Encontram-se aqui: TI‑Nspire™ CX CAS Reference Guide > Lista alfabética > E

E

e^()

e^(Expr1) Þexpressão

Devolve e elevado à potência Expr1.

Nota: Consulte também e modelo do expoente, aqui.

Nota: Premir u para ver e ^( é diferente de premir o carácter E no teclado.

Pode introduzir um número complexo na forma polar re i q. No entanto, utilize esta forma apenas no modo de ângulo Radianos; causa um erro de domínio no modo de ângulo Graus ou Gradianos.

e^(Lista1) Þlista

Devolve e elevado à potência de cada elemento em Lista1.

e^(MatrizQuadrada1) ÞMatrizQuadrada

Devolve a matriz exponencial de MatrizQuadrada1. Isto não é o mesmo que calcular e elevado à potência de cada elemento. Para mais informações sobre o método de cálculo, consulte cos().

MatrizQuadrada1 tem de ser diagnolizável. O resultado contém sempre os números de ponto flutuante.

eff()

eff(TaxaNominal,CpY) Þvalor

Função financeira que converte a taxa de juro nominal TaxaNominal para uma taxa efectiva anual, dando CpY como o número de período compostos por ano.

TaxaNominal tem de ser um número real e CpY tem de ser um número real > 0.

Nota: Consulte também nom(), aqui.

eigVc()

eigVc(MatrizQuadrada) Þmatriz

Devolve uma matriz com os vectores próprios para uma MatrizQuadrada real ou complexa, em que cada coluna do resultado corresponde a um valor próprio. Não se esqueça de que um vector próprio não é único; pode ser dimensionado por qualquer factor constante. Os vectores próprios são normalizados, significando que se V = [ x 1, x 2, …, x n ]:

x 1 + x 2 + … + x n 2 = 1

MatrizQuadrada é primeiro equilibrada com tranformações de similaridade até as normas das colunas e linhas estarem o mais perto possível do mesmo valor. A MatrizQuadrada é reduzida para a forma Hessenberg superior e os vectores próprios são calculados através de uma factorização Schur.

No Formato complexo rectangular:

 

Para ver o resultado completo, prima 5 e, de seguida, utilize 7 e 8 para mover o cursor.

eigVl()

eigVl(MatrizQuadrada) Þlista

Devolve uma lista dos valores próprios de uma MatrizQuadrada real ou complexa.

MatrizQuadrada é primeiro equilibrada com tranformações de similaridade até as normas das colunas e linhas estarem o mais perto possível do mesmo valor. A MatrizQuadrada é reduzida para a forma Hessenberg superior e os valores próprios são calculados a partir da matriz Hessenberg superior.

No modo de formato complexo rectangular:

Para ver o resultado completo, prima 5 e, de seguida, utilize 7 e 8 para mover o cursor.

Else

 

 

ElseIf

Se ExprBooleana1

     Block1

ElseIf BooleanExpr2

     Block2

©

ElseIf ExprBooleanaN

     BlockN

EndIf

©

Obs para introdução do exemplo: Para obter instruções sobre como introduzir programas com várias linhas e definições de funções, consulte a secção Calculadora do manual do utilizador do produto.

EndFor

 

 

EndFunc

 

 

EndIf

 

 

EndLoop

 

 

EndPrgm

 

 

EndTry

 

 

EndWhile

 

 

euler ()

euler(Expr, Var, depVar, {Var0, VarMax}, depVar0, VarStep [, eulerStep]) Þmatriz

euler(SystemOfExpr, Var, ListOfDepVars, {Var0, VarMax},      ListOfDepVars0, VarStep [, eulerStep]) Þmatriz

euler(ListOfExpr, Var, ListOfDepVars, {Var0, VarMax}, ListOfDepVars0, VarStep [, eulerStep]) Þmatriz

Utiliza o método de Euler para resolver o sistema

com depVar(Var0)=depVar0 no intervalo [Var0,VarMax]. Apresenta uma matriz cuja primeira linha define os valores de saída Var e cuja segunda linha define o valor da primeira componente da solução nos valores Var correspondentes, e assim por diante.

Expr é o lado direito que define a equação diferencial ordinária (EDO).

SystemOfExpr é o sistema de lados direitos que definem o sistema de EDOs (corresponde à ordem de variáveis dependentes em ListOfDepVars).

ListOfExpr é uma lista de segundos membros que definem o sistema de EDOs (corresponde à ordem de variáveis dependentes em ListOfDepVars).

Var é a variável independente.

ListOfDepVars é uma lista de variáveis dependentes.

{Var0, VarMax} é uma lista de dois elementos que informa a função para integrar de Var0 a VarMax.

