A
|
Catálogo > |
|
|
abs(Expr1) Þexpressão abs(Lista1) Þlista abs(Matriz1) Þmatriz Devolve o valor absoluto do argumento. Nota: Consulte também Modelo do valor absoluto, aqui. Se o argumento for um número complexo, devolve o módulo do número. Nota: Todas as variáveis indefinidas são tratadas como variáveis reais. |
|
|
Catálogo > |
||||||||||
|
amortTbl(NPmt, N, I, PV, [ Pmt ], [ FV ], [ PpY ], [ CpY ], [ PmtAt ], [ ValorArredondado ]) Þmatriz Função de amortização que devolve uma matriz como uma tabela de amortização para um conjunto de argumentos TVM. NPmt é o número de pagamentos a incluir na tabela. A tabela começa com o primeiro pagamento. N, I, PV, Pmt, FV, PpY, CpY e PmtAt são descritos na tabela de argumentos TVM, aqui.
ValorArredondado especifica o número de casas decimais para arredondamento. Predefinição=2. As colunas da matriz de resultados são por esta ordem: Número de pagamentos, montante pago para juros, montante para capital e saldo. O saldo apresentado na linha n é o saldo após o pagamento n. Pode utilizar a matriz de saída como entrada para as outras funções de amortização G Int() e G Prn(), aqui e bal(), aqui. |
|
|
Catálogo > |
|
|
ExprBooleana1 and ExprBooleana2 ÞExpressão booleana ListaBooleana1 and ListaBooleana2 ÞLista booleana MatrizBooleana1 and MatrizBooleana2 ÞMatriz booleana Devolve falso, verdadeiro ou uma forma simplificada da entrada original. |
|
|
Inteiro1
Compara dois números inteiros reais bit a bit com uma operação Pode introduzir os números inteiros em qualquer base numérica. Para uma entrada binária ou hexadecimal, tem de utilizar o prefixo 0b ou 0h, respectivamente. Sem um prefixo, os números inteiros são tratados como decimais (base 10). Se introduzir um número inteiro decimal muito grande para uma forma binária de 64 bits assinada, é utilizada uma operação de módulo simétrico para colocar o valor no intervalo adequado. |
No modo base Hex:
Importante: Zero, não a letra O.
No modo base Bin:
No modo base Dec:
Nota: Uma entrada binária pode ter até 64 dígitos (não contando com o prefixo 0b). Uma entrada hexadecimal pode ter até 16 dígitos. |
|
Catálogo > |
|
|
angle(Expr1) Þexpressão Devolve o ângulo do argumento, interpretando o argumento como um número complexo.
|
No modo de ângulo Graus:
No modo de ângulo Gradianos:
No modo de ângulo Radianos:
|
|
angle(Lista1) Þlista angle(Matriz1) Þmatriz Devolve uma lista ou matriz de ângulos dos elementos em Lista1 ou Matriz1, interpretando cada elemento como um número complexo que representa um ponto de coordenada rectangular bidimensional. |
|
Catálogo > |
|
|
ANOVA Lista1, Lista2 [, Lista3, ..., Lista20 ][, Marcador] Efectua uma análise de variação de uma via para comparar as médias de 2 a 20 populações. Um resumo dos resultados é guardado na variável stat.results (aqui). Marcador =0 para Dados, Marcador =1 para Estatística |
|
|
Variável de saída |
Descrição |
|
stat.F |
Valor da estatística F |
|
stat.PVal |
