Sie befinden sich hier: TI‑Nspire™ Technology CX CAS Reference Guide > Alphabetische Auflistung > R

R

RPθ()

RPθ (xAusdr, yAusdr) Ausdruck

RPθ (xListe, yListe) Liste
RPθ (xMatrix, yMatrix) Matrix

Gibt die äquivalente θ-Koordinate des
Paars (x,y) zurück.

Hinweis: Das Ergebnis wird gemäß der aktuellen Winkelmoduseinstellung in Grad, in Neugrad oder im Bogenmaß zurückgegeben.

Hinweis: Sie können diese Funktion über die Tastatur Ihres Computers eingeben, indem Sie R@Ptheta(...) eintippen.

Im Grad-Modus:


Im Neugrad-Modus:


Im Bogenmaß-Modus:

RPr()

RPr (xAusdr, yAusdr) Ausdruck

RPr (xListe, yListe) Liste
RPr (xMatrix, yMatrix) Matrix

Gibt die äquivalente r-Koordinate des Paars (x,y) zurück.

Hinweis: Sie können diese Funktion über die Tastatur Ihres Computers eingeben, indem Sie R@Pr(...) eintippen.

Im Bogenmaß-Modus:

Rad

Ausdr1Rad Ausdruck

Wandelt das Argument ins Bogenmaß um.

Hinweis: Sie können diesen Operator über die Tastatur Ihres Computers eingeben, indem Sie @Rad eintippen.

Im Grad-Modus:


Im Neugrad-Modus:

rand() (Zufallszahl)

rand() Ausdruck
rand(#Trials) List

rand() gibt einen Zufallswert zwischen 0 und 1 zurück.

rand(#Trials) gibt eine Liste zurück, die #Trials Zufallswerte zwischen 0 und 1 enthält.

Setzt Ausgangsbasis für Zufallszahlengenerierung.

randBin() (Zufallszahl aus Binomialverteilung)

randBin(n, p) Ausdruck
randBin(n, p, #Trials) Liste

randBin(n, p) gibt eine reelle Zufallszahl aus einer angegebenen Binomialverteilung zurück.

randBin(n, p, #Trials) gibt eine Liste mit #Trials reellen Zufallszahlen aus einer angegebenen Binomialverteilung zurück.

randInt() (Ganzzahlige Zufallszahl)

randInt(lowBound,upBound) Ausdruck
randInt(lowBound,upBound ,#Trials) Liste

randInt(lowBound,upBound) gibt eine ganzzahlige Zufallszahl innerhalb der durch UntereGrenze (lowBound) und ObereGrenze (upBound) festgelegten Grenzen zurück.

randInt(lowBound,upBound,#Trials) gibt eine Liste mit #Trials ganzzahligen Zufallszahlen innerhalb des festgelegten Bereichs zurück.

randMat() (Zufallsmatrix)

randMat(AnzZeil, AnzSpalt)Matrix

Gibt eine Matrix der angegebenen Dimension mit ganzzahligen Werten zwischen -9 und 9 zurück.

Beide Argumente müssen zu ganzen Zahlen vereinfachbar sein.

Hinweis: Die Werte in dieser Matrix ändern sich mit jedem Drücken von ·.

randNorm() (Zufallsnorm)

randNorm(μ, σ) Ausdruck
randNorm(μ, σ, #Trials) List

randNorm(μ, σ) gibt eine Dezimalzahl aus der Gaußschen Normalverteilung zurück. Dies könnte eine beliebige reelle Zahl sein, die Werte konzentrieren sich jedoch stark in dem Intervall [μ3σ, μ+3σ].

randNorm(μ, σ, #Trials) gibt eine Liste mit #Trials Dezimalzahlen aus der angegebenen Normalverteilung zurück.

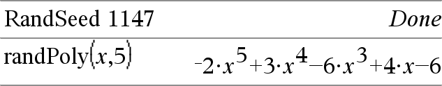
randPoly() (Zufallspolynom)

randPoly(Var, Ordnung)Ausdruck

Gibt ein Polynom in Var der angegebenen Ordnung zurück. Die Koeffizienten sind ganze Zufallszahlen im Bereich 9 bis 9. Der führende Koeffizient ist nicht null.

Ordnung muss zwischen 0 und 99 betragen.

randSamp() (Zufallsstichprobe)

randSamp(List,#Trials[,noRepl]) Liste

Gibt eine Liste mit einer Zufallsstichprobe von #Trials Versuchen aus Liste (List) zurück mit der Möglichkeiten, Stichproben zu ersetzen (noRepl=0) oder nicht zu ersetzen (noRepl=1). Die Vorgabe ist mit Stichprobenersatz.

