|
Catalogue > |
|
|
zeros(Expr, Var)Þliste zeros(Expr, Var=Init)Þliste Donne la liste des valeurs réelles possibles de Var avec lesquelles Expr=0. Pour y parvenir, zeros() calcule exp4list(solve(Expr=0,Var),Var). |
|
|
Dans certains cas, la nature du résultat de zeros() est plus satisfaisante que celle de solve(). Toutefois, la nature du résultat de zeros() ne permet pas d'exprimer des solutions implicites, des solutions nécessitant des inéquations ou des solutions qui n'impliquent pas Var. Remarque : voir aussi cSolve(), cZeros() et solve(). |
|
|
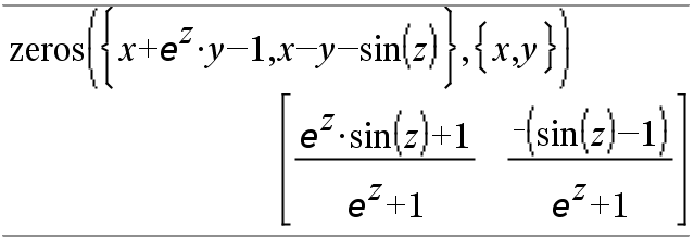
zeros({Expr1, Expr2}, {VarOuInit1, VarOuInit2 [, … ]})Þmatrice Donne les zéros réels possibles du système d'expressions algébriques, où chaque VarOuInit spécifie une inconnue dont vous recherchez la valeur. Vous pouvez également spécifier une condition initiale pour les variables. Chaque VarOuInit doit utiliser le format suivant : variable – ou – variable = nombre réel ou nonréel Par exemple, x est autorisé, de même que x=3. |
|
|
Si toutes les expressions sont polynomiales et si vous NE spécifiez PAS de condition initiale, zeros() utilise la méthode d'élimination lexicale Gröbner/Buchberger pour tenter de trouver tous les zéros réels. Par exemple, si vous avez un cercle de rayon r centré à l'origine et un autre cercle de rayon r centré, au point où le premier cercle coupe l'axe des x positifs. Utilisez zeros() pour trouver les intersections. |
|
|
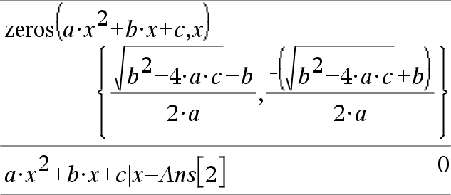
Comme l'illustre r dans l'exemple ci-contre, des expressions polynomiales simultanées peuvent avoir des variables supplémentaires sans valeur assignée, mais représenter des valeurs auxquelles on peut affecter par la suite des valeurs numériques. Chaque ligne de la matrice résultante représente un n_uplet, l'ordre des composants étant identique à celui de la liste VarOuInit. Pour extraire une ligne, indexez la matrice par [ligne]. |
Extraction ligne 2 :
|
|
Vous pouvez également utiliser des inconnues qui n'apparaissent pas dans les expressions. Par exemple, vous pouvez utiliser z comme inconnue pour développer l'exemple précédent et avoir deux cylindres parallèles sécants de rayon r. La solution des cylindres montre comment des groupes de zéros peuvent contenir des constantes arbitraires de type ck, où k est un suffixe entier compris entre 1 et 255. |
|
|
Pour les systèmes d'équations polynomiaux, le temps de calcul et l'utilisation de la mémoire peuvent considérablement varier en fonction de l'ordre dans lequel les inconnues sont spécifiées. Si votre choix initial ne vous satisfait pas pour ces raisons, vous pouvez modifier l'ordre des variables dans les expressions et/ou la liste VarOuInit. |
|
|
Si vous choisissez de ne pas spécifier de condition et s'il l'une des expressions n'est pas polynomiale dans l'une des variables, mais que toutes les expressions sont linéaires par rapport à toutes les inconnues, zeros() utilise l'élimination gaussienne pour tenter de trouver tous les zéros réels. |
|
|
Si un système d'équations n'est pas polynomial dans toutes ses variables ni linéaire par rapport à ses inconnues, zeros() cherche au moins un zéro en utilisant une méthode itérative approchée. Pour cela, le nombre d'inconnues doit être égal au nombre d'expressions et toutes les autres variables contenues dans les expressions doivent pouvoir être évaluées à des nombres. Chaque inconnue commence à sa valeur supposée, si elle existe ; sinon, la valeur de départ est 0.0. |
|
|
Utilisez des valeurs initiales pour rechercher des zéros supplémentaires, un par un. Pour assurer une convergence correcte, une valeur initiale doit être relativement proche d'un zéro. |