ListOfDepVars0 é uma lista de valores iniciais para variáveis dependentes.

VarStep é um número diferente de zero tal como sign(VarStep) = sign(VarMaxVar0) e as soluções regressam a Var0+i·VarStep para todos os i=0,1,2,… tal como Var0+i·VarStep está em [var0,VarMax] (pode não existir um valor de solução em VarMax).

eulerStep é um número inteiro positivo (passa para 1) que define o número de passos Euler entre os valores de saída. O tamanho de passo real utilizado pelo método Euler é VarStepàeulerStep.

Equação diferencial:

y'=0.001*y*(100-y) e y(0)=10

Para ver o resultado completo, prima 5 e, de seguida, utilize 7 e 8 para mover o cursor.

 

Compare o resultado acima com a solução exacta CAS obtida através de deSolve() e seqGen():

Sistema de equações:

com y1(0)=2 e y2(0)=5

eval () 

eval(Expr) cadeia

eval() só é válida no TI‑Innovator™ Hub argumento Comando dos comandos programados Get, GetStr e Send. O software avalia a expressão Expr e substitui a instrução eval() pelo resultado como cadeia de caracteres.

O argumento Expr tem de ser simplificado para um número real.

Definir o elemento azul do LED RGB para metade da intensidade.

Repor o elemento azul para DESLIGADO.

O argumento eval() tem de ser simplificado para um número real.

Programar para aparecimento gradual do elemento vermelho.

Executar o programa.

Embora eval() não apresente o resultado, pode ver a cadeia de comando resultante do Hub após executar o comando inspecionando qualquer uma das variáveis especiais seguintes.

iostr.SendAns
iostr.GetAns
iostr.GetStrAns

Nota: Ver também Get (aqui), GetStr (aqui) e Send (aqui).

exact()

exact(Expr1 [, Tolerância])Þexpressão

exact(Lista1 [, Tolerância])Þlista

exact(Matriz1 [, Tolerância])Þmatriz

Utiliza o modo aritmético Exacto para apresentar, quando possível, o número racional equivalente do argumento.

Tolerância especifica a tolerância para a conversão; a predefinição é 0 (zero).

Exit

Exit

Sai do bloco For, While ou Loop actual.

Exit não é permitido fora das três estruturas circulares (For, While ou Loop).

Obs para introdução do exemplo: Para obter instruções sobre como introduzir programas com várias linhas e definições de funções, consulte a secção Calculadora do manual do utilizador do produto.

Listagem de funções:

4exp

Expr 4exp

Representa Expr em função do expoente natural e. Este é um operador de conversão. Apenas pode ser utilizado no fim da linha de entrada.

Nota: Pode introduzir este operador através da escrita de @>exp no teclado do computador.

exp()

exp(Expr1) Þexpressão

Devolve e elevado à potência Expr1.

Nota: Consulte também e modelo do expoente, aqui.

Pode introduzir um número complexo na forma polar re i q. No entanto, utilize esta forma apenas no modo de ângulo Radianos; causa um erro de domínio no modo de ângulo Graus ou Gradianos.

exp(Lista1) Þlista

Devolve e elevado à potência de cada elemento em Lista1.

exp(MatrizQuadrada1) ÞMatrizQuadrada

Devolve a matriz exponencial de MatrizQuadrada1. Isto não é o mesmo que calcular e elevado à potência de cada elemento. Para mais informações sobre o método de cálculo, consulte cos().

MatrizQuadrada1 tem de ser diagnolizável. O resultado contém sempre os números de ponto flutuante.

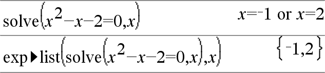
exp4lista()

exp4lista(Expr, Var) Þlista

Examina Expr para equações separadas pela palavra “ ou,” e devolve uma lista com os lados direitos das equações da forma Var=Expr. Isto fornece uma forma simples para extrair alguns valores das soluções embebidos nos resultados das funções solve(), cSolve(), fMin() e fMax().

Nota: exp4list() não é necessário com os zeros e as funções cZeros() porque devolvem uma lista dos valores das soluções directamente.

Pode introduzir esta função através da escrita de exp@>list(...) no teclado.

