Z
|
Katalogi > |
|
|
zeros(Laus, Muutt)Þlista zeros(Laus, Muutt=Arvaus)Þlista Määrittää listan muuttujan Muutt mahdollisista reaalilukuarvoista, joilla Laus=0. zeros() suorittaa tämän laskemalla yhtälön exp4list(solve(Laus=0,Muutt),Muutt). |
|
|
Joissakin tilanteissa funktion zeros() vastausmuoto on sopivampi kuin funktion solve(). Funktion zeros() vastausmuoto ei kuitenkaan pysty ilmaisemaan implisiittisiä ratkaisuja tai ratkaisuja, jotka vaativat epäyhtälöitä, eikä ratkaisuja, joihin ei sisälly muuttujaa Muutt. Huomaa: Katso myös cSolve(), cZeros() ja solve(). |
|
|
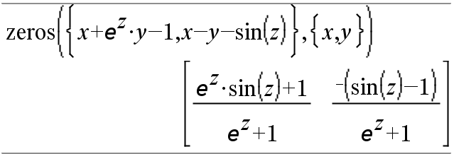
zeros({Laus1, Laus2}, Laskee mahdollisia reaalisia nollakohtia samanaikaisille algebrallisille yhtälöille, joissa jokainen muuttTaiArvaus määrittää ratkaistavan tuntemattoman arvon. Voit halutessasi määrittää muuttujan ensimmäisen arvauksen. Jokaisen muuttTaiArvaus-komennon on oltava muodossa: muuttuja
Esimerkiksi x kelpaa ja samoin x=3. |
|
|
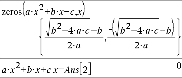
Jos kaikki lausekkeet ovat polynomeja, ja ET määritä ensimmäisiä arvauksia, zeros() käyttää leksikaalista Gröbner/Buchbergerin eliminaatiomenetelmää yrittäessään määrittää kaikki reaaliset nollakohdat. Oletetaan esimerkiksi, että origossa on ympyrän säde r, ja toinen ympyrän säde r on keskitetty kohtaan, jossa ensimmäinen ympyrä leikkaa positiivisen x-akselin. Määritä leikkauskohdat zeros()-funktion avulla. |
|
|
Kuten on kuvattu merkinnällä r oikealla olevassa esimerkissä, samanaikaisissa polynomilausekkeissa voi olla ylimääräisiä muuttujia, joilla ei ole arvoja, vaan ne edustavat tiettyjä numeerisia arvoja, jotka voidaan korvata myöhemmin. Jokainen tulosmatriisin rivi edustaa vaihtoehtoista nollakohtaa, jossa komponentit on järjestetty samalla tavalla kuin MuuttTaiArvaus-listassa. Jos haluat määrittää rivin juuren, indeksoi matriisi [riveittäin]. |
|
|
Voit ottaa mukaan (tai käyttää niitä tilalla) myös tuntemattomia muuttujia, joita ei esiinny lausekkeissa. Voit esimerkiksi ottaa mukaan z:n tuntemattomana muuttujana ulottaaksesi edellisen esimerkin säteen r kahteen samansuuntaiseen leikkaavaan sylinteriin. Sylintereiden nollakohdat havainnollistavat, miten nollakohtien sarjat voivat sisältää mielivaltaisia vakioita, jotka ovat muotoa ck, jossa k on kokonaislukuliite väliltä 1-255. |
|
|
Polynomisarjoissa laskutoimituksen suoritusaika tai muistin käyttö voivat riippua merkittävästi tuntemattomien muuttujien järjestyksestä. Jos ensimmäinen valintasi kuluttaa muistia, tai et jaksa odottaa vastausta, yritä järjestää muuttujat uudelleen lausekkeisiin ja/tai MuuttTaiArvaus-listaan. |
|
|
Jos et ota mukaan arvauksia, ja jokin lausekkeista on ei-polynominen missä tahansa muuttujassa, mutta kaikki muuttujat ovat lineaarisia kaikissa tuntemattomissa muuttujissa, zeros() käyttää Gaussin eliminointia yrittäessään määrittää kaikki reaaliset nollakohdat. |
|
|
Jos yhtälöryhmä ei ole polynominen kaikilta muuttujiltaan eikä lineaarinen tuntemattomilta muuttujiltaan, zeros() määrittää korkeintaan yhden nollakohdan käyttäen likimääräistä iteratiivista menetelmää. Tässä tuntemattomien muuttujien lukumäärän on oltava sama kuin lausekkeiden lukumäärä, ja kaikkien muiden lausekkeiden sisältämien muuttujien on sievennyttävä luvuiksi. Jokainen tuntematon muuttuja alkaa arvausarvostaan, mikäli se on määritetty; muussa tapauksessa se alkaa arvosta 0.0. |
