D
|
Catalogue > |
|
|
dbd(date1,date2)Þvaleur Calcule le nombre de jours entre date1 et date2 à l'aide de la méthode de calcul des jours. date1 et date2 peuvent être des chiffres ou des listes de chiffres compris dans une plage de dates d'un calendrier normal. Si date1 et date2 sont toutes deux des listes, elles doivent être de la même longueur. date1 et date2 doivent être comprises entre 1950 et 2049. Vous pouvez saisir les dates à l'un des deux formats. L'emplacement de la décimale permet de distinguer les deux formats. MM.JJAA (format communément utilisé aux Etats-Unis) JJMM.AA (format communément utilisé en Europe) |
|
|
Catalogue > |
|
|
Valeur 4DDÞvaleur Liste1 4DDÞliste Matrice1 4DDÞmatrice Remarque : vous pouvez insérer cet opérateur à partir du clavier de l'ordinateur en entrant @>DD. Donne l'équivalent décimal de l'argument exprimé en degrés. L'argument est un nombre, une liste ou une matrice interprété suivant le mode Angle utilisé (grades, radians ou degrés). |
En mode Angle en degrés :
En mode Angle en grades :
En mode Angle en radians :
|
|
Catalogue > |
|
|
Liste1 4DecimalÞvaleur Matrice1 4DecimalÞvaleur Remarque : vous pouvez insérer cet opérateur à partir du clavier de l'ordinateur en entrant @>Decimal. Affiche l'argument sous forme décimale. Cet opérateur ne peut être utilisé qu'à la fin d'une ligne. |
|
|
Catalogue > |
|
|
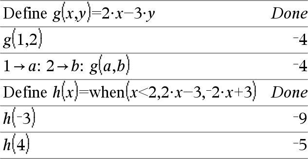
Define Var = Expression Define Fonction(Param1, Param2, ...) = Expression Définit la variable Var ou la fonction définie par l'utilisateur Fonction. Les paramètres, tels que Param1, sont des paramètres substituables utilisés pour transmettre les arguments à la fonction. Lors de l'appel d'une fonction définie par l'utilisateur, des arguments (par exemple, les valeurs ou variables) qui correspondent aux paramètres doivent être fournis. La fonction évalue ensuite Expression en utilisant les arguments fournis. Var et Fonction ne peuvent pas être le nom d'une variable système ni celui d'une fonction ou d'une commande prédéfinie. Remarque : cette utilisation de Define est équivalente à celle de l'instruction : expression & Fonction(Param1,Param2). |
|
|
Define Fonction(Param1, Param2, ...) = Func Define Programme(Param1, Param2, ...) = Prgm Dans ce cas, la fonction définie par l'utilisateur ou le programme permet d'exécuter plusieurs instructions (bloc). Bloc peut correspondre à une instruction unique ou à une série d'instructions réparties sur plusieurs lignes. Bloc peut également contenir des expressions et des instructions (comme If, Then, Else et For). Remarque pour la saisie des données de l’exemple : Pour obtenir des instructions sur la saisie des définitions de fonction ou de programme sur plusieurs lignes, consultez la section relative à la calculatrice dans votre guide de produit. Remarque : voir aussi Define LibPriv, ici et Define LibPub, ici. |
|
|
Catalogue > |
|
|
Define LibPriv Var = Expression Define LibPriv Fonction(Param1, Param2, ...) = Expression Define LibPriv Fonction(Param1, Param2, ...) = Func Define LibPriv Programme(Param1, Param2, ...) = Prgm S'utilise comme Define, mais permet de définir des objets (variables, fonctions, programmes) dans la bibliothèque privée. Les fonctions et programmes privés ne s'affichent pas dans le Catalogue. |
|
|
Catalogue > |
|
|
Define LibPub Var = Expression Define LibPub Fonction(Param1, Param2, ...) = Expression Define LibPub Fonction(Param1, Param2, ...) = Func Define LibPub Programme(Param1, Param2, ...) = Prgm S'utilise comme Define, mais permet de définir des objets (variables, fonctions, programmes) dans la bibliothèque publique. Les fonctions et programmes publics s'affichent dans le Catalogue après l'enregistrement et le rafraîchissement de la bibliothèque. |
|
|
Voir @List(), ici. |
|
|
|
|
|
|
|
|
Catalogue > |
|
|
DelVar Var1[, Var2] [, Var3] ... DelVar Var. Supprime de la mémoire la variable ou le groupe de variables spécifié. Si une ou plusieurs variables sont verrouillées, cette commande affiche un message d'erreur et ne supprime que les variables non verrouillées. Voir |
|
|
DelVar Var. supprime tous les membres du groupe de variables Var, comme les variables statistiques du groupe stat,le résultat nn ou les variables créées à l'aide de la fonction LibShortcut(). Le point (.) dans cette utilisation de la commande DelVar limite la suppression au groupe de variables ; la variable simple Var n'est pas supprimée. |
|
|
Catalogue > |
|
|
Donne une liste contenant les éléments de Liste1 sans les éléments vides. Pour plus d'informations concernant les éléments vides, reportez-vous à la ici. |
|
|
Catalogue > |
|||||||
|
det(matriceCarrée[, Tolérance])Þexpression Donne le déterminant de matriceCarrée. L'argument facultatif Tolérance permet de considérer comme nul tout élément de la matrice dont la valeur absolue est inférieure à Tolérance. Cet argument n'est utilisé que si la matrice contient des nombres en virgule flottante et ne contient pas de variables symboliques sans valeur affectée. Dans le cas contraire, Tolérance est ignoré.
