
|
|
/k 键 |
|||||||
|
dd¡mm'ss.ss''Þ表达式 dd正数或负数 mm非负数 ss.ss非负数 返回 dd+(mm/60)+(ss.ss/3600)。 使用 ‑60 进制的输入格式,您可以:
注意: ss.ss 后跟两个撇号 ('') 而不是引号 (")。 |
在 Degree 角度模式下:
|
|
/k 键 |
|
|
[Radius,±q_Angle]Þ向量 (极坐标输入) [Radius,±q_Angle,Z_Coordinate]Þ向量 (圆柱坐标输入) [Radius,±q_Angle,±q_Angle]Þ向量 (球坐标输入) 根据 Vector Format 模式设置以向量形式返回坐标:直角坐标、圆柱坐标、球坐标。 注意: 您可以通过在计算机键盘上键入 @< 插入此符号。 |
在 Radian 模式和向量格式下设置为: 直角坐标
圆柱坐标
球坐标
|
|
(Magnitude ± Angle)Þ复数值 (极坐标输入) 以 (r±q) 极坐标形式输入复数值。Angle 将根据当前 Angle 模式设置显示。 |
在 Radian 角度模式和 Rectangular 复数格式下:
|
|
请参阅 “空(空值)元素” (这里)。 |
|
|
|
|
|
目录 > |
|
|
10^ (List1)Þ数组 返回以 10 为底,自变量为乘方的计算结果。 对于数组,返回以 10 为底,以 List1 中各元素为乘方的计算结果。 |
|
|
10^(squareMatrix1)Þ方阵 返回以 10 为底,squareMatrix1 为乘方的计算结果。此运算不同于计算以 10 为底,以方阵中各元素为乘方的值。有关计算方法的信息,请参阅 cos()。 squareMatrix1 必须可对角化,结果始终包含浮点数。 |
|
|
目录 > |
|
|
List1 ^/Þ数组 返回自变量的倒数。 对于数组,返回 List1 中所有元素的倒数。 |
|
|
squareMatrix1 ^/Þ方阵 返回 squareMatrix1 的逆矩阵。 squareMatrix1 必须为非退化方阵。 |
|
|
/k 键 |
||||||||||
|
表达式 | 布尔表达式1 [ 表达式 | 布尔表达式1 [ 约束符号 (“|”) 表示二进制运算符。 | 左侧的运算数是一个表达式。 | 右侧的运算数指定了一个或多个影响表达式简化的关系。 | 后的多个关系必须使用 “ 约束运算符有三种基本功能:
|
|
|||||||||
|
代换是用等式的形式表示的,如 x=3 或 y=sin(x)。 为有效起见,左侧应该是一个简单变量。 表达式 | 变量 = 值 将代换表达式中所有变量的值。 |
|
|||||||||
|
区间约束是用 “ |
|
|||||||||
|
排除是使用“不等于”(/= 或 ƒ)关系运算符从对象中排除特定值。 |
|
/h 键 |
|
|
如果变量 Var 不存在,则创建变量并将其赋值为 Value、List 或 Matrix。 如果变量 Var 已存在且未被锁定或保护,则用 Value、List 或 Matrix 替换其值。 注意: 您可以通过在计算机键盘上键入 =:来插入此运算符以作为快捷方式。例如,键入 pi/4 =: myvar。 |
|
|
/t 键 |
|
|
Var := List Var := Matrix Function(Param1,...):= Expr Function(Param1,...):= List Function(Param1,...):= Matrix 如果变量 Var 不存在,则创建 Var 并将其赋值为 Value、List 或 Matrix。 如果变量 Var 已存在且未被锁定或保护,则用 Value、List 或 Matrix 替换其值。 |
|
|
/k 键 |
|
|
© [text] © 将文本作为注释行处理,可用于对所创建的函数和程序进行注释。 © 可位于行首或行间的任意位置。© 右侧直到该行结尾的所有内容均为注释。 输入 样本的注意事项: 关于输入多行程序和函数定义的说明,请参阅产品指导手册中的“计算器”章节。 |
|
|
0B 键,0H 键 |
|
|
0b 二进制数字 0h 十六进制数字 分别表示二进制或十六进制数值。要输入二进制或十六进制数值,在任何进位制模式下,您都必须输入 0b 或 0h 前缀。不带前缀的数值都将视为十进制(基数为 10)处理。 结果根据进位制模式显示。 |
在 Dec 模式下:
在 Bin 模式下:
在 Hex 模式下:
|

。
