C
|
Catalogus > |
|
|
ceiling(Waarde1)Þwaarde Geeft het dichtstbijliggende gehele getal dat | is aan het argument. Het argument kan een reëel of complex getal zijn. Opmerking: zie ook floor(). |
|
|
ceiling(Lijst1)Þlijst ceiling(Matrix1)Þmatrix Geeft een lijst of matrix met de 'plafondwaarde' van elk element. |
|
|
Catalogus > |
|
|
Geeft de numerieke afgeleide met behulp van de centraal-differentiequotiëntformule. Wanneer Waarde gespecificeerd is, wordt elke eerdere variabeletoekenning of elke huidige “|”-substitutie voor de variabele onderdrukt. Stap is de stapgrootte. Als Stap wordt weggelaten, is de standaardwaarde 0,001. Wanneer u Lijst1 of Matrix1 gebruikt, dan wordt de bewerking toegepast op de waarden in de lijst of op de elementen in de matrix. Opmerking: zie ook . |
|
|
Catalogus > |
|
|
char(Geheel getal)Þteken Geeft een tekenreeks die het teken met het nummer Geheel getal van de tekenserie van de rekenmachine bevat. Het geldige bereik voor Geheel getal is 0–65535. |
|
|
Catalogus > |
|
|
c22way obsMatrix chi22way obsMatrix Berekent een c2 -toets voor afhankelijkheid op de kruistabel van aantallen in de geobserveerde matrix ObsMatrix. Een samenvatting van de resultaten wordt opgeslagen in de variabele stat.results (hier). Zie voor informatie over het effect van lege elementen in een matrix “Lege elementen” (hier). |
|
|
Uitvoervariabele |
Beschrijving |
|
stat.c2 |
Chi-kwadraat-statistiek: som (geobserveerd - verwacht)2/verwacht. |
|
stat.PVal |
Kleinste significantieniveau waarbij de nulhypothese verworpen kan worden |
|
stat.df |
Vrijheidsgraden van de chi-kwadraat-statistieken |
|
stat.ExpMat |
Matrix van de verwachte tabel met aantallen elementen, waarbij wordt uitgegaan van de nulhypothese |
|
stat.CompMat |
Matrix van chi-kwadraat-statistiekbijdragen van elementen |
|
Catalogus > |
|
|
c2Cdf(ondergrens,bovengrens,df)Þgetal als ondergrens en bovengrens getallen zijn, lijst als ondergrens en bovengrens lijsten zijn chi2Cdf(ondergrens,bovengrens,df)Þgetal als ondergrens en bovengrens getallen zijn, lijst als ondergrens en bovengrens lijsten zijn Berekent de c2 -verdelingskans tussen ondergrens en bovengrens voor de gespecificeerde vrijheidsgraden df. Voor P(X { bovengrens) stelt u ondergrens = 0 in. Zie voor informatie over het effect van lege elementen in een lijst “Lege elementen” (hier.) |
|
|
Catalogus > |
|
|
c2GOF obsLijst,expLijst,df chi2GOF obsLijst,expLijst,df Voert een toets uit om te bevestigen dat de steekproefgegevens afkomstig zijn uit een populatie met de gespecificeerde verdeling. obsLijst is een lijst met aantallen en moet gehele getallen bevatten. Een samenvatting van de resultaten wordt opgeslagen in de variabele stat.resultaten (hier). Zie voor informatie over het effect van lege elementen in een lijst “Lege elementen” (hier). |
|
|
Uitvoervariabele |
Beschrijving |
|
stat.c2 |
Chi-kwadraat-statistiek: som (geobserveerd - verwacht)2/verwacht |
|
stat.PVal |
Kleinste significantieniveau waarbij de nulhypothese verworpen kan worden |
|
stat.df |
Vrijheidsgraden van de chi-kwadraat-statistieken |
|
stat.CompList |
Chi-kwadraat-statistiekbijdragen van elementen |
|
Catalogus > |
|
|