|
|
Arvausten avulla voit etsiä lisää nollakohtia yksi kerrallaan. Suppenemista varten arvauksen on mahdollisesti oltava melko lähellä nollakohtaa. |
|
|
Katalogi > |
|
|
zInterval s,Lista[,Frekv[,CTaso]] (Datalistan syöte) zInterval s,v,n [,CTaso] (Yhteenvetotilaston syöte) Laskee z-luottamusvälin. Tulosten yhteenveto tallentuu stat.results-muuttujaan. (Katso täältä.) Lisätietoja listassa olevien tyhjien elementtien vaikutuksesta, katso Tyhjät elementitsivulla täältä. |
|
|
Tulosmuuttuja |
Kuvaus |
|
stat.CLower, stat.CUpper |
Tuntemattoman perusjoukon keskiarvon luottamusväli |
|
stat.x |
Satunnaisesta normaalijakaumasta olevan datasekvenssin otoksen keskiarvo |
|
stat.ME |
Virhemarginaali |
|
stat.sx |
Otoksen keskihajonta |
|
stat.n |
Otoksen keskiarvon sisältävän datasekvenssin pituus |
|
stat.s |
Datasekvenssin Lista tunnettu perusjoukon keskihajonta |
|
Katalogi > |
|
|
zInterval_1Prop x,n [,CTaso] Laskee yhden osuuden z-luottamusvälin. Tulosten yhteenveto tallentuu stat.results-muuttujaan. (Katso täältä.) x on ei-negatiivinen kokonaisluku. Lisätietoja listassa olevien tyhjien elementtien vaikutuksesta, katso Tyhjät elementitsivulla täältä. |
|
|
Tulosmuuttuja |
Kuvaus |
|
stat.CLower, stat.CUpper |
Luottamusväli, joka sisältää jakauman luottamusvälin todennäköisyyden |
|
stat.Ç |
Laskettu onnistumisten osuus |
|
stat.ME |
Virhemarginaali |
|
stat.n |
Otosten lukumäärä datasekvenssissä |
|
Katalogi > |
|
|
zInterval_2Prop x1,n1,x2,n2[,CTaso] Laskee kahden osuuden z-luottamusvälin. Tulosten yhteenveto tallentuu stat.results-muuttujaan. (Katso täältä.) x1 ja x2 ovat ei-negatiivisia kokonaislukuja. Lisätietoja listassa olevien tyhjien elementtien vaikutuksesta, katso Tyhjät elementitsivulla täältä. |
|
|
Tulosmuuttuja |
Kuvaus |
|
stat.CLower, stat.CUpper |
Luottamusväli, joka sisältää jakauman luottamusvälin todennäköisyyden |
|
stat.ÇDiff |
Osuuksien välinen laskettu erotus |
|
stat.ME |
Virhemarginaali |
|
stat.Ç1 |
Arvio ensimmäisen näytteen osuudesta |
|
stat.Ç2 |
Arvio toisen näytteen osuudesta |
|
stat.n1 |
Otoksen koko datasekvenssissä 1 |
|
stat.n2 |
Otoksen koko datasekvenssissä 2 |
|
Katalogi > |
|
|
zInterval_2Samp s1,s2 ,Lista1,Lista2[,Frekv1[,Frekv2,[CTaso]]] (Datalistan syöte) zInterval_2Samp s1,s2,v1,n1,v2,n2[,CTaso] (Yhteenvetotilaston syöte) Laskee kahden näytteen z-luottamusvälin. Tulosten yhteenveto tallentuu stat.results-muuttujaan. (Katso täältä.) Lisätietoja listassa olevien tyhjien elementtien vaikutuksesta, katso Tyhjät elementitsivulla täältä. |
|
|
Tulosmuuttuja |
Kuvaus |
|
stat.CLower, stat.CUpper |
Luottamusväli, joka sisältää jakauman luottamusvälin todennäköisyyden |
|
stat.x1-x2 |
Satunnaisesta normaalijakaumasta olevien datasekvenssien otosten keskiarvot |
|
stat.ME |
Virhemarginaali |
|
stat.x1, stat.x2 |
Satunnaisesta normaalijakaumasta olevien datasekvenssien otosten keskiarvot |
|
stat.sx1, stat.sx2 |
Lista 1:n ja Lista 2:n otosten keskihajonnat |
