D
|
Katalogi > |
|
|
dbd(pvm1,pvm2)Þarvo Laskee pvm1:n ja pvm2:n välissä olevien päivien lukumäärän käyttäen todellisten päivien laskentamenetelmää. pvm1 ja pvm2 voivat olla lukuja tai lukulistoja, jotka ovat vakiokalenterin päivämääräalueen sisällä. Jos sekä pvm1 että pvm2 ovat listoja, niiden on oltava samanpituiset. pvm1:n ja pvm2:n on oltava vuosien 1950 ja 2049 välillä. Voit syöttää päivämäärät kahdessa eri muodossa. Desimaalipisteen paikka on erilainen näissä päivämäärien esitystavoissa. MM.DDYY (Yhdysvalloissa yleisesti käytetty esitystapa) |
|
|
Katalogi > |
|
|
Laus1 4DDÞarvoLista1 Huomaa: Voit syöttää tämän operaattorin tietokoneen näppäimistöltä kirjoittamalla @>DD. Laskee vastaavan desimaaliluvun asteina ilmaistulle argumentille. Argumentti on luku, lista tai matriisi, jonka kulmatila-asetus tulkitsee graadeina, radiaaneina tai asteina. |
Astekulmatilassa:
|
|
Katalogi > |
|
|
Lista1 4DecimalÞarvo Matriisi1 4DecimalÞarvo Huomaa: Voit syöttää tämän operaattorin tietokoneen näppäimistöltä kirjoittamalla @>Decimal. Näyttää argumentin desimaalimuodossa. Tätä operaattoria voi käyttää ainoastaan syöterivin lopussa. |
|
|
Katalogi > |
|
|
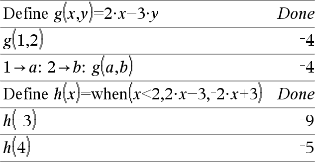
Define Muutt = Lauseke Määrittää muuttujan Muutt tai käyttäjän määrittämän funktion Funktio. Parametrit, kuten Param1, toimivat paikanpitäjinä argumenttien syöttämiseksi funktioon. Kun haet käyttäjän määrittämän funktion, sinun on annettava parametreja vastaavat argumentit (esimerkiksi arvoja tai muuttujia). Kun funktio haetaan, se sieventää Lausekkeen annettujen argumenttien perusteella. Muutt ja Funktio eivät voi olla järjestelmän muuttujan tai sisäänrakennetun funktion tai komennon nimenä. Huomaa: Seuraava Define-funktion muoto on vastaava kuin lausekkeen sieventäminen: lauseke & Funktio(Param1,Param2). |
|
|
Define Funktio(Param1, Param2, ...) = Func
Define Ohjelma(Param1, Param2, ...) = Prgm Tässä muodossa käyttäjän määrittämä funktio tai ohjelma voi suorittaa useista lausekkeista koostuvan lohkon. Lohko voi olla joko yksi lauseke tai eri riveillä olevien lausekkeiden sarja. Lohko voi sisältää myös lausekkeita ja ohjeita (kuten If, Then, Else ja For). Huomaa esimerkkiä syöttäessäsi: Ohjeet monirivisten ohjelmien ja funktion määritysten syöttämisestä löytyvät tuotteen ohjekirjan Laskin-osiosta. Huomaa: Katso myös Define LibPriv, täältä, ja Define LibPub, täältä. |
|
|
Katalogi > |
|
|
Define LibPriv Muutt = Lauseke Define LibPriv Funktio(Param1, Param2, ...) = Func Define LibPriv Ohjelma(Param1, Param2, ...) = Prgm Tämä komento toimii muuten samalla tavalla kuin Define paitsi, että se määrittää yksityisen kirjastomuuttujan, -funktion tai -ohjelman. Yksityiset funktiot ja ohjelmat eivät ole katalogissa. Huomaa: Katso myös Define, täältä, ja Define LibPub, täältä. |
|
|
Katalogi > |
|
|
Define LibPub Muutt = Lauseke Define LibPub Funktio(Param1, Param2, ...) = Func Define LibPub Ohjelma (Param1, Param2, ...) = Prgm Tämä komento toimii muuten samalla tavalla kuin Define paitsi, että se määrittää julkisen kirjastomuuttujan, -funktion tai -ohjelman. Julkiset funktiot ja ohjelmat näkyvät katalogissa sen jälkeen, kun kirjasto on tallennettu ja näyttö on päivitetty. Huomaa: Katso myös Define, täältä, ja Define LibPriv, täältä. |
|
|
Katso @List(), täältä. |
|
|
|
|
|
|
|
|
Katalogi > |
|
|
DelVar Muutt1[, Muutt2] [, Muutt3] ... DelVar Muutt. Poistaa määritetyn muuttujan tai muuttujaryhmän muistista. Jos yksi tai useampia muuttujia on lukittu, tämä komento aiheuttaa virheilmoituksen ja poistaa vain lukitsemattomat muuttujat. Katso |
|
|
DelVar Muutt. poistaa kaikki Muutt:n jäsenet. muuttujaryhmä (kuten tilastollinen stat.nn tulosta tai muuttujaa, jotka on luotu funktiolla LibShortcut()). Piste (.) tässä DelVar-komennon muodossa rajoittaa funktion muuttujaryhmän poistamiseen; komento ei vaikuta yksinkertaiseen muuttujaan Muutt. |
|
|
Katalogi > |
|
|
Antaa tuloksena listan, jossa on listan Lista1 sisältö, ja kaikki tyhjät elementit on poistettu. Lisätietoja tyhjistä elementeistä, katso täältä. |
|
|
Katalogi > |
|||||||
|
det(neliömatriisi[, Toleranssi])Þlauseke Laskee neliömatriisin determinantin. Valinnaisesti kaikkia matriisielementtejä käsitellään nollana, jos niiden itseisarvo on pienempi kuin Toleranssi. Tätä toleranssia käytetään vain, jos matriisissa on liukulukusyötteitä eikä se sisällä symbolisia muuttujia, joille ei ole määritetty arvoa. Muussa tapauksessa Tolerassia ei huomioida.