c2Pdf(XWaarde,df)Þgetal als XWaarde een getal is, lijst als XWaarde een lijst is chi2Pdf(XWaarde,df)Þgetal als XWaarde een getal is, lijst als XWaarde een lijst is Berekent de kansdichtheidsfunctie (pdf) voor de c2-verdeling bij een gespecificeerde XWaarde voor de gespecificeerde vrijheidsgraden df. Zie voor informatie over het effect van lege elementen in een lijst “Lege elementen” (hier). |
|
|
Catalogus > |
|
|
ClearAZ Wist alle variabelen die bestaan uit één teken in de huidige opgave. Als een aantal van de variabelen vergrendeld is, veroorzaakt deze opdracht een foutmelding en worden alleen de niet-vergrendelde variabelen gewist. Zie |
|
|
Catalogus > |
|
|
Wist de foutstatus en zet de systeemvariabele errCode op nul. De Else-bepaling van het Try...Else...EndTry-blok moet ClrErr of PassErr gebruiken. Als de fout verwerkt of genegeerd moet worden, gebruik dan ClrErr. Als onbekend is wat er met de fout gedaan moet worden, gebruik dan PassErr om hem te verzenden naar de volgende foutenafhandelaar. Als er geen onbesliste Try...Else...EndTry-foutenafhandelaars meer zijn, wordt het foutendialoogvenster weergegeven zoals normaal is. Opmerking: zie ook PassErr, hier en Try, hier. Opmerking bij het invoeren van het voorbeeld: Instructies over het invoeren van programma's met meerdere regels en functiedefinities vindt u in het hoofdstuk Rekenmachine van de handleiding van uw product. |
Zie voor een voorbeeld van ClrErr Voorbeeld 2 onder het commando Try (hier).
|
|
Catalogus > |
|
|
colAugment(Matrix1, Matrix2)Þmatrix Geeft een nieuwe matrix die bestaat uit Matrix2 toevoegd aan Matrix1. De matrices moeten evenveel kolommen hebben, en Matrix2 wordt toegevoegd aan Matrix1 als nieuwe rijen. Dit verandert Matrix1 of Matrix2 niet. |
|
|
Catalogus > |
|
|
colDim(Matrix)Þuitdrukking Geeft het aantal kolommen in Matrix. Opmerking: zie ook rowDim(). |
|
|
Catalogus > |
|
|
colNorm(Matrix)Þuitdrukking Geeft het maximum van de sommen van de absolute waarden van de elementen in de kolommen in Matrix. Opmerking: onbepaalde matrixelementen zijn niet toegestaan. Zie ook rowNorm(). |
|
|
Catalogus > |
|
|
conj(Waarde1)Þwaarde conj(Lijst1)Þlijst conj(Matrix1)Þmatrix Geeft de complex geconjugeerde van het argument. Opmerking: alle onbepaalde variabelen worden behandeld als reële variabelen. |
|
|
Catalogus > |
|
|
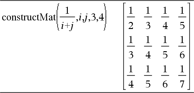
constructMat(Uitdr,Var1,Var2,aantalRijen,aantalKolommen)Þmatrix Geeft een matrix op basis van de argumenten. Uitdr is een uitdrukking in de variabelen Var1 en Var2. Elementen in de resulterende matrix worden gevormd door Uitdr uit te werken voor elke opgehoogde waarde van Var1 en Var2. Var1 wordt automatisch verhoogd van 1 tot en met aantalRijen. Binnen elke rij wordt Var2 verhoogd van 1 tot en met aantalKolommen. |
|
|
Catalogus > |
|
|
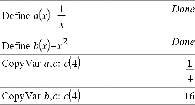
CopyVar Var1, Var2 CopyVar Var1., Var2. CopyVar Var1, Var2 kopieert de waarde van variabele Var1 naar variabele Var2, waarbij Var2 indien nodig gecreëerd wordt. Variabele Var1 moet een waarde hebben. Als Var1 de naam van een bestaande, door de gebruiker gedefinieerde functie is, kopieert CopyVar de definitie van die functie naar functie Var2. Functie Var1 moet gedefinieerd zijn. Var1 moet voldoen aan de naamgevingsvereisten of moet een indirecte uitdrukking zijn die vereenvoudigd wordt tot een variabelenaam die voldoet aan de vereisten. |