|
|
|
Catalogue > |
|
|
diag(Liste)Þmatrice diag(matriceLigne)Þmatrice diag(matriceColonne)Þmatrice Donne une matrice diagonale, ayant sur sa diagonale principale les éléments de la liste passée en argument. |
|
|
diag(matriceCarrée)ÞmatriceLigne Donne une matrice ligne contenant les éléments de la diagonale principale de matriceCarrée. matriceCarrée doit être une matrice carrée. |
|
|
Catalogue > |
|
|
dim(Liste)Þentier Donne le nombre d'éléments de Liste. |
|
|
dim(Matrice)Þliste Donne les dimensions de la matrice sous la forme d'une liste à deux éléments {lignes, colonnes}. |
|
|
dim(Chaîne)Þentier Donne le nombre de caractères contenus dans Chaîne. |
|
|
Catalogue > |
|
|
Disp exprOuChaîne1 [, exprOuChaîne2] ... Affiche les arguments dans l'historique de Calculator. Les arguments apparaissent les uns après les autres, séparés par des espaces fines. Très utile dans les programmes et fonctions pour l'affichage de calculs intermédiaires. Remarque pour la saisie des données de l’exemple : Pour obtenir des instructions sur la saisie des définitions de fonction ou de programme sur plusieurs lignes, consultez la section relative à la calculatrice dans votre guide de produit. |
|
|
Catalogue > |
|||||
|
DispAt int,expr1 [,expr2 ...] ... DispAt vous permet de spécifier la ligne où l’expression ou la chaîne de caractère spécifiée s’affichera à l’écran. Le numéro de ligne peut être spécifié sous forme d’expression. Veuillez noter que le numéro de ligne n’est pas destiné à l’ensemble de l’écran, mais uniquement à la zone suivant immédiatement la commande/le programme. Cette commande permet des sorties de type tableau de bord de programmes où la valeur d’une expression ou d’une lecture de capteur est mise à jour sur la même ligne. DispAtet Disp peuvent être utilisés au sein du même programme. Remarque : Le nombre maximum est défini sur 8, du fait que cela correspond à un écran entier de lignes sur l’écran d’une calculatrice - du moment que les lignes ne contiennent pas d’expressions mathématiques 2D. Le nombre exact de lignes dépend du contenu des informations affichées.
|
Par exemple :
Exemples illustratifs :
|
Conditions d’erreur :
|
Message d’erreur |
Description |
|---|---|
|
Le numéro de ligne DispAt doit être compris entre 1 et 8 |
L’expression évalue le numéro de la ligne en dehors de la plage 1 - 8 (inclus) |
|
Nombre insuffisant d’arguments |
Il manque un ou plusieurs arguments à la fonction ou commande. |
|
Aucun argument |
Identique à la boîte de dialogue « erreur de syntaxe » actuelle |
|
Trop d’arguments |
Limiter les arguments. Même erreur que Disp. |
|
Type de données incorrect |
Le premier argument doit être un nombre. |
|
Vide : DispAt vide |
L’erreur de type de données "Hello World" (Datatype error) est renvoyée pour le vide (si le rappel est défini) |
|
Catalogue > |
|
|
Liste 4DMS Matrice 4DMS Remarque : vous pouvez insérer cet opérateur à partir du clavier de l'ordinateur en entrant @>DMS. Interprète l'argument comme un angle et affiche le nombre DMS équivalent (DDDDDD¡MM'SS.ss''). Voir ¡, ', ''ici pour le détail du format DMS (degrés, minutes, secondes). Remarque : 4DMS convertit les radians en degrés lorsque l'instruction est utilisée en mode radians. Si l'entrée est suivie du symbole des degrés ¡, aucune conversion n'est effectuée. Vous ne pouvez utiliser 4DMS qu'à la fin d'une ligne. |
En mode Angle en degrés :
|
|
Catalogue > |
|
|
dotP(Liste1, Liste2)Þexpression Donne le produit scalaire de deux listes. |
|
|
dotP(Vecteur1, Vecteur2)Þexpression Donne le produit scalaire de deux vecteurs. Les deux vecteurs doivent être de même type (ligne ou colonne). |
|