|
|
|
Katalogi > |
|
|
diag(Lista)Þmatriisi Laskee matriisin, joka sisältää arvot argumenttilistassa tai matriisin sen päälävistäjässä. |
|
|
diag(neliömatriisi)Þrivimatriisi Laskee rivimatriisin, joka sisältää elementit neliömatriisin päälävistäjästä. neliömatriisi:n on oltava neliö. |
|
|
Katalogi > |
|
|
dim(Lista)Þkokonaisluku Laskee Listan mitat. |
|
|
dim(Matriisi)Þlista Laskee matriisin mitat kahden elementin listana {rivit, sarakkeet}. |
|
|
dim(Merkkijono)Þkokonaisluku Laskee merkkijonon Merkkijono sisältämien merkkien lukumäärän. |
|
|
Katalogi > |
|
|
Disp lausTaiMerkkijono1 [, lausTaiMerkkijono2] ... Näyttää Laskin-sovelluksen historiatietojen sisältämät argumentit. Argumentit näytetään peräkkäin, ja erotinmerkkeinä käytetään ohuita välilyöntejä. Käyttökelpoisia pääasiassa ohjelmissa ja funktioissa, jotta välilaskutoimitusten näyttäminen voidaan varmistaa. Huomaa esimerkkiä syöttäessäsi: Ohjeet monirivisten ohjelmien ja funktion määritysten syöttämisestä löytyvät tuotteen ohjekirjan Laskin-osiosta. |
|
|
Katalogi > |
|||||
|
DispAt int,lauseke1 [,lauseke2 ...] ... Komennolla DispAt voidaan määritellä rivi, jolla määrätty lauseke tai merkkijono näytetään ruudulla. Rivinumero voidaan määritellä lausekkeeksi. Huomaa, että rivin numero ei viittaa koko ruutuun vaan alueeseen, joka seuraa välittömästi komentoa/ohjelmaa. Tämä komento mahdollistaa ohjauspaneelin kaltaisen tuotoksen ohjelmista, joissa lausekkeen arvo tai anturin lukema päivitetään samalle riville. Komentoja DispAtja Disp voidaan käyttää samassa ohjelmassa. Huomaa: Suurin sallittu numero on asetettu luvuksi 8, koska se vastaa koko näyttöä täynnä rivejä kannettavassa laitteessa – kunhan riveillä ei ole kaksiulotteisia matemaattisia lausekkeita. Rivien täsmällinen määrä riippuu näytetyn tiedon sisällöstä.
|
Esimerkki
Havainnollistavia esimerkkejä:
|
Virhetilat:
|
Virheviestit |
Kuvaus |
|---|---|
|
DisplAt-rivinumeron on oltava lukujen 1 ja 8 välillä |
Lauseke arvioi rivinumeron välin 1–8 (mukaan lukien) ulkopuolella |
|
Liian vähän argumentteja |
Toiminnosta tai komennosta puuttuu yksi tai useampi argumentti |
|
Ei argumentteja |
Sama kuin nykyinen "syntaksivirhe" -dialogi |
|
Liian monta argumenttia |
Rajoita argumenttia. Sama virhe kuin Disp. |
|
Virheellinen tietotyyppi |
Ensimmäisen argumentin on oltava numero. |
|
Mitätön: DispAt mitätön |
"Hello World" Datatyyppivirhe on mitätöity (jos soittopyyntö on määritelty) |
|
Katalogi > |
|
|
Lista 4DMS Matriisi 4DMS Huomaa: Voit syöttää tämän operaattorin tietokoneen näppäimistöltä kirjoittamalla @>DMS. Tulkitsee argumentin kulmana ja näyttää vastaavan DMS-luvun (DDDDDD¡MM'SS.ss''). DMS-muoto (asteet, minuutit, sekunnit) on kuvattu kohdissa ¡, ', '' sivulla täältä . Huomaa: 4DMS muuntaa radiaanit asteiksi, kun sitä käytetään radiaanitilassa. Jos syötteen perässä on asteen merkki ¡, muunnosta ei suoriteta. Voit käyttää komentoa 4DMS ainoastaan syöterivin lopussa. |
Astekulmatilassa:
|
|
Katalogi > |
|
|
dotP(Lista1, Lista2)Þlauseke Laskee kahden listan “pistetulon”. |
|
|
dotP(Vektori1, Vektori2)Þlauseke Laskee kahden vektorin “pistetulon”. Kummankin on oltava rivivektoreita, tai kummankin on oltava sarakevektoreita. |
|