|
|
CopyVar Var1., Var2. kopieert alle leden van de variabelegroep Var1. naar de groep Var2., waarbij Var2. indien nodig wordt gecreëerd. Var1 moet de naam van een bestaande variabelegroep zijn, zoals de statistische stat.nn-resultaten of variabelen die gecreëerd zijn met de |
|
|
Catalogus > |
|
|
corrMat(Lijst1,Lijst2[,…[,Lijst20]]) Berekent de correlatiematrix voor de matrix bestaande uit [Lijst1, Lijst2, ..., Lijst20]. |
|
|
µ-toets |
|
|
cos(Waarde1)Þwaarde cos(Lijst1)Þlijst
cos(Lijst1) geeft een lijst van de cosinussen van alle elementen in Lijst1. Opmerking: het argument wordt geïnterpreteerd als een hoek in graden, decimale graden of radialen volgens de huidige hoekmodus-instelling. U kunt ¡, G of Rgebruiken om de hoekmodus tijdelijk te onderdrukken. |
In de hoekmodus Graden:
In de hoekmodus Decimale graden:
In de hoekmodus Radialen:
|
|
cos(vierkanteMatrix1)ÞvierkanteMatrix Geeft de matrixcosinus van vierkanteMatrix1. Dit is niet hetzelfde als het berekenen van de cosinus van elk element. Wanneer een scalaire functie f(A) werkt op vierkanteMatrix1 (A), dan wordt het resultaat berekend door het volgende algoritme: Bereken de eigenwaarden (li) en de eigenvectoren (Vi) van A. vierkanteMatrix1 moet diagonaliseerbaar zijn. Bovendien kan hij geen symbolische variabelen hebben die geen waarde toegekend hebben gekregen. Vorm de matrices:
Vervolgens A = X B X/en f(A) = X f(B) X/. Bijvoorbeeld cos(A) = X cos(B) X/ waarbij: cos(B) =
Alle berekeningen worden uitgevoerd met behulp van drijvende komma-rekenkunde. |
In de hoekmodus Radialen:
|
|
µ-toets |
|
|
cos/(Waarde1)Þwaarde cos/(Lijst1)Þlijst
cos/(Lijst1) geeft een lijst van de inverse cosinussen van elk element van Lijst1. Opmerking: de uitkomst wordt in graden, decimale graden of radialen gegeven, volgens de ingestelde hoekmodus. Opmerking: u kunt deze operator vanaf het toetsenbord van de computer invoeren door arccos(...) in te typen. |
In de hoekmodus Graden:
In de hoekmodus Decimale graden:
In de hoekmodus Radialen:
|
|
cos/(vierkanteMatrix1)ÞvierkanteMatrix Geeft de inverse matrixcosinus van vierkanteMatrix1. Dit is niet hetzelfde als het berekenen van de inverse cosinus van elk element. Zie voor informatie over de berekeningsmethode cos(). vierkanteMatrix1 moet diagonaliseerbaar zijn. Het resultaat bevat altijd getallen met een drijvende komma. |
In de hoekmodus Radialen en rechthoekige complexe opmaak:
Om het hele resultaat te zien drukt u op 5 en gebruikt u vervolgens 7 en 8 om de cursor te verplaatsen. |
|
Catalogus > |
|
|
cosh(Waarde1)Þwaarde cosh(Lijst1)Þlijst
cosh(Lijst1) geeft een lijst van de cosinussen hyperbolicus van elk element van Lijst1. |
In de hoekmodus Graden:
|
|
cosh(vierkanteMatrix1)ÞvierkanteMatrix Geeft de matrixcosinus hyperbolicus van vierkanteMatrix1. Dit is niet hetzelfde als het berekenen van de cosinus hyperbolicus van elk element. Zie voor informatie over de berekeningsmethode cos(). vierkanteMatrix1 moet diagonaliseerbaar zijn. Het resultaat bevat altijd getallen met een drijvende komma. |
In de hoekmodus Radialen:
|
|
Catalogus > |
|
|