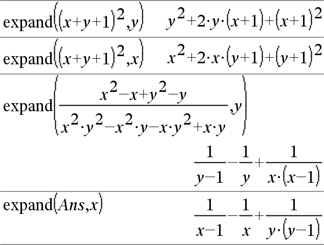
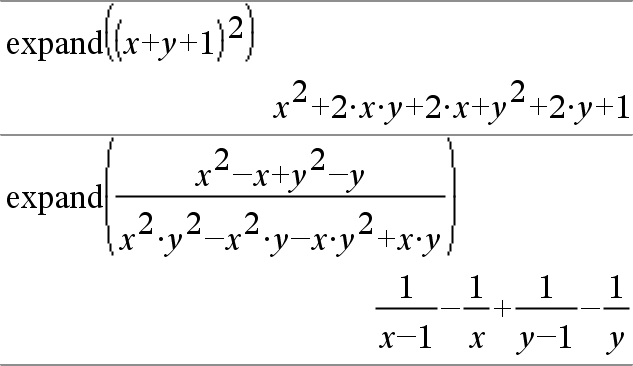
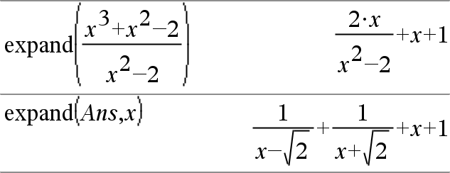
expand()

expand(Expr1 [, Var ]) Þexpressão

expand(Lista1 [, Var ]) Þlista

expand(Matriz1 [, Var ]) Þmatriz

expand(Expr1) devolve Expr1 expandido em relação a todas as variáveis. A expansão é uma expansão polinomial para polinómios e a expansão de fracção parcial para expressões racionais.

O objectivo de expand() é transformar Expr1 numa soma e/ou diferença de termos simples. Pelo contrário, o objectivo de factor() é transformar Expr1 num produto e/ou quociente de factores simples.

expand (Expr1, Var) devolve Expr1 expandido em relação a Var. As potências similares de Var são recolhidas. Os termos e os factores são ordenados com Var como variável principal. Pode existir alguma decomposição de factores incidental ou a expansão dos coeficientes recolhidos. Comparada para omitir Var, esta poupa tempo frequentemente, memória e espaço no ecrã, enquanto torna a expressão mais compreensível.

Mesmo quando exista apenas uma variável, a utilização de Var pode tornar a factorização do denominador utilizada para a expansão da fracção parcial mais completa.

Sugestão: Para expressões racionais, propFrac() é mais rápida, mas uma alternativa menos extrema para expand().

Nota: Consulte também comDenom() para um numerador expandido sobre um denominador expandido.

expand (Expr1, [ Var ]) também distribui potências fraccionárias e logaritmos, independentemente de Var. Para uma distribuição aumentada de potências fraccionárias e logaritmos, os limites das desigualdades podem ser necessários para garantir que alguns factores são não negativos.

expand (Expr1, [ Var ]) também distribui valores absolutos, sign(), e exponenciais, independentemente de Var.

Nota: Consulte também tExpand() para a soma de ângulos trigonométricos e a expansão de ângulos múltiplos.

expr()

expr(Cadeia) Þexpressão

Devolve a cadeia de caracteres contidos em Cadeia como uma expressão e executa-a imediatamente.

ExpReg

ExpReg X, Y [, [Freq][, Categoria, Incluir]]

Calcula a regressão exponencialy = a·(b)xa partir das listas X e Y com a frequência Freq. Um resumo dos resultados é guardado na variável stat.results (aqui).

Todas as listas têm de ter a mesma dimensão, excepto para Incluir.

X e Y são listas de variáveis independentes e dependentes.

Freq é uma lista opcional de valores de frequência. Cada elemento em Freq especifica a frequência de ocorrência para cada ponto de dados X e Y correspondente. O valor predefinido é 1. Todos os elementos têm de ser números inteiros 0.

Categoria é uma lista de códigos de categorias para os dados X e Y correspondentes.

Incluir é uma lista de um ou mais códigos de categorias. Apenas os itens de dados cujo código de categoria está incluído nesta lista são considerados no cálculo.

Para mais informações sobre o efeito dos elementos vazios numa lista, consulte “Elementos (nulos) vazios” (aqui).

 

Variável de saída

Descrição

stat.RegEqn

Equação de regressão: a·(b)x

stat.a, stat.b

Parâmetros da regressão

stat.r2

Coeficiente de determinação linear para dados transformados

stat.r

Coeficiente de correlação para dados transformados (x, ln(y))

stat.Resid

Resíduos associados ao modelo exponencial

stat.ResidTrans

Residuais associados ao ajuste linear de dados transformados

stat.XReg

Lista de pontos de dados na Lista X modificada utilizada na regressão com base em restrições de Freq, Lista de categorias e Incluir categorias

stat.YReg

Lista de pontos de dados na Lista Y modificada utilizada na regressão com base nas restrições de Freq, Lista de categorias e Incluir categorias

stat.FreqReg

Lista de frequências correspondentes a stat.XReg e stat.YReg