I

identity()

identity(Entier) matrice

Donne la matrice unité de dimension Entier.

Entier doit être un entier positif

If

If BooleanExpr
           Relevé

If BooleanExpr Then
           Bloc
EndIf

Si BooleanExpr est évalué à vrai, exécute l'instruction Instruction ou le bloc d'instructions Bloc avant de poursuivre l'exécution de la fonction

Si BooleanExpr est évalué à faux, poursuit l'exécution en ignorant l'instruction ou le bloc d'instructions

Bloc peut correspondre à une ou plusieurs instructions, séparées par le caractère « : »

Remarque pour la saisie des données de l’exemple : Pour obtenir des instructions sur la saisie des définitions de fonction ou de programme sur plusieurs lignes, consultez la section relative à la calculatrice dans votre guide de produit.

If BooleanExpr Then
       Bloc1
Else
       Bloc2
EndIf

Si BooleanExpr est évalué à vrai, exécute Bloc1 et ignore Bloc2.

Si BooleanExpr est évalué à faux, ignore Bloc1, mais exécute Bloc2.

Bloc1 et Bloc2 peuvent correspondre à une seule instruction.

If BooleanExpr1 Then
       Bloc1
ElseIf BooleanExpr2 Then
       Bloc2

ElseIf BooleanExprN Then
       BlocN
EndIf

Permet de traiter les conditions multiples. Si BooleanExpr1 est évalué à vrai, exécute Bloc1 Si BooleanExpr1 est évalué à faux, évalue BooleanExpr2, et ainsi de suite.

ifFn()

ifFn(exprBooléenne,Valeur_si_Vrai [,Valeur_si_Faux [,Valeur_si_Inconnu]]) expression, liste ou matrice

Evalue l'expression booléenne exprBooléenne (ou chacun des éléments de exprBooléenne ) et produit un résultat reposant sur les règles suivantes

exprBooléenne peut tester une valeur unique, une liste ou une matrice
Si un élément de exprBooléenne est évalué à vrai, l'élément correspondant de Valeur_si_Vrai s'affiche
Si un élément de exprBooléenne est évalué à faux, l'élément correspondant de Valeur_si_Faux s'affiche Si vous omettez Valeur_si_Faux, undef s'affiche.
Si un élément de exprBooléenne n'est ni vrai ni faux, l'élément correspondant de Valeur_si_Inconnu s'affiche Si vous omettez Valeur_si_Inconnu, undef s'affiche
Si le deuxième, troisième ou quatrième argument de la fonction ifFn() est une expression unique, le test booléen est appliqué à toutes les positions dans exprBooléenne

Remarque : si l'instruction simplifiée exprBooléenne implique une liste ou une matrice, tous les autres arguments de type liste ou matrice doivent avoir la ou les même(s) dimension(s) et le résultat aura la ou les même(s) dimension(s).

La valeur d'essai 1 est inférieure à 2,5, ainsi l'élément correspondant dans

Valeur_si_Vrai 5 est copié dans la liste de résultats.

 

La valeur d'essai 2 est inférieure à 2,5, ainsi l'élément correspondant dans

Valeur_si_Vrai 6 est copié dans la liste de résultats.


La valeur d'essai 3 n'est pas inférieure à 2,5, ainsi l'élément correspondant dans Valeur_si_Faux 10 est copié dans la liste de résultats

 

Valeur_si_Vrai est une valeur unique et correspond à n'importe quelle position sélectionnée

 

Valeur_si_Faux n'est pas spécifié Undef est utilisé.

 

Un élément sélectionné à partir de Valeur_si_Vrai. Un élément sélectionné à partir de Valeur_si_Inconnu.

imag()

imag(Expr1) expression

Donne la partie imaginaire de l'argument.

Remarque : Toutes les variables non affectées sont considérées comme réelles. Voir aussi real(), ici

imag(Liste1) liste

Donne la liste des parties imaginaires des éléments.

imag(Matrice1) matrice

Donne la matrice des parties imaginaires des éléments.