cosh/(Waarde1)Þwaarde cosh/(Lijst1)Þlijst
cosh/(Lijst1) geeft een lijst van de inverse cosinussen hyperbolicus van elk element van Lijst1. Opmerking: u kunt deze operator vanaf het toetsenbord van de computer invoeren door arccosh(...) in te typen. |
|
|
cosh/(vierkanteMatrix1)ÞvierkanteMatrix Geeft de inverse matrixcosinus hyperbolicus van vierkanteMatrix1. Dit is niet hetzelfde als het berekenen van de inverse cosinus hyperbolicus van elk element. Zie voor informatie over de berekeningsmethode cos(). vierkanteMatrix1 moet diagonaliseerbaar zijn. Het resultaat bevat altijd getallen met een drijvende komma. |
In de hoekmodus Radialen en rechthoekige complexe opmaak:
Om het hele resultaat te zien drukt u op 5 en gebruikt u vervolgens 7 en 8 om de cursor te verplaatsen. |
|
µ-toets |
|
|
cot(Waarde1) Þ waarde cot(Lijst1) Þ lijst Geeft de cotangens van Waarde1 of geeft een lijst van de cotangensen van alle elementen Lijst1. Opmerking: het argument wordt geïnterpreteerd als een hoek in graden, decimale graden of radialen volgens de huidige hoekmodus-instelling. U kunt ¡, G of Rgebruiken om de hoekmodus tijdelijk te onderdrukken. |
In de hoekmodus Graden:
In de hoekmodus Decimale graden:
In de hoekmodus Radialen:
|
|
µ-toets |
|
|
cot/(Waarde1)Þwaarde cot/(Lijst1)Þlijst Geeft de hoek waarvan de cotangens Waarde1 is of geeft een lijst met de inverse cotangens van elk element in Lijst1. Opmerking: de uitkomst wordt in graden, decimale graden of radialen gegeven, volgens de ingestelde hoekmodus. Opmerking: u kunt deze operator vanaf het toetsenbord van de computer invoeren door arccot(...) in te typen. |
In de hoekmodus Graden:
In de hoekmodus Decimale graden:
In de hoekmodus Radialen:
|
|
Catalogus > |
|
|
coth(Waarde1)Þwaarde coth(Lijst1)Þlijst
|
|
|
Catalogus > |
|
|
coth/(Waarde1)Þwaarde coth/(Lijst1)Þlijst Geeft de inverse cotangens hyperbolicus van Waarde1 of geeft een lijst met de inverse cotangensen hyperbolicus van elk element in Lijst1. Opmerking: u kunt deze operator vanaf het toetsenbord van de computer invoeren door arccoth(...) in te typen. |
|
|
Catalogus > |
|
|
count(Waarde1ofLijst1 [,Waarde2ofLijst2 [,...]])Þwaarde Geeft het samengenomen aantal van alle elementen in de argumenten die uitgewerkt worden tot numerieke waarden. Elk argument kan een uitdrukking, waarde, lijst of matrix zijn. U kunt gegevenstypen mengen en argumenten met verschillende afmetingen gebruiken. Bij een lijst, matrix of reeks cellen wordt elk element uitgewerkt om te bepalen of het moet worden opgenomen in de telling. In de toepassing Lijsten & Spreadsheet kunt u een reeks cellen op de plaats van elk argument gebruiken. Lege elementen worden genegeerd. Voor meer informatie over lege elementen, zie hier. |
|
|
Catalogus > |
|||||||
|
countif(Lijst,Criteria)Þwaarde Geeft het samengenomen aantal van alle elementen in Lijst die voldoen aan de gespecificeerde Criteria. Criteria kan zijn:
In de toepassing Lijsten & Spreadsheet kunt u een reeks cellen gebruiken op de plaats van Lijst. Lege elementen in de lijst worden genegeerd. Voor meer informatie over lege elementen, zie hier. |
Telt het aantal elementen dat gelijk is aan 3.
Telt het aantal elementen dat gelijk is aan "def".
Telt 1 en 3.
Telt 3, 5 en 7.