|
|
Catalogue > |
|
|
zInterval s,Liste[,Fréq[,CLevel]] (Entrée de liste de données) zInterval s,v,n [,CLevel] (Récapitulatif des statistiques fournies en entrée) Calcule un intervalle de confiance z. Un récapitulatif du résultat est stocké dans la variable stat.results. (Voir ici.) Pour plus d'informations concernant les éléments vides dans une liste, reportez-vous à “Éléments vides”, ici. |
|
|
Variable de sortie |
Description |
|
stat.CLower, stat.CUpper |
Intervalle de confiance pour une moyenne inconnue de population |
|
stat.x |
Moyenne d'échantillon de la série de données suivant la loi normale aléatoire |
|
stat.ME |
Marge d'erreur |
|
stat.sx |
Écart-type d’échantillon |
|
stat.n |
Taille de la série de données avec la moyenne d'échantillon |
|
stat.s |
Écart-type connu de population pour la série de données Liste |
|
Catalogue > |
|
|
zInterval_1Prop x,n [,CLevel] Calcule un intervalle de confiance z pour une proportion. Un récapitulatif du résultat est stocké dans la variable stat.results. (Voir ici.) x est un entier non négatif. Pour plus d'informations concernant les éléments vides dans une liste, reportez-vous à “Éléments vides”, ici. |
|
|
Variable de sortie |
Description |
|
stat.CLower, stat.CUpper |
Intervalle de confiance contenant la probabilité du niveau de confiance de la loi |
|
stat.Ç |
Proportion calculée de réussite |
|
stat.ME |
Marge d'erreur |
|
stat.n |
Nombre d'échantillons dans la série de données |
|
Catalogue > |
|
|
zInterval_2Prop x1,n1,x2,n2[,CLevel] Calcule un intervalle de confiance z pour deux proportions. Un récapitulatif du résultat est stocké dans la variable stat.results. (Voir ici.) x1 et x2 sont des entiers non négatifs. Pour plus d'informations concernant les éléments vides dans une liste, reportez-vous à “Éléments vides”, ici. |
|
|
Variable de sortie |
Description |
|
stat.CLower, stat.CUpper |
Intervalle de confiance contenant la probabilité du niveau de confiance de la loi |
|
stat.ÇDiff |
Différence calculée entre les proportions |
|
stat.ME |
Marge d'erreur |
|
stat.Ç1 |
Proportion calculée sur le premier échantillon |
|
stat.Ç2 |
Proportion calculée sur le deuxième échantillon |
|
stat.n1 |
Taille de l'échantillon dans la première série de données |
|
stat.n2 |
Taille de l'échantillon dans la deuxième série de données |
|
Catalogue > |
|
|
zInterval_2Samp s1,s2,Liste1,Liste2 [,Fréq1 [,Fréq2, [CLevel]]] (Entrée de liste de données) zInterval_2Samp s1,s2,v1,n1,v2,n2[,CLevel] (Récapitulatif des statistiques fournies en entrée) Calcule un intervalle de confiance z sur deux échantillons. Un récapitulatif du résultat est stocké dans la variable stat.results. (Voir ici.) Pour plus d'informations concernant les éléments vides dans une liste, reportez-vous à “Éléments vides”, ici. |
|
|
Variable de sortie |
Description |
|
stat.CLower, stat.CUpper |
Intervalle de confiance contenant la probabilité du niveau de confiance de la loi |
|
stat.x1-x2 |
Moyennes d'échantillon des séries de données suivant la loi normale aléatoire |
|
stat.ME |
Marge d'erreur |
|
stat.x1, stat.x2 |
Moyennes d'échantillon des séries de données suivant la loi normale aléatoire |
|
stat.sx1, stat.sx2 |
Écarts-types d'échantillon pour Liste 1 et Liste 2 |
|
stat.n1, stat.n2 |
Nombre d'échantillons dans les séries de données |
|
stat.r1, stat.r2 |
Écart-type connu de population pour la série de données Liste 1 et Liste 2 |
|
Catalogue > |
|
|