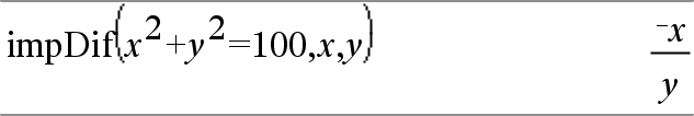
impDif()

impDif(Équation, Var, dependVar[,Ord]) expression

où la valeur par défaut de l'argument Ord est 1.

Calcule la dérivée implicite d'une équation dans laquelle une variable est définie implicitement par rapport à une autre.

Indirection

 

 

inString()

inString(srcString, subString[, Début]) entier

Donne le rang du caractère de la chaîne chaîneSrce où commence la première occurrence de sousChaîne.

Début, s'il est utilisé, indique le point de départ de la recherche dans chaîneSrce Par défaut = 1, la recherche commence à partir du (premier caractère de chaîneSrce).

Si chaîneSrce ne contient pas sousChaîne ou si Début est strictement supérieur à la longueur de ChaîneSrce, on obtient zéro

int()

int(Expr) entier

int(List1) liste
int(Matrix1) matrice

Donne le plus grand entier inférieur ou égal à l'argument. Cette fonction est identique à floor() (partie entière).

L'argument peut être un nombre réel ou un nombre complexe.

Dans le cas d'une liste ou d'une matrice, donne la partie entière de chaque élément.

intDiv()

intDiv(Number1, Number2) entier
intDiv(List1, List2) liste
intDiv(Matrix1, Matrix2) matrice

Donne le quotient dans la division euclidienne de (Nombre1 ÷ Nombre2).

Dans le cas d'une liste ou d'une matrice, donne le quotient de (argument 1 ÷ argument 2) pour chaque paire d'éléments.

intégrale

 

 

interpoler ()

interpoler(Valeurx, Listex, Listey, ListePrincy) list

Cette fonction effectue l'opération suivante :

Étant donné Listex, Listey=f(Listex) et ListePrincy=f'(Listex) pour une fonction f inconnue, une interpolation par une spline cubique est utilisée pour donner une approximation de la fonction f en Valeurx. On suppose que Listex est une liste croissante ou décroissante de nombres, cette fonction pouvant retourner une valeur même si ce n'est pas le cas. Elle examine la Listex et recherche un intervalle [Listex[i], Listex[i+1]] qui contient Valeurx. Si elle trouve cet intervalle, elle retourne une valeur d'interpolation pour f(Valeurx), sinon elle donne undef.

Listex, Listey, et ListePrincy doivent être de même dimensions 2 et contenir des expressions pouvant être évaluées à des nombres.

Valeurx peut être une variable indéfinie, un nombre ou une liste de nombres.

Équation différentielle :
y'=-3y+6t+5 et y(0)=5


Pour afficher le résultat entier, appuyez sur 5, puis utilisez les touches 7 et 8 pour déplacer le curseur.

Utilisez la fonction interpolate() pour calculer les valeurs de la fonction pour la listevaleursx :

invχ2()

invχ2(Aire,df)

invChi2(Aire,df)

Calcule l'inverse de la fonction de répartition de la loi X2 (Khi2) de degré de liberté df en un point donné Aire.

 

invF()

invF(Aire,dfNumer,dfDenom)

invF(Zone,dfNumer,dfDenom)

Calcule l'inverse de la fonction de répartition de la loi F (Fisher) de paramètres spécifiée par dfNumer et dfDenom en un point donné Aire

 

invBinom()

invBinom(CumulativeProb,NumTrials,Prob,
OutputForm
)scalaire ou matrice

Étant donné le nombre d’essais (NumTrials) et la probabilité de réussite de chaque essai (Prob), cette fonction renvoie le nombre minimal de réussites, k, tel que la probabilité cumulée de k réussites soit supérieure ou égale à une probabilité cumulée donnée (CumulativeProb).

OutputForm=0, affiche le résultat en tant que scalaire (par défaut).