Menor nível de significância para o qual a hipótese nula pode ser rejeitada |
|
stat.df |
Graus de liberdade dos grupos |
|
stat.SS |
Soma dos quadrados dos grupos |
|
stat.MS |
Quadrados médios para os grupos |
|
stat.dfError |
Graus de liberdade dos erros |
|
stat.SSError |
Soma dos quadrados dos erros |
|
stat.MSError |
Quadrado médio para os erros |
|
stat.sp |
Desvio padrão associado |
|
stat.xbarlist |
Média da entrada das listas |
|
stat.CLowerList |
Intervalos de confiança de 95% para a média de cada lista de entrada |
|
stat.CUpperList |
Intervalos de confiança de 95% para a média de cada lista de entrada |
|
Catálogo > |
|
|
ANOVA2way Lista1, Lista2 [, Lista3, …, Lista10 ][, LinhaNiv] Calcula uma análise de variação bidireccional através da comparação das médias de 2 a 10 populações. Um resumo dos resultados é guardado na variável stat.results (aqui). LinhaNiv=0 para Bloco LinhaNiv=2,3,...,Len-1, para Dois fatores, em que Len=comprimento(Lista1)=comprimento(Lista2) = … = comprimento(Lista10) e Len / LinhaNiv Î {2,3,…} |
|
Saídas: Design do bloco
|
Variável de saída |
Descrição |
|
stat.F |
F estatística do factor da coluna |
|
stat.PVal |
Menor nível de significância para o qual a hipótese nula pode ser rejeitada |
|
stat.df |
Graus de liberdade do factor da coluna |
|
stat.SS |
Soma dos quadrados do factor da coluna |
|
stat.MS |
Quadrados médios para o factor da coluna |
|
stat.FBloco |
F estatística para o factor |
|
stat.PValBlock |
Menor probabilidade de rejeição da hipótese nula |
|
stat.dfBlock |
Graus de liberdade para factor |
|
stat.SSBlock |
Soma dos quadrados para o factor |
|
stat.MSBlock |
Quadrados médios para o factor |
|
stat.dfError |
Graus de liberdade dos erros |
|
stat.SSError |
Soma dos quadrados dos erros |
|
stat.MSError |
Quadrados médios para os erros |
|
stat.s |
Desvio padrão do erro |
Saídas do factor da coluna
|
Variável de saída |
Descrição |
|
stat.Fcol |
F estatística do factor da coluna |
|
stat.PValCol |
Valor da probabilidade do factor da coluna |
|
stat.dfCol |
Graus de liberdade do factor da coluna |
|
stat.SSCol |
Soma dos quadrados do factor da coluna |
|
stat.MSCol |
Quadrados médios para o factor da coluna |
Saídas do factor da linha
|
Variável de saída |
Descrição |
|
stat.FLinha |
F estatística do factor da linha |
|
stat.PValRow |
Valor da probabilidade do factor da linha |
|
stat.dfRow |
Graus de liberdade do factor da linha |
|
stat.SSRow |
Soma dos quadrados do factor da linha |
|
stat.MSRow |
Quadrados médios para o factor da linha |
Saídas de interacção
|
Variável de saída |
Descrição |
|
stat.FInteragir |
Festatística da interacção |
|
stat.PValInteract |
Valor da probabilidade da interacção |
|
stat.dfInteract |
Graus de liberdade da interacção |
|
stat.SSInteract |
Soma de quadrados da interacção |
|
stat.MSInteract |
Quadrados médios para interacção |
Saídas de erros
|
Variável de saída |
Descrição |
|
stat.dfError |
Graus de liberdade dos erros |
|