Telt 1, 3, 7 en 9. |
|
Catalogus > |
|
|
De eerste syntax,
De tweede syntax, Opmerking: zie ook |
|
|
Catalogus > |
|
|
crossP(Lijst1, Lijst2)Þlijst Geeft het uitwendige product van Lijst1 en Lijst2 als een lijst. Lijst1 en Lijst2 moeten gelijke afmetingen hebben, en de afmeting moet 2 of 3 zijn. |
|
|
crossP(Vector1, Vector2)Þvector Geeft een rij- of kolomvector (afhankelijk van de argumenten) die het uitwendig product is van Vector1 en Vector2. Zowel Vector1 als Vector2 moeten rijvectoren zijn, of beide moeten kolomvectoren zijn. Beide vectoren moeten gelijke afmetingen hebben, en de afmeting moet 2 of 3 zijn. |
|
|
µ-toets |
|
|
csc(Waarde1)Þwaarde csc(Lijst1)Þlijst
|
In de hoekmodus Graden:
In de hoekmodus Decimale graden:
In de hoekmodus Radialen:
|
|
µ-toets |
|
|
csc/(Waarde1) Þ waarde csc/(Lijst1) Þ lijst Geeft de hoek waarvan de cosecans Waarde1 is of geeft een lijst met de inverse cosecans van elk element in Lijst1. Opmerking: de uitkomst wordt in graden, decimale graden of radialen gegeven, volgens de ingestelde hoekmodus. Opmerking: u kunt deze operator vanaf het toetsenbord van de computer invoeren door arccsc(...) in te typen. |
In de hoekmodus Graden:
In de hoekmodus Decimale graden:
In de hoekmodus Radialen:
|
|
Catalogus > |
|
|
csch(Waarde1) Þ waarde csch(Lijst1) Þ lijst
|
|
|
Catalogus > |
|
|
csch/(Waarde) Þ waarde csch/(Lijst1) Þ lijst Geeft de inverse cosecans hyperbolicus van Waarde1 of geeft een lijst met de inverse cosecans hyperbolicus van elk element in Lijst1. Opmerking: u kunt deze operator vanaf het toetsenbord van de computer invoeren door arccsch(...) in te typen. |
|
|
Catalogus > |
|
|
CubicReg X, Y[, [Freq] [, Categorie, Opnemen]] Berekent de derdegraads veeltermregressiey = a·x3+b· x2+c·x+dop de lijsten X en Y met frequentie Freq. Een samenvatting van de resultaten wordt opgeslagen in de variabele stat.resultaten (hier). Alle lijsten moeten gelijke afmetingen hebben, behalve Opnemen. X en Y zijn lijsten met onafhankelijke en afhankelijke variabelen. Freq is een optionele lijst met frequentiewaarden. Elk element in Freq specificeert de frequentie waarmee elk overeenkomstig X- en Y-punt voorkomt. De standaardwaarde is 1. Alle elementen moeten gehele getallen | 0 zijn. Categorie is een lijst met Opnemen is een lijst met één of meer van de categoriecodes. Alleen de gegevens waarvan de categoriecode is opgenomen in deze lijst worden opgenomen in de berekening. Zie voor informatie over het effect van lege elementen in een lijst “Lege elementen” (hier). |
|
|
Uitvoervariabele |
Beschrijving |
|
stat.RegEqn |
Regressievergelijking: a·x3+b·x2+c·x+d |
|
stat.a, stat.b, stat.c, stat.d |
Regressiecoëfficiënten |
|
stat.R2 |
Determinatiecoëfficiënt |
|
stat.Resid |
Residuen uit de regressie |
|
stat.XReg |
Lijst van de gegevens in de gemodificeerde XLijst die feitelijk gebruikt worden in de regressie op basis van beperkingen van Freq, Categorielijst en Categorieën opnemen |
|
stat.YReg |
Lijst van gegevens in de gemodificeerde YLijst die feitelijk gebruikt worden in de regressie op basis van beperkingen van Freq, Categorielijst en Categorieën opnemen |
|
stat.FreqReg |
Lijst van frequenties die corresponderen met stat.XReg en stat.YReg |
|
Catalogus > |
|
|
cumulativeSum(Lijst1)Þlijst Geeft een lijst met de cumulatieve sommen van de elementen in Lijst1, beginnend bij element 1. |
|
|
cumulativeSum(Matrix1)Þmatrix Geeft een matrix van de cumulatieve sommen van de elementen van Matrix1. Elk element is de cumulatieve som van de kolom, van boven naar beneden. Een leeg element in Lijst1 of Matrix1 levert een leeg element in de resulterende lijst of matrix op. Voor meer informatie over lege elementen, zie hier. |
|
|
Catalogus > |
|
|
Cycle Brengt de besturing onmiddellijk naar de volgende iteratie van de huidige lus (For, While of Loop). Cycle is niet toegestaan buiten de drie lusstructuren (For, While of Loop). Opmerking bij het invoeren van het voorbeeld: Instructies over het invoeren van programma's met meerdere regels en functiedefinities vindt u in het hoofdstuk Rekenmachine van de handleiding van uw product. |
Functies die de gehele getallen van 1 tot 100 optelt, waarbij 50 wordt overgeslagen.
|
|
Catalogus > |
|
|
Vector 4Cylind Opmerking: u kunt deze operator vanaf het toetsenbord van de computer invoeren door @>Cylind in te typen. Geeft de rij- of kolomvector in cilindrische vorm weer [r,±q, z]. Vector moet exact drie elementen hebben. De vector kan een rij of een kolom zijn. |
|
