F
|
Katalogi > |
|||||||||||||
|
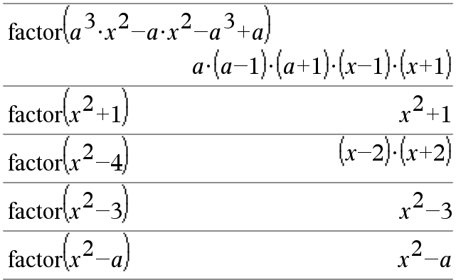
factor(Laus1[, Muutt])Þlauseke factor(Laus1) jakaa Laus1:n kaikki muuttujat tekijöihin yhteisen nimittäjän suhteen. Laus1 :ä jaetaan tekijöihin mahdollisimman paljon lineaaristen rationaalilukutekijöiden suuntaan ilman, että uusia ei-reaalisia alalausekkeita syntyy. Tämä vaihtoehto on sopiva, jos haluat jakaa lausekkeen tekijöihin useamman kuin yhden muuttujan suhteen. |
|
||||||||||||
|
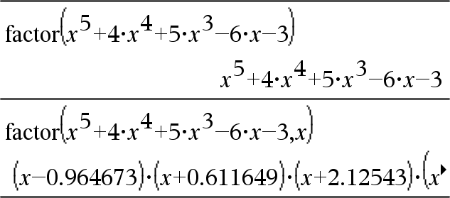
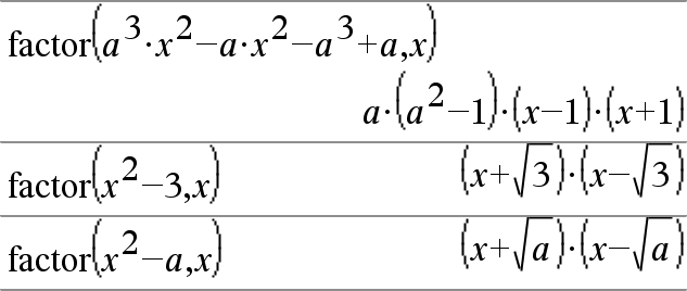
factor(Laus1,Muutt) laskee Laus1:n jaettuna tekijöihin muuttujan Muutt suhteen. Laus1 :ä jaetaan mahdollisimman paljon kohti reaalisia tekijöitä, jotka ovat lineaarisia muuttujassa Muutt, vaikka tästä syntyisi irrationiaalisia vakioita tai alalausekkeita, jotka ovat irrationaalisia muissa muuttujissa. Tekijät ja niiden termit lajitellaan siten, että Muutt on päämuuttuja. Muuttujan Muutt samanlaiset potenssit kerätään jokaisessa tekijässä. Muuttujan Muutt tulee olla mukana, jos vain kyseistä muuttujaa halutaan jakaa tekijöihin ja jos irrationaalilausekkeet ovat hyväksyttäviä kaikissa muissa muuttujissa, jotta muuttujaa Muutt voitaisiin jakaa enemmän tekijöihin. Toimenpiteessä voi esiintyä jonkin verran satunnaista muiden muuttujien tekijöihin jakamista. |
|
||||||||||||
|
Auto or Approximate (Automaattinen tai likimääräinen) -tilan Auto (Automaattinen) -asetuksessa muuttujan Muutt mukanaolo sallii likiarvoistamisen liukulukukertoimilla, kun irrationaalisia kertoimia ei voida ilmaista täsmällisen tiiviisti sisäänrakennetuilla termeillä. Vaikka muuttujia olisi vain yksi, muuttujan Muutt mukanaolo voi tuottaa täydellisemmän tekijöihin jakamisen. Huomaa: Katso myös comDenom(), jossa on kuvattu nopea tapa suorittaa osittainen tekijöihin jako, kun factor() ei ole tarpeeksi nopea tai käyttää liikaa muistia. Huomaa: Katso myös cFactor(), jossa on kuvattu täydellinen tekijöihin jako kompleksikertoimiksi etsittäessä lineaarisia tekijöitä. |
|
||||||||||||
|
factor(rationaaliluku) laskee rationaaliluvun, joka on jaettu jaottomiin tekijöihin. Sekalukujen kohdalla laskenta-aika pitenee eksponentiaalisesti toiseksi suurimman tekijän sisältämien numeroiden määrän suhteen. Esimerkiksi 30-numeroisen kokonaisluvun tekijöihin jakaminen voi kestää pitempään kuin vuorokauden ja 100-numeroisen luvun pitempään kuin vuosisadan. Pysäytä laskenta käsin,
Jos haluat pelkästään määrittää, onko jokin luku jaoton, käytä sen sijaan komentoa isPrime(). Se on paljon nopeampi, erityisesti jos rationaaliluku ei ole jaoton, ja jos toiseksi suurimmassa tekijässä on enemmän kuin viisi numeroa. |
|
|
Katalogi > |
|
|
FCdf(alaraja,yläraja,dfOsoitt,dfNimitt)Þluku, jos alaraja ja yläraja ovat lukuja, lista, jos alaraja ja yläraja ovat listoja FCdf(alaraja,yläraja,dfOsoitt,dfNimitt)Þluku, jos alaraja ja yläraja ovat lukuja, lista, jos alaraja ja yläraja ovat listoja Laskee F-jakauman todennäköisyydenalarajan ja ylärajan välillä määritellylle dfOsoittajalle (vapausaste) ja dfNimittäjälle. Aseta P(X { yläraja):lle alaraja = 0. |