stat.SSError |
Soma dos quadrados dos erros |
|
stat.MSError |
Quadrados médios para os erros |
|
s |
Desvio padrão do erro |
|
Teclas /v |
|
|
AnsÞvalor Devolve o resultado da expressão avaliada mais recentemente. |
|
|
Catálogo > |
|
|
approx(Expr1) Þexpressão Devolve a avaliação do argumentos como uma expressão com valores decimais, quando possível, independentemente do modo Auto ou Aproximado actual. Isto é equivalente a introduzir o argumento e a introduzir / ·. |
|
|
approx(Lista1) Þlista approx(Matriz1) Þmatriz Devolve uma lista ou uma matriz em que cada elemento foi avaliado para um valor decimal, quando possível. |
|
|
Catálogo > |
|
|
Lista 4approxFraction([Tol])Þlista Matriz 4approxFraction([Tol])Þmatriz Devolve a entrada como uma fracção com uma tolerância de Tol. Se omitir Tol, é utilizada uma tolerância de 5.E-14. Nota: Pode introduzir esta função através da escrita de @>approxFraction(...) no teclado do computador. |
|
|
Catálogo > |
|
|
approxRational( Expr [ , Tol] ) Þexpressão approxRational( Lista [ , Tol] ) Þlista approxRational( Matriz [ , Tol] ) Þmatriz Devolve o argumento como uma fracção com uma tolerância de Tol. Se omitir Tol, é utilizada uma tolerância de 5.E-14. |
|
|
Consulte cos/(), aqui. |
|
|
|
|
|
Consulte cosh/(), aqui. |
|
|
|
|
|
Consulte cot/(), aqui. |
|
|
|
|
|
Consulte coth/(), aqui. |
|
|
|
|
|
Consulte csc/(), aqui. |
|
|
|
|
|
Consulte csch/(), aqui. |
|
|
|
|
|
Catálogo > |
|
|
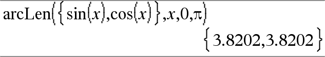
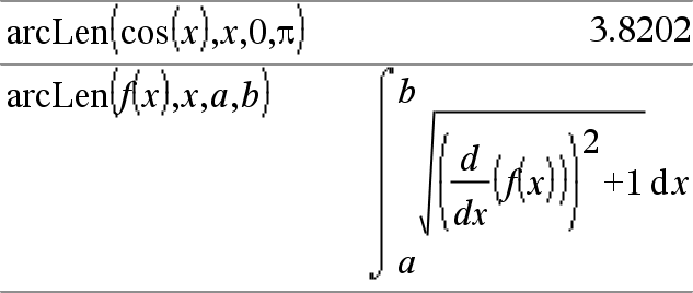
arcLen(Expr1, Var, Início, Fim) Þexpressão Devolve o comprimento do arco de Expr1 do Início ao Fim em relação à variável Var. O comprimento do arco é calculado como um integral que assume uma definição do modo de função. |
|
|
arcLen(Lista1, Var, Início, Fim) Þlista Devolve uma lista dos comprimentos dos arcos de cada elemento de Lista1 do Início ao Fim em relação a Var. |
|
|
Consulte sec/(), aqui. |
|
|
|
|
|
Consulte sech/(), aqui. |
|
|
|
|
|
Consulte sin/(), aqui. |
|
|
|
|
|
Consulte sinh/(), aqui. |
|
|
|
|
|
Consulte tan/(), aqui. |
|
|
|
|
|
Consulte tanh/(), aqui. |
|
|
|
|
|
Catálogo > |
|
|
augment(Lista1, Lista2) Þlista Devolve uma nova lista que é a Lista2 acrescentada ao fim da Lista1. |
|
|
augment(Matriz1, Matriz2) Þmatriz Devolve uma nova lista que é a Matriz2 acrescentada ao fim da Matriz1. Quando utilizar o carácter “,”, as matrizes têm de ter dimensões de colunas iguais, e a Matriz2 é acrescentada à Matriz1 como novas colunas. Não altere Matriz1 ou Matriz2. |
|
|
Catálogo > |
|
|
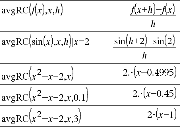
Devolve o quociente de diferença de avanço (taxa de câmbio média). Expr1 pode ser um nome de função definido pelo utilizador (ver Func). Ao especificar o Valor, substitui qualquer atribuição de variável anterior ou qualquer substituição atual “|” para a variável. Passo é o valor do passo. Se omitir Passo, predefine-se para 0,001. Não se esqueça de que a função similar |
|
