You are here: TI‑Nspire™ CX Reference Guide > Alphabetical Listing > N

N

nand

BooleanExpr1 nand BooleanExpr2 returns Boolean expression
BooleanList1
nand BooleanList2 returns Boolean list
BooleanMatrix1
nand BooleanMatrix2 returns Boolean matrix

Returns the negation of a logical and operation on the two arguments. Returns true, false, or a simplified form of the equation.

For lists and matrices, returns comparisons element by element.

Integer1 nand Integer2 integer

Compares two real integers bit-by-bit using a nand operation. Internally, both integers are converted to signed, 64-bit binary numbers. When corresponding bits are compared, the result is 0 if both bits are 1; otherwise, the result is 1. The returned value represents the bit results, and is displayed according to the Base mode.

You can enter the integers in any number base. For a binary or hexadecimal entry, you must use the 0b or 0h prefix, respectively. Without a prefix, integers are treated as decimal (base 10).

nCr()

nCr(Value1, Value2) expression

For integer Value1 and Value2 with Value1 Value2 0, nCr() is the number of combinations of Value1 things taken Value2 at a time. (This is also known as a binomial coefficient.)

nCr(Value, 0) 1

nCr(Value, negInteger) 0

nCr(Value, posInteger) Value(Value1) ... (ValueposInteger+1)/ posInteger!

nCr(Value, nonInteger) expression! / ((ValuenonInteger)!nonInteger!)

nCr(List1, List2) list

Returns a list of combinations based on the corresponding element pairs in the two lists. The arguments must be the same size list.

nCr(Matrix1, Matrix2) matrix

Returns a matrix of combinations based on the corresponding element pairs in the two matrices. The arguments must be the same size matrix.

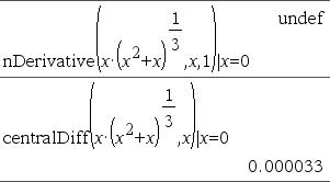
nDerivative()

nDerivative(Expr1,Var=Value[,Order]) value

nDerivative(Expr1,Var[,Order]) |Var=Value value

Returns the numerical derivative calculated using auto differentiation methods.

When Value is specified, it overrides any prior variable assignment or any current “|” substitution for the variable.

If the variable Var does not contain a numeric value, you must provide Value.

Order of the derivative must be 1 or 2.

Note: The nDerivative() algorithm has a limitiation: it works recursively through the unsimplified expression, computing the numeric value of the first derivative (and second, if applicable) and the evaluation of each subexpression, which may lead to an unexpected result.

Consider the example on the right. The first derivative of x(x^2+x)^(1/3) at x=0 is equal to 0. However, because the first derivative of the subexpression (x^2+x)^(1/3) is undefined at x=0, and this value is used to calculate the derivative of the total expression, nDerivative() reports the result as undefined and displays a warning message.

If you encounter this limitation, verify the solution graphically. You can also try using centralDiff().

newList()

newList(numElements) list

Returns a list with a dimension of numElements. Each element is zero.

newMat()

newMat(numRows, numColumns) matrix

Returns a matrix of zeros with the dimension numRows by numColumns.

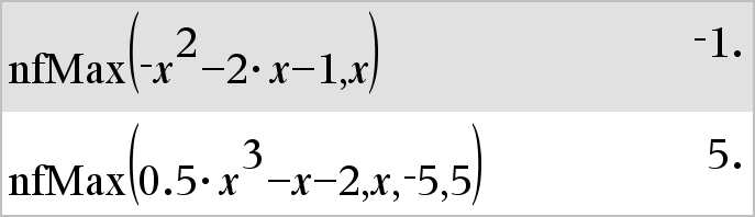
nfMax()

nfMax(Expr, Var) value
nfMax(Expr, Var, lowBound) value
nfMax(Expr, Var, lowBound, upBound) value
nfMax(Expr, Var) | lowBoundVarupBound value

Returns a candidate numerical value of variable Var where the local maximum of Expr occurs.

If you supply lowBound and upBound, the function looks in the closed interval [lowBound,upBound] for the local maximum.

nfMin()

nfMin(Expr, Var) value
nfMin(Expr, Var, lowBound) value
nfMin(Expr, Var, lowBound, upBound) value
nfMin(Expr, Var) | lowBoundVarupBound value

Returns a candidate numerical value of variable Var where the local minimum of Expr occurs.

If you supply lowBound and upBound, the function looks in the closed interval [lowBound,upBound] for the local minimum.

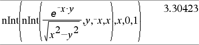
nInt()

nInt(Expr1, Var, Lower, Upper) expression

If the integrand Expr1 contains no variable other than Var, and if Lower and Upper are constants, positive , or negative , then nInt() returns an approximation of (Expr1, Var, Lower, Upper). This approximation is a weighted average of some sample values of the integrand in the interval Lower<Var<Upper.

The goal is six significant digits. The adaptive algorithm terminates when it seems likely that the goal has been achieved, or when it seems unlikely that additional samples will yield a worthwhile improvement.

A warning is displayed (“Questionable accuracy”) when it seems that the goal has not been achieved.