|
|
Katalogi > |
|
|
Fill Laus, matriisiMuuttÞmatriisi Korvaa muuttujan matriisiMuutt jokaisen elementin lausekkeella Laus. matriisiMuuttujan on oltava valmiiksi olemassa. |
|
|
Fill Laus, listaMuuttÞlista Korvaa muuttujan listaMuutt jokaisen elementin lausekkeella Laus. listaMuuttujan on oltava valmiiksi olemassa. |
|
|
Katalogi > |
|
|
FiveNumSummary X[,[Frekv][,Luokka,Sisällytä]] Antaa lyhennetyn version 1 muuttujan tilastoista listalle X. Tulosten yhteenveto tallentuu stat.results-muuttujaan. (Katso täältä.) X edustaa datan sisältävää listaa. Frekv on valinnainen frekvenssiarvojen lista. Jokainen Frekv:n elementti määrittää kunkin vastaavan X:n arvon esiintymisfrekvenssin. Oletusarvo on 1. Kaikkien elementtien on oltava kokonaislukuja 0. Luokka on numeeristen luokkakoodien lista vastaaville X:n arvoille. Sisällytä on yhden tai usemman luokkakoodin lista. Vain ne datayksiköt, joiden luokkakoodi sisältyy tähän listaan, ovat mukana laskutoimituksessa. Tyhjä elementti jossakin listassa X, Frekv tai Luokka saa aikaan, että kaikkien listojen vastaava elementti on tyhjä. Lisätietoja tyhjistä elementeistä, katso täältä. |
|
|
Tulosmuuttuja |
Kuvaus |
|
stat.MinX |
x:n arvojen minimi |
|
stat.Q1X |
x:n ensimmäinen neljännes |
|
stat.MedianX |
x:n mediaani |
|
stat.Q3X |
x:n kolmas neljännes |
|
stat.MaxX |
x:n arvojen maksimi |
|
Katalogi > |
|
|
floor(Laus1)Þkokonaisluku Laskee suurimman kokonaisluvun, joka on { argumentti. Tämä funktio on identtinen funktion int() kanssa. Argumentti voi olla reaali- tai kompleksiluku. |
|
|
floor(Lista1)Þlista Määrittää listan tai matriisin jokaisen elementin alarajasta. Huomaa: Katso myös ceiling() ja int(). |
|
|
Katalogi > |
|
|
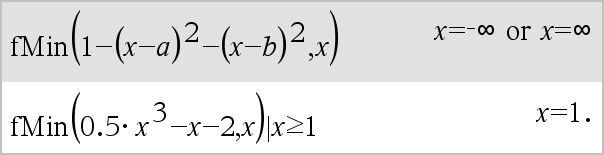
fMax(Laus, Muutt)ÞBoolen lauseke fMax(Laus, Muutt,alaraja,yläraja) fMax(Laus, Muutt) | alaraja{Muutt{yläraja Laskee Boolen lausekkeen, joka määrittää mahdollisia arvoja muuttujalle Muutt, joilla saadaan suurin lausekkeen Laus arvo tai jotka määrittävät sen pienimmän ylärajan. |
|
|
Voit käyttää sijoitusoperaattoria (“|”) rajoittaaksesi ratkaisuväliä ja/tai määrittääksesi muita ehtoja. Auto or Approximate (Automaattinen tai likimääräinen) -tilan Approximate (Likimääräinen) -asetuksessa fMax() etsii iteratiivisesti yhtä likimääräistä paikallista maksimiarvoa. Tämä on usein nopeampi menetelmä, erityisesti jos rajoitat haun operaattorilla “|” suhteellisen pienelle välille, joka sisältää täsmälleen yhden paikallisen maksimin. Huomaa: Katso myös fMin() ja max(). |
|
|
Katalogi > |
|
|
