Modelos de expressão
Os modelos de expressão oferecem uma forma simples para introduzir expressões matemáticas em notação matemática padronizada. Quando introduzir um modelo, aparece na linha de entrada com pequenos blocos em posições em que pode introduzir elementos. Um cursor mostra o elemento que pode introduzir.
Utilize as teclas de setas ou prima e para mover o cursor para a posição de cada elemento e escreva um valor ou uma expressão para o elemento. Prima · ou /· para avaliar a expressão.
|
Teclas /p |
|
|
|
Exemplo:
|
|
Tecla l |
|
|
Nota: Escreva o primeiro valor, prima l e, em seguida, escreva o expoente. Para colocar o cursor na base, prima a seta direita ( ¢ ). Nota: Consulte também ^ (potência), aqui. |
Exemplo:
|
|
Teclas /q |
|
|
|
Exemplo:
|
|
Teclas /l |
|
|
|
Exemplo:
|
|
Tecla u |
|
|
Exponencial natural e elevado à potência Nota: Consulte também e ^(), aqui. |
Exemplo:
|
|
Teclas /s |
|
|
Calcule o log para uma base especificada. Para uma predefinição de base 10, omita a base. Nota: Consulte também log(), aqui. |
Exemplo:
|
|
Catálogo> |
|
|
Permite criar expressões e condições para uma função por ramos de 2 ramos. Para adicionar um ramo, clique no modelo e repita o modelo. Nota: Consulte também piecewise(), aqui. |
Exemplo:
|
|
Catálogo> |
|
|
Permite criar expressões e condições para uma função por ramos de N ‑ramos. Para adicionar um ramo, clique no modelo e repita o modelo.
Nota: Consulte também piecewise(), aqui. |
Exemplo: Consulte o exemplo para o modelo de Função por ramos (2 ramos). |
|
Catálogo> |
|
|
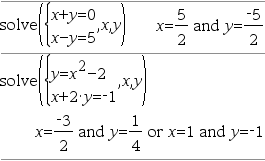
Cria um sistema de duas equações Nota: Consulte também sistema(), aqui. |
Exemplo:
|
|
Catálogo> |
|
|
Permite criar um sistema de N equações
Nota: Consulte também sistema(), aqui. |
Exemplo: Consulte o exemplo do modelo do sistema de equações (2 equações). |
|
Catálogo> |
|
|
|
Exemplo:
|
|
Catálogo> |
|
|
Permite introduzir ângulos na forma gg ° mm ’ ss.ss ’’, em que gg é o número de graus decimais, mm é o número de minutos e ss.ss é o número de segundos. |
Exemplo:
|
|
Catálogo> |
|
|
Cria uma matriz 2 x 2. |
Exemplo:
|
|
Catálogo> |
|
|
|
Exemplo:
|
|
Catálogo> |
|
|
|
Exemplo:
|
|
Catálogo> |
|
|
O modelo aparece depois de lhe ser pedido para especificar o número de linhas e colunas.
Nota: Se criar uma matriz com um grande número de linhas e colunas, pode demorar alguns momentos a aparecer. |
Exemplo:
|
|
Catálogo> |
|
|
Nota: Consulte também G() (sumSeq), aqui. |
Exemplo:
|
|
Catálogo> |
|
|
Nota: Consulte também P () (prodSeq), aqui. |
Exemplo:
|
|
Catálogo > |
|
|
Pode utilizar o modelo da primeira derivada para calcular a primeira derivada num ponto numericamente com métodos de diferenciação automáticos. Nota: Consulte também d() (derivada) , aqui. |
Exemplo:
|
|
Catálogo > |
|
|
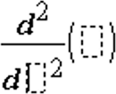
Pode utilizar o modelo da segunda derivada para calcular a segunda derivada num ponto numericamente com métodos de diferenciação automáticos. Nota: Consulte também d() (derivada) , aqui. |
Exemplo:
|
|
Catálogo> |
|
|
Pode utilizar o modelo do integral definido para definir o integral definido numericamente com o mesmo método de nInt().
|
Exemplo:
|





.