D
|
Katalog > |
|
|
dbd(date1,date2)Þvärde Ger antalet dagar mellan date1 och date2 med dagräkningsmetoden. date1 och date2 kan vara tal eller listor på tal inom den normala kalendern. Om både date1 och date2 är listor måste de vara lika långa. date1 och date2 måste vara mellan 1950 och 2049. Du kan mata in datumen i ett av två format. Decimalplaceringen skiljer sig mellan de två datumformaten. MM.DDYY (format som ofta används i USA) DDMM.YY (format som ofta används i Europa) |
|
|
Katalog > |
|
|
Expr1 4DDÞvärde List1 4DDÞlista Matrix1 4DDÞmatris Obs: Du kan infoga denna operator med datorns tangentbord genom att skriva @>DD. Ger den decimala ekvivalenten till argumentet uttryckt i grader. Argumentet är ett tal, en lista eller en matris som tolkas av vinkelläget i nygrader, radianer eller grader. |
I vinkelläget Grader:
I vinkelläget Nygrader:
I vinkelläget Radianer:
|
|
Katalog > |
|
|
List1 4DecimalÞvärde Matrix1 4DecimalÞvärde Obs: Du kan infoga denna operator med datorns tangentbord genom att skriva @>Decimal. Visar argumentet i decimal form. Operatorn kan endast användas i slutet av inmatningsraden. |
|
|
Katalog > |
|
|
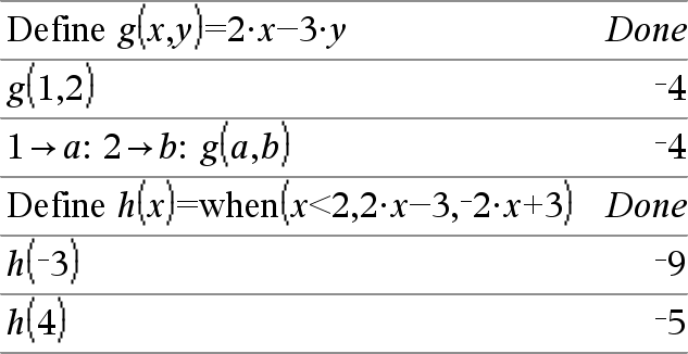
Define Var = Uttryck Define Function(Param1, Param2, ...) = Uttryck Definierar variabeln Var eller den användardefinierade funktionen Function. Parametrar såsom Param1 utgör platshållare för att överföra argument till funktionen. När du anropar en användardefinierad funktion måste du ha argument (till exempel, värden eller variabler) som överensstämmer med parametrarna. När funktionen anropas beräknar den Expression med de givna argumenten. Var och Function får inte vara namnet på en systemvariabel eller inbyggd funktion eller ett kommando. Obs: Denna form av Define är ekvivalent med att exekvera uttrycket: |
|
|
Define Function(Param1, Param2, ...) = Func Block EndFunc
Define Program(Param1, Param2, ...) = Prgm Block EndPrgm I denna form kan den användardefinierade funktionen eller programmet exekvera ett block av flera påståenden. Block kan vara antingen ett enstaka påstående eller en serie av påståenden på separata rader. Block kan även inkludera uttryck och instruktioner (till exempel, If, Then, Else och For). Obs för att mata in exemplet: Se avsnittet Räknare i produkthandboken för instruktioner om hur du anger multiline-program och funktionsdefinitioner. |
|
|
Katalog > |
|
|
Define LibPriv Var = Uttryck Define LibPriv Function(Param1, Param2, ...) = Uttryck Define LibPriv Function(Param1, Param2, ...) = Func Block EndFunc Define LibPriv Program(Param1, Param2, ...) = Prgm Block EndPrgm Fungerar på samma sätt som Define förutom att en privat biblioteksvariabel, funktion eller program definieras. Privata funktioner och program visas inte i Katalogen. |
|
|
Katalog > |
|
|
Define LibPub Var = Uttryck Define LibPub Function(Param1, Param2, ...) = Uttryck Define LibPub Function(Param1, Param2, ...) = Func Block EndFunc Define LibPub Program(Param1, Param2, ...) = Prgm Block EndPrgm Fungerar på samma sätt som Define förutom att en allmän biblioteksvariabel, funktion eller program definieras. Allmänna funktioner och program visas i Katalogen när biblioteket har sparats och uppdaterats. |
|
|
Se @List(), här. |
|
|
|
|
|
|
|
|
Katalog > |
|
|
DelVar Var1[, Var2] [, Var3] ... DelVar Var. Tar bort den specificerade variabeln eller variabelgruppen från minnet. Om en eller flera variabler är låsta visar detta kommando ett felmeddelande och tar endast bort olåsta variabler. Se |
|
|
DelVar Var. tar bort alla led i variabelgruppen Var. variabelgrupp (till exempel, den statistiska stat.nn-resultaten eller variabler skapade med funktionen LibShortcut()). Punkten (.) i denna form av DelVar-kommandot begränsar kommandot till borttagning av en variabelgrupp: den enkla variabeln Var påverkas inte. |
|
|
Katalog > |
|
|
Ger en lista med innehållet i List1 med alla tomma element borttagna. För mer information om tomma element, se här. |
|
|
Katalog > |
|||||||
|
det(squareMatrix[, Tolerance])Þuttryck Ger determinanten för squareMatrix. Alternativt behandlas varje matriselement som noll om dess absolutvärde är mindre än Tolerance. Denna tolerans används endast om matrisen har inmatning i flyttalsform och inte innehåller några symboliska variabler som inte har tilldelats ett värde. Annars ignoreras Tolerance.