Nest nInt() to do multiple numeric integration. Integration limits can depend on integration variables outside them.

nom()

nom(effectiveRate,CpY) value

Financial function that converts the annual effective interest rate effectiveRate to a nominal rate, given CpY as the number of compounding periods per year.

effectiveRate must be a real number, and CpY must be a real number > 0.

Note: See also eff(), here.

nor

BooleanExpr1 nor BooleanExpr2 returns Boolean expression
BooleanList1
nor BooleanList2 returns Boolean list
BooleanMatrix1
nor BooleanMatrix2 returns Boolean matrix

Returns the negation of a logical or operation on the two arguments. Returns true, false, or a simplified form of the equation.

For lists and matrices, returns comparisons element by element.

Integer1 nor Integer2 integer

Compares two real integers bit-by-bit using a nor operation. Internally, both integers are converted to signed, 64-bit binary numbers. When corresponding bits are compared, the result is 1 if both bits are 1; otherwise, the result is 0. The returned value represents the bit results, and is displayed according to the Base mode.

You can enter the integers in any number base. For a binary or hexadecimal entry, you must use the 0b or 0h prefix, respectively. Without a prefix, integers are treated as decimal (base 10).

norm()

norm(Matrix) expression

norm(Vector) expression

Returns the Frobenius norm.

normCdf()

normCdf(lowBound,upBound[,μ[,σ]]) number if lowBound and upBound are numbers, list if lowBound and upBound are lists

Computes the normal distribution probability between lowBound and upBound for the specified μ (default=0) and σ (default=1).

For P(X upBound), set lowBound = 9E999.

 

normPdf()

normPdf(XVal[,μ[,σ]]) number if XVal is a number, list if XVal is a list

Computes the probability density function for the normal distribution at a specified XVal value for the specified μ and σ.

 

not

not BooleanExpr Boolean expression

Returns true, false, or a simplified form of the argument.

not Integer1 integer

Returns the one’s complement of a real integer. Internally, Integer1 is converted to a signed, 64-bit binary number. The value of each bit is flipped (0 becomes 1, and vice versa) for the one’s complement. Results are displayed according to the Base mode.

You can enter the integer in any number base. For a binary or hexadecimal entry, you must use the 0b or 0h prefix, respectively. Without a prefix, the integer is treated as decimal (base 10).

If you enter a decimal integer that is too large for a signed, 64-bit binary form, a symmetric modulo operation is used to bring the value into the appropriate range. For more information, see Base2,  here.

In Hex base mode:

Important: Zero, not the letter O.


In Bin base mode:

To see the entire result,
press 5 and then use 7 and 8 to move the cursor.

Note: A binary entry can have up to 64 digits (not counting the 0b prefix). A hexadecimal entry can have up to 16 digits.

nPr()

nPr(Value1, Value2) expression

For integer Value1 and Value2 with Value1 Value2 0, nPr() is the number of permutations of Value1 things taken Value2 at a time.

nPr(Value, 0) 1

nPr(Value, negInteger) 1 / ((Value+1)(Value+2)...(ValuenegInteger))

nPr(Value, posInteger) Value(Value1) ... (ValueposInteger+1)

nPr(Value, nonInteger) Value! / (ValuenonInteger)!

nPr(List1, List2) list

Returns a list of permutations based on the corresponding element pairs in the two lists. The arguments must be the same size list.

nPr(Matrix1, Matrix2) matrix

Returns a matrix of permutations based on the corresponding element pairs in the two matrices. The arguments must be the same size matrix.

npv()

npv(InterestRate,CFO,CFList[,CFFreq])

Financial function that calculates net present value; the sum of the present values for the cash inflows and outflows. A positive result for npv indicates a profitable investment.

InterestRate is the rate by which to discount the cash flows (the cost of money) over one period.

CF0 is the initial cash flow at time 0; it must be a real number.

CFList is a list of cash flow amounts after the initial cash flow CF0.

CFFreq is a list in which each element specifies the frequency of occurrence for a grouped (consecutive) cash flow amount, which is the corresponding element of CFList. The default is 1; if you enter values, they must be positive integers < 10,000.

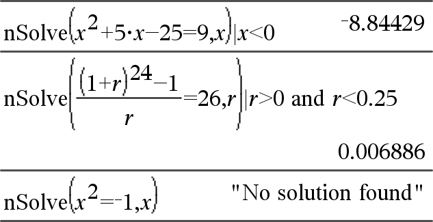
nSolve()

nSolve(Equation,Var[=Guess]) number or error_string

nSolve(Equation,Var[=Guess],lowBound) number or error_string

nSolve(Equation,Var[=Guess],lowBound,upBound) number or error_string

nSolve(Equation,Var[=Guess]) | lowBoundVarupBound number or error_string

Iteratively searches for one approximate real numeric solution to Equation for its one variable. Specify the variable as:

variable
– or –
variable = real number

For example, x is valid and so is x=3.

Note: If there are multiple solutions, you can use a guess to help find a particular solution.

nSolve() attempts to determine either one point where the residual is zero or two relatively close points where the residual has opposite signs and the magnitude of the residual is not excessive. If it cannot achieve this using a modest number of sample points, it returns the string “no solution found.”