|
stat.n1, stat.n2 |
Otosten lukumäärä datasekvensseissä |
|
stat.r1, stat.r2 |
Datasekvenssien Lista 1 ja Lista 2 tunnetut perusjoukon keskihajonnat |
|
Katalogi > |
|
|
zTest m0,s,Lista,[Frekv[,Hypot]] (Datalistan syöte) zTest m0,s,v,n[,Hypot] (Yhteenvetotilaston syöte) Suorittaa z-testin frekvenssillä frekvlista. Tulosten yhteenveto tallentuu stat.results-muuttujaan. (Katso täältä.) Testaa H0: m = m0, jonkin seuraavan vaihtoehdon suhteen: Kun Ha: m < m0, aseta Hypot<0 Lisätietoja listassa olevien tyhjien elementtien vaikutuksesta, katso Tyhjät elementitsivulla täältä. |
|
|
Tulosmuuttuja |
Kuvaus |
|
stat.z |
(x N m0) / (s / sqrt(n)) |
|
stat.P Value |
Pienin todennäköisyys, jolla nollahypoteesi voidaan hylätä |
|
stat.x |
Listan sisältämän datasekvenssin otoksen keskiarvo |
|
stat.sx |
Datasekvenssin otoksen keskihajonta. Lasketaan vain Data-syötteelle. |
|
stat.n |
Otoksen koko |
|
Katalogi > |
|
|
zTest_1Prop p0,x,n[,Hypot] Laskee yhden osuuden z-testin. Tulosten yhteenveto tallentuu stat.results-muuttujaan. (Katso täältä.) x on ei-negatiivinen kokonaisluku. Testaa H0: p = p0 jonkin seuraavan vaihtoehdon suhteen: Kun Ha: p > p0, aseta Hypot>0 Lisätietoja listassa olevien tyhjien elementtien vaikutuksesta, katso Tyhjät elementitsivulla täältä. |
|
|
Tulosmuuttuja |
Kuvaus |
|
stat.p0 |
Perusjoukon osuuden hypoteesiarvo |
|
stat.z |
Osuudelle laskettu vakio-ohjearvo |
|
stat.PVal |
Alin merkitsevyystaso, jolla nollahypoteesi voidaan hylätä |
|
stat.Ç |
Arvioitu otoksen osuus |
|
stat.n |
Otoksen koko |
|
Katalogi > |
|
|
zTest_2Prop x1,n1,x2,n2[,Hypot] Laskee kahden osuuden z-testin. Tulosten yhteenveto tallentuu stat.results-muuttujaan. (Katso täältä.) x1 ja x2 ovat ei-negatiivisia kokonaislukuja. Testaa H0: p1 = p2 jonkin seuraavan vaihtoehdon suhteen: Kun Ha: p1 > p2, aseta Hypot>0 Lisätietoja listassa olevien tyhjien elementtien vaikutuksesta, katso Tyhjät elementitsivulla täältä. |
|
|
Tulosmuuttuja |
Kuvaus |
|
stat.z |
Osuuksien erotukselle laskettu vakio-ohjearvo |
|
stat.PVal |
Alin merkitsevyystaso, jolla nollahypoteesi voidaan hylätä |
|
stat.Ç1 |
Arvio ensimmäisen näytteen osuudesta |
|
stat.Ç2 |
Arvio toisen näytteen osuudesta |
|
stat.Ç |
Poolattu arvio otoksen osuudesta |
|
stat.n1, stat.n2 |
Kokeissa 1 ja 2 otettujen otosten lukumäärä |
|
Katalogi > |
|
|
zTest_2Samp s1,s2 ,Lista1,Lista2[,Frekv1[,Frekv2[,Hypot]]] (Datalistan syöte) zTest_2Samp s1,s2,v1,n1,v2,n2[,Hypot] (Yhteenvetotilaston syöte) Laskee kahden otoksen z-testin. Tulosten yhteenveto tallentuu stat.results-muuttujaan. (Katso täältä.) Testaa H0: m1 = m2, jonkin seuraavan vaihtoehdon suhteen: Kun Ha: m1 < m2, aseta Hypot<0 Lisätietoja listassa olevien tyhjien elementtien vaikutuksesta, katso Tyhjät elementitsivulla täältä. |
|
|
Tulosmuuttuja |
Kuvaus |
|
stat.z |
Keskiarvojen erotukselle laskettu vakio-ohjearvo |
|
stat.PVal |
Alin merkitsevyystaso, jolla nollahypoteesi voidaan hylätä |
|
stat.x1, stat.x2 |
Lista1:n ja Lista2:n sisältämien datasekvenssien otosten keskiarvot |
|
stat.sx1, stat.sx2 |
Lista1:n ja Lista2:n sisältämien datasekvenssien otosten keskihajonnat |
|
stat.n1, stat.n2 |
Otosten koko |