fMin(Laus, Muutt)ÞBoolen lauseke fMin(Laus, Muutt,alaraja) fMin(Laus, Muutt,alaraja,yläraja) fMin(Laus, Muutt) | alaraja{Muutt{yläraja Laskee Boolen lausekkeen, joka määrittää mahdollisia arvoja muuttujalle Muutt, joilla saadaan pienin lausekkeen Laus arvo tai jotka määrittävät sen suurimman alarajan. Voit käyttää sijoitusoperaattoria (“|”) rajoittaaksesi ratkaisuväliä ja/tai määrittääksesi muita ehtoja. Auto or Approximate (Automaattinen tai likimääräinen) -tilan Approximate (Likimääräinen) -asetuksessa fMin() etsii iteratiivisesti yhtä likimääräistä paikallista minimiarvoa. Tämä on usein nopeampi menetelmä, erityisesti jos rajoitat haun operaattorilla “|” suhteellisen pienelle välille, joka sisältää täsmälleen yhden paikallisen minimin. Huomaa: Katso myös fMax() ja min(). |
|
|
Katalogi > |
|
|
For Muutt, Matala, Korkea [, Askel] Suorittaa Lohkon sisältämät lausekkeet iteratiivisesti jokaiselle muuttujan Muutt arvolle, Matalasta Korkeaaan kohdassa Askel määritetyin portain. Muutt ei saa olla järjestelmän muuttuja. Askel voi olla positiivinen tai negatiivinen. Oletusarvo on 1. Lohko voi olla joko yksi lauseke tai sarja lausekkeita, jotka on erotettu toisistaan kaksoispisteellä (:). Huomaa esimerkkiä syöttäessäsi: Ohjeet monirivisten ohjelmien ja funktion määritysten syöttämisestä löytyvät tuotteen ohjekirjan Laskin-osiosta. |
|
|
Katalogi > |
|
|
format(Laus[, muotoMerkkijono])Þmerkkijono Määrittää lausekkeen Laus merkkijonona muotoilumallin perusteella. Laus on voitava sieventää luvuksi. muotoMerkkijono on merkkijono, ja sen tulee olla muodossa: “F[n]”, “S[n]”, “E[n]”, “G[n][c]”, jossa [ ] ilmaisevat valinnaisia osia. F[n]: Kiinteä muoto. n on desimaalipisteen jälkeen näytettävien numeroiden lukumäärä. S[n]: Kymmenpotenssimuoto. n on desimaalipisteen jälkeen näytettävien numeroiden lukumäärä. E[n]: Tekninen esitystapa. n on ensimmäisen merkitsevän numeron jälkeen näytettävien numeroiden lukumäärä. Eksponentti säätyy kolmella kerrolliseksi, ja desimaalipiste siirtyy 0, 1 tai 2 numeroa oikealle. G[n][c]: Muuten sama kuin kiinteä muoto, mutta erottaa myös juuren vasemmalla puolella olevat numerot kolmen ryhmiin. c määrittää ryhmän erotusmerkin, ja sen oletusarvo on pilkku. Jos c on piste, juuri näytetään pilkkuna. [Rc]: Mihin tahansa edellä mainituista määrittäjistä voidaan liittää Rc-juurilippu, jossa c on yksi merkki, joka määrittää korvauksen kohteen juuripisteestä. |
|
|
Katalogi > |
|
|
fPart(Laus1)Þlauseke Laskee argumentin murtolukuosan. Kun kyseessä on lista tai matriisi, laskee elementtien murtolukuosat. Argumentti voi olla reaali- tai kompleksiluku. |
|
|
Katalogi > |
|
|
FPdf(XArvo,dfOsoitt,dfNimitt)Þluku, jos XArvo on luku, lista, jos XArvo on lista Laskee F-jakauman todennäköisyyden XArvon kohdalle määritetyille dfOsoittajalle (vapausasteet) ja dfNimittäjälle. |
|
|
Katalogi > |
|
|
freqTable4list(Lista1,frekvKokonaislukuLista)Þlista Laskee listan, joka sisältää Lista1:n elementit lavennettuina frekvKokonaislukuListan määrittämien frekvenssien mukaisesti. Tätä funktiota voidaan käyttää laadittaessa frekvenssitaulukkoa Data & Tilastot -sovelluksessa. Lista1 voi olla mikä tahansa kelvollinen lista. frekvKokonaislukuListan on oltava samankokoinen kuin Lista1 ja sen tulee sisältää ainoastaan ei-negatiivisia kokonaislukuelementtejä. Jokainen elementti määrittää kuinka monta kertaa Lista1-elementti toistetaan tuloslistassa. Nolla-arvo sulkee pois vastaavan Lista1-elementin. Huomaa: Voit syöttää tämän funktion tietokoneen näppäimistöltä kirjoittamalla freqTable@>list(...). Tyhjiä elementtejä ei huomioida. Lisätietoja tyhjistä elementeistä, katso täältä. |