zTest m0,s,Liste,[Fréq[,Hypoth]] (Entrée de liste de données) zTest m0,s,v,n[,Hypoth] (Récapitulatif des statistiques fournies en entrée) Effectue un test z en utilisant la fréquence listeFréq. Un récapitulatif du résultat est stocké dans la variable stat.results. (Voir ici.) Test de H0 : m = m0, en considérant que : Pour Ha : m < m0, définissez Hypoth<0 Pour Ha : m ƒ m0 (par défaut), définissez Hypoth=0 Pour Ha : m > m0, définissez Hypoth>0 Pour plus d'informations concernant les éléments vides dans une liste, reportez-vous à “Éléments vides”, ici. |
|
|
Variable de sortie |
Description |
|
stat.z |
(x N m0) / (s / sqrt(n)) |
|
stat.P Value |
Plus petite probabilité permettant de rejeter l'hypothèse nulle |
|
stat.x |
Moyenne d'échantillon de la série de données dans Liste |
|
stat.sx |
Écart-type d'échantillon de la série de données Uniquement donné pour l'entrée Data. |
|
stat.n |
Taille de l'échantillon |
|
Catalogue > |
|
|
zTest_1Prop p0,x,n[,Hypoth] Effectue un test z pour une proportion unique. Un récapitulatif du résultat est stocké dans la variable stat.results. (Voir ici.) x est un entier non négatif. Test de H0 : p = p0, en considérant que : Pour Ha : p > p0, définissez Hypoth>0 Pour Ha : p ƒ p0 (par défaut), définissez Hypoth=0 Pour Ha : p < p0, définissez Hypoth<0 Pour plus d'informations concernant les éléments vides dans une liste, reportez-vous à “Éléments vides”, ici. |
|
|
Variable de sortie |
Description |
|
stat.p0 |
Proportion de population hypothétique |
|
stat.z |
Valeur normale type calculée pour la proportion |
|
stat.PVal |
Plus petit seuil de signification permettant de rejeter l'hypothèse nulle |
|
stat.Ç |
Proportion calculée sur l'échantillon |
|
stat.n |
Taille de l'échantillon |
|
Catalogue > |
|
|
zTest_2Prop x1,n1,x2,n2[,Hypoth] Calcule un test z pour deux proportions. Un récapitulatif du résultat est stocké dans la variable stat.results. (Voir ici.) x1 et x2 sont des entiers non négatifs. Test de H0 : p1 = p2, en considérant que : Pour Ha : p1 > p2, définissez Hypoth>0 Pour Ha : p1 ƒ p2 (par défaut), définissez Hypoth=0 Pour Ha : p < p0, définissez Hypoth<0 Pour plus d'informations concernant les éléments vides dans une liste, reportez-vous à “Éléments vides”, ici. |
|
|
Variable de sortie |
Description |
|
stat.z |
Valeur normale type calculée pour la différence des proportions |
|
stat.PVal |
Plus petit seuil de signification permettant de rejeter l'hypothèse nulle |
|
stat.Ç1 |
Proportion calculée sur le premier échantillon |
|
stat.Ç2 |
Proportion calculée sur le deuxième échantillon |
|
stat.Ç |
Proportion calculée de l'échantillon mis en commun |
|
stat.n1, stat.n2 |
Nombre d'échantillons pris lors des essais 1 et 2 |
|
Catalogue > |
|
|
zTest_2Samp s1,s2,Liste1,Liste2[,Fréq1[,Fréq2[,Hypoth]]] (Entrée de liste de données) zTest_2Samp s1,s2,v1,n1,v2,n2[,Hypoth] (Récapitulatif des statistiques fournies en entrée) Calcule un test z sur deux échantillons. Un récapitulatif du résultat est stocké dans la variable stat.results. (Voir ici.) Test de H0 : m1 = m2, en considérant que : Pour Ha : m1 < m2, définissez Hypoth<0 Pour Ha : m1 ƒ m2 (par défaut), définissez Hypoth=0 Pour Ha : m1 > m2, Hypoth>0 Pour plus d'informations concernant les éléments vides dans une liste, reportez-vous à “Éléments vides”, ici. |
|
|
Variable de sortie |
Description |
|
stat.z |
Valeur normale type calculée pour la différence des moyennes |
|
stat.PVal |
Plus petit seuil de signification permettant de rejeter l'hypothèse nulle |
|
stat.x1, stat.x2 |
Moyennes d'échantillon des séquences de données dans Liste 1 et Liste 2 |
|
stat.sx1, stat.sx2 |
Écarts-types d'échantillon des séries de données dans Liste 1 et Liste 2 |
|
stat.n1, stat.n2 |
Taille des échantillons |