Mallar för uttryck
Mallar för uttryck erbjuder ett enkelt sätt att mata skriva in uttryck med matematiska standardtecken. När du matar in en mall visas den på inmatningsraden med små block i positioner där du kan skriva in element. En markör visar vilket element du kan skriva in.
Använd piltangenterna eller tryck på e för att flytta till varje elements position, och skriv ett värde eller uttryck för det aktuella elementet. Tryck på · eller /· för att utvärdera uttrycket.
|
/p tangenter |
|
|
|
Exempel:
|
|
l tangent |
|
|
Obs: Skriv in det första värdet, tryck på l och skriv sedan in exponenten. För att återföra markören till basraden, tryck på högerpilen (¢). Obs: Se även ^ (potens), här. |
Exempel:
|
|
/q tangenter |
|
|
|
Exempel:
|
|
/l tangenter |
|
|
|
Exempel:
|
|
u tangent |
|
|
Basen för den naturliga logaritmen e upphöjd till Obs: Se även e^(), här. |
Exempel:
|
|
/s tangenter |
|
|
Beräknar logaritmen till en specificerad bas. För en förinställning av bas 10, utelämna basen. Obs: Se även log(), här. |
Exempel:
|
|
Katalog > |
|
|
Låter dig skapa uttryck och villkor för en stegvis funktion med två steg.‑ För att lägga till ett steg, klicka i mallen och upprepa mallen. Obs: Se även stegvis(), här. |
Exempel:
|
|
Katalog > |
|
|
Låter dig skapa uttryck och villkor för en stegvis funktion med N steg.‑ Promptar för N.
Obs: Se även stegvis(), här. |
Exempel: Se exemplet på Stegvis mall (2 steg). |
|
Katalog > |
|
|
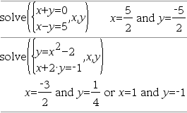
Skapar ett ekvationssystem med två ekvationer. För att lägga till en rad i ett befintligt system, klicka i mallen och upprepa mallen. Obs: Se även system(), här. |
Exempel:
|
|
Katalog > |
|
|
Låter dig skapa ett ekvationssystem med Nekvationer. Promptar för N.
Obs: Se även system(), här. |
Exempel: Se exemplet på mall för Ekvationssystem (2 ekvationer). |
|
Katalog > |
|
|
|
Exempel:
|
|
Katalog > |
|
|
Låter dig skriva in vinklar i formatet dd°mm’ss.ss’’, där dd är antalet decimala grader, mm är antalet minuter och ss.ss är antalet sekunder. |
Exempel:
|
|
Katalog > |
|
|
Skapar en 2 x 2-matris. |
Exempel:
|
|
Katalog > |
|
|
|
Exempel:
|
|
Katalog > |
|
|
|
Exempel:
|
|
Katalog > |
|
|
Mallen visas när du har uppmanats att specificera antalet rader och kolumner.
Obs: Om du skapar en matris med många rader och kolumner kan det ta några sekunder innan den visas. |
Exempel:
|
|
Katalog > |
|
|
Obs: Se även G() (sumSeq), här. |
Exempel:
|
|
Katalog > |
|
|
Obs: Se även P() (prodSeq), här. |
Exempel:
|
|
Katalog > |
|
|
Mallen för förstaderivata kan också användas för att beräkna förstaderivatan i en punkt. Obs: Se även d() (derivata), här. |
Exempel:
|
|
Katalog > |
|
|
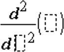
Mallen för andraderivata kan också användas för att beräkna andraderivatan i en punkt. Obs: Se även d() (derivata), här. |
Exempel:
|
|
Katalog > |
|
|
|
Exempel:
|
|
Katalog > |
|
|
|
Exempel:
|
|
Katalog > |
|
|
|
Exempel:
|
|
Katalog > |
|
|
Använd N eller (N) för det vänstra gränsvärdet. Använd + för det högra gränsvärdet.
|
Exempel:
|





.