|
|
Katalogi > |
|
|
frequency(Lista1,lokerotLista)Þlista Luo listan, joka sisältää Lista1:n elementtien lukumäärät. Lukumäärät perustuvat alueisiin (lokeroihin), jotka määritetään kohtaan lokerotLista. Jos lokerotLista on {b(1), b(2), …, b(n)}, määritetyt alueet ovat {?{b(1), b(1)<?{b(2),…,b(n-1)<?{b(n), b(n)>?}. Tuloksena oleva lista on yhden elementin pitempi kuin lokerotLista. Jokainen vastauksen elementti vastaa niiden Lista1:n elementtien lukumäärää, jotka ovat kyseisen lokeron alueella. Funktion countIf() termeillä ilmaistuna vastaus on { countIf(list, ?{b(1)), countIf(list, b(1)<?{b(2)), …, countIf(list, b(n-1)<?{b(n)), countIf(list, b(n)>?)}. Niitä Lista1:n elementtejä, joita ei voi “lokeroida”, ei huomioida. Tyhjiä elementtejä ei myöskään huomioida. Lisätietoja tyhjistä elementeistä, katso täältä. Listat & Taulukot -sovelluksessa voit käyttää solualueita kummankin argumentin tilalla. Huomaa: Katso myös countIf(), täältä. |
Vastauksen selitys: 2 Datalistan elementtiä on {2.5 4 Datalistan elementtiä on >2.5 ja {4.5 3 Datalistan elementtiä on >4.5 Elementti "hei" on merkkijono, jota ei voi sijoittaa mihinkään määritetyistä lokeroista. |
|
Katalogi > |
|
|
FTest_2Samp Lista1,Lista2[,Frekv1[,Frekv2[,Hypot]]] FTest_2Samp Lista1,Lista2[,Frekv1[,Frekv2[,Hypot]]] (Datalistan syöte) FTest_2Samp sx1,n1,sx2,n2[,Hypot] FTest_2Samp sx1,n1,sx2,n2[,Hypot] (Yhteenvetotilaston syöte) Suorittaa kahden otoksen F -testin. Tulosten yhteenveto tallentuu stat.results-muuttujaan. (Katso täältä.) Kun Ha: s1 > s2, aseta Hypot>0 Lisätietoja listassa olevien tyhjien elementtien vaikutuksesta, katso Tyhjät elementitsivulla täältä. |
|
|
Tulosmuuttuja |
Kuvaus |
|
stat.F |
Laskettu Û-tilasto datasekvenssille |
|
stat.PVal |
Alin merkitsevyystaso, jolla nollahypoteesi voidaan hylätä |
|
stat.dfNumer |
osoittajan vapausasteet = n1-1 |
|
stat.dfDenom |
nimittäjän vapausasteet = n2-1 |
|
stat.sx1, stat.sx2 |
Otoksen keskihajonnat Lista 1:n ja Lista 2:n sisältämille datasekvensseille |
|
stat.x1_bar |
Otoksen keskiarvot Lista 1:n ja Lista 2:n sisältämille datasekvensseille |
|
stat.n1, stat.n2 |
Otosten koko |
|
Katalogi > |
|
|
Func Malli käyttäjän määrittämän funktion luomista varten. Lohko voi olla yksi lauseke tai sarja lausekkeita, jotka on erotettu toisistaan kaksoispisteellä (:), tai sarja eri riveillä olevia lausekkeita. Funktio voi käyttää Return-ohjetta tietyn vastauksen laskemiseen. Huomaa esimerkkiä syöttäessäsi: Ohjeet monirivisten ohjelmien ja funktion määritysten syöttämisestä löytyvät tuotteen ohjekirjan Laskin-osiosta. |
Määritä paloittain määritelty funktio:
Funktion g(x) kuvaajan piirtämisen tulos
|