OutputForm=1, affiche le résultat en tant que matrice.

Par exemple : Mary et Kevin jouent à un jeu de dés. Mary doit déviner le nombre maximal de fois où 6 apparaît dans 30 lancers. Si le nombre 6 apparaît autant de fois ou moins, Mary gagne. Par ailleurs, plus le nombre qu’elle dévine est petit, plus ses gains sont élevés. Quel est le plus petit nombre que Mary peut deviner si elle veut que la probabilité du gain soit supérieure à 77 % ?

invBinomN()

invBinomN(CumulativeProb,Prob,
NumSuccess,OutputForm
)scalaire ou matrice

Étant donné la probabilité de réussite de chaque essai (Prob) et le nombre de réussites (NumSuccess), cette fonction renvoie le nombre minimal d’essais, N, tel que la probabilité cumulée de x réussites soit inférieure ou égale à une probabilité cumulée donnée (CumulativeProb).

OutputForm=0, affiche le résultat en tant que scalaire (par défaut).

OutputForm=1, affiche le résultat en tant que matrice.

Par exemple : Monique s’entraîne aux tirs au but au volley-ball. Elle sait par expérience que ses chances de marquer un but sont de 70 %. Elle prévoit de s’entraîner jusqu’à ce qu’elle marque 50 buts. Combien de tirs doit-elle tenter pour s’assurer que la probabilité de marquer au moins 50 buts est supérieure à 0,99 ?

invNorm()

invNorm(Aire[,μ[,σ]])

Calcule l'inverse de la fonction de répartition de la loi normale de paramètres μ et σ en un point donné Aire.

 

invt()

invt(Aire,df)

Calcule les fractiles d’une loi de Student à df degrés de liberté pour une Aire donnée.

 

iPart()

iPart(Number) entier
iPart(List1) liste
iPart(Matrix1) matrice

Donne l'argument moins sa partie fractionnaire.

Dans le cas d'une liste ou d'une matrice, applique la fonction à chaque élément.

L'argument peut être un nombre réel ou un nombre complexe.

irr()

irr(CF0,CFList [,CFFreq]) valeur

Fonction financière permettant de calculer le taux interne de rentabilité d'un investissement.

MT0 correspond au mouvement de trésorerie initial à l'heure 0 ; il doit s'agir d'un nombre réel.

Liste MT est une liste des montants de mouvements de trésorerie après le mouvement de trésorerie initial MT0.

FréqMT est une liste facultative dans laquelle chaque élément indique la fréquence d'occurrence d'un montant de mouvement de trésorerie groupé (consécutif), correspondant à l'élément de ListeMT La valeur par défaut est 1 ; si vous saisissez des valeurs, elles doivent être des entiers positifs < 10 000

Remarque : Voir également mirr(), ici.

isPrime()

isPrime(Nombre) Expression booléenne constante

Donne true ou false selon que nombre est ou n'est pas un entier naturel premier 2, divisible uniquement par lui-même et 1.

Si Nombre dépasse 306 chiffres environ et n'a pas de diviseur 1021, isPrime(Nombre) affiche un message d'erreur.

Si vous souhaitez uniquement déterminer si Nombre est un nombre premier, utilisez isPrime() et non factor(). Cette méthode est plus rapide, en particulier si Nombre n'est pas un nombre premier et si le deuxième facteur le plus grand comporte plus de cinq chiffres.

Remarque pour la saisie des données de l’exemple : Pour obtenir des instructions sur la saisie des définitions de fonction ou de programme sur plusieurs lignes, consultez la section relative à la calculatrice dans votre guide de produit.


Fonction permettant de trouver le nombre premier suivant un nombre spécifié :

isVoid()

isVoid(Var) Expression booléenne constante
isVoid(Expr) Expression booléenne constante
isVoid(Var) liste d’expressions booléennes constantes

Retourne true ou false pour indiquer si l'argument est un élément de type données vide.

Pour plus d'informations concernant les éléments vides, reportez-vous à . ici.