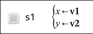
Représentation graphique d’un nuage de points
| 1. | Dans l’application Graphiques, tapez sur Outils et accédez à Entrée/Modification graphique > Nuage de points. |
| 2. | Utilisez l’une des méthodes suivantes pour spécifier deux listes représentant les x et les y. |
| - | Tapez sur pour sélectionner une variable de type liste que vous avez définie dans l’activité courante. |
| - | Saisissez le nom d'une variable de type liste existante, par exemple v1. |
| - | Saisissez directement les éléments de la liste (par exemple, saisissez {1,2,3}. |
| 3. | Tapez sur ENTRÉE pour représenter les données, puis zoomez sur l’espace de travail pour afficher les données tracées. |
et accédez à
pour sélectionner une variable de type liste que vous avez définie dans l’activité courante.