|
|
|
Katalog > |
|
|
diag(List)Þmatris diag(rowMatrix)Þmatris diag(columnMatrix)Þmatris Ger en matris med värdena i argumentlistan eller matrisen i dess huvuddiagonal. |
|
|
diag(squareMatrix)ÞradMatris Ger en radmatris som innehåller elementen från huvuddiagonalen hos squareMatrix. squareMatrix måste vara kvadratisk. |
|
|
Katalog > |
|
|
dim(List)Þheltal Ger dimensionen på List. |
|
|
dim(Matrix)Þlista Ger dimensionerna på en matris som en lista med två element {rader, kolumner}. |
|
|
dim(String)Þheltal Ger antalet tecken i teckensträngen String. |
|
|
Katalog > |
|
|
Disp exprOrString1 [, exprOrString2] ... Visar argumenten i Calculator-historiken. Argumenten visas i ordningsföljd med utslutning som separatorer. Huvudsakligen användbart i program och funktioner för att säkerställa visningen av mellanliggande beräkningar. Obs för att mata in exemplet: Se avsnittet Räknare i produkthandboken för instruktioner om hur du anger multiline-program och funktionsdefinitioner. |
|
|
Katalog > |
|||||
|
DispAt int,expr1 [,expr2 ...] ... DispAt låter dig specificera den rad där det specifika uttrycket eller strängen kommer att visas på skärmen. Radnumret kan specificeras som ett uttryck. Observera att radnumret inte gäller för hela skärmen utan för det område som direkt följer kommandot/programmet. Detta kommando möjliggör kontrollpanelsliknande utdata från program där värdet av ett uttryck eller från en sensoravläsning uppdateras på samma rad. DispAtoch Disp kan användas i samma program. Obs: Maxnummer är inställt på 8 eftersom detta motsvarar en skärm fylld med rader på en skärm hos en handenhet – så länge raderna inte har matematiska uttryck i 2D. Det exakta antalet rader beror på innehållet i den information som visas.
|
Exempel
Illustrativa exempel:
|
Feltillstånd:
|
Felmeddelande |
Beskrivning |
|---|---|
|
Radnummer för DispAt måste vara mellan 1 och 8 |
Uttryck utvärderar radnummer utanför intervallet 1-8 (inklusive) |
|
Too few arguments (För få argument) |
Funktionen eller kommandot saknar ett eller flera argument. |
|
Inga argument |
Samma som nuvarande dialogruta för "syntaxfel" dialog |
|
Too many arguments (För många argument) |
Begränsa argument. Samma fel som Disp. |
|
Invalid data type (Ogiltig datatyp) |
Första argumentet måste vara ett tal. |
|
Tom: DispAt tom |
Datatypfelet "Hello World" kastas bort (om återanrop definieras) |
|
Katalog > |
|
|
List 4DMS Matrix 4DMS Obs: Du kan infoga denna operator med datorns tangentbord genom att skriva @>DMS. Tolkar argumentet som en vinkel och visar motsvarande DMS-värde (DDDDDD¡MM'SS.ss''). Se ¡, ', '', här för DMS-format (grad, minuter, sekunder). Obs: 4DMS konverterar från radianer till grader vid användning i läget radianer. Om inmatningen följs av en gradsymbol ¡ sker ingen konvertering. Du kan bara använda 4DMS i slutet av en inmatningsrad. |
I vinkelläget Grader:
|
|
Katalog > |
|
|
dotP(List1, List2)Þuttryck Ger “prick”-produkten av två listor. |
|
|
dotP(Vector1, Vector2)Þuttryck Ger “prick”-produkten av två vektorer. Båda måste vara radvektorer eller båda måste vara kolumnvektorer. |
|