RandSeed (Zufallszahl)

RandSeed Zahl

Zahl = 0 setzt die Ausgangsbasis (“seed”) für den Zufallszahlengenerator auf die Werkseinstellung zurück. Bei Zahl 0 werden zwei Basen erzeugt, die in den Systemvariablen seed1 und seed2 gespeichert werden.

real() (Reell)

real(Expr1) Ausdruck

Gibt den Realteil des Arguments zurück.

Hinweis: Alle undefinierten Variablen werden als reelle Variablen behandelt. Siehe auch imag() here.

real(List1) Liste

Gibt für jedes Element den Realteil zurück.

real(Matrix1) Matrix

Gibt für jedes Element den Realteil zurück.

Rect

Vektor Rect

Hinweis: Sie können diesen Operator über die Tastatur Ihres Computers eingeben, indem Sie @Rect eintippen.

Zeigt Vektor in der kartesischen Form [x, y, z] an. Der Vektor muss die Dimension 2 oder 3 besitzen und kann eine Zeile oder eine Spalte sein.

Hinweis: Rect ist eine Anzeigeformatanweisung, keine Konvertierungsfunktion. Sie können sie nur am Ende einer Eingabezeile benutzen, und sie nimmt keine Aktualisierung von ans vor.

Hinweis: Siehe auch Polar hier.

komplexer Wert Rect

Zeigt komplexerWert in der kartesischen Form a+bi an. komplexerWert kann jede komplexe Form haben. Eine reiθ-Eingabe verursacht jedoch im Winkelmodus Grad einen Fehler.

Hinweis: Für eine Eingabe in Polarform müssen Klammern (r∠θ) verwendet werden.

Im Bogenmaß-Modus:


Im Neugrad-Modus:


Im Grad-Modus:

Hinweis: Wählen Sie zur Eingabe von das Symbol aus der Sonderzeichenpalette des Katalogs aus.

ref() (Diagonalform)

ref(Matrix1[, Tol]) Matrix

Gibt die Diagonalform von Matrix1 zurück.

Sie haben die Option, dass jedes Matrixelement als Null behandelt wird, wenn dessen absoluter Wert geringer als Tol ist. Diese Toleranz wird nur dann verwendet, wenn die Matrix Fließkommaelemente aufweist und keinerlei symbolische Variablen ohne zugewiesene Werte enthält. Anderenfalls wird Tol ignoriert.

Wenn Sie /· verwenden oder den Modus Autom. oder Näherung auf 'Approximiert' einstellen, werden Berechnungen in Fließkomma-Arithmetik durchgeführt.
Wird Tol weggelassen oder nicht verwendet, so wird die Standardtoleranz folgendermaßen berechnet:
5E14 max(dim(Matrix1)) rowNorm(Matrix1)

Vermeiden Sie nicht definierte Elemente in Matrix1. Sie können zu unerwarteten Ergebnissen führen.

Wenn z. B. im folgenden Ausdruck a nicht definiert ist, erscheint eine Warnmeldung und das Ergebnis wird wie folgt angezeigt:

Die Warnung erscheint, weil das verallgemeinerte Element 1/a für a=0 nicht zulässig wäre.

Sie können dieses Problem umgehen, indem Sie zuvor einen Wert in a speichern oder wie im folgenden Beispiel gezeigt eine Substitution mit dem womit-Operator „|“ vornehmen.

Hinweis: Siehe auch rref() here.

 

RefreshProbeVars

RefreshProbeVars

Ermöglicht den Zugriff auf Sensordaten von allen verbundenen Sensorsonden in Ihrem TI-Basic-Programm.

StatusVar Value

Status

statusVar=0

Normal (Programmausführung fortsetzen)

statusVar=1

Die Applikation Vernier DataQuest™ befindet sich im Data Collection-Modus.

Hinweis: Die Applikation Vernier DataQuest™ muss sich im Messgerätmodus befinden, damit dieser Befehl funktioniert.

statusVar=2

Die Applikation Vernier DataQuest™ wurde nicht gestartet.

statusVar=3

Die Applikation Vernier DataQuest™ wurde gestartet, ist jedoch noch nicht mit Sonden verbunden.

Beispiel

Define temp()=

Prgm

© Prüfen, ob System bereit ist

RefreshProbeVars status

If status=0 Then

Disp "ready"

For n,1,50

RefreshProbeVars status

temperature:=meter.temperature

Disp "Temperature: ",temperature

If temperature>30 Then

Disp "Too hot"

EndIf

© 1 Sekunde zwischen den Messungen warten

Wait 1

EndFor

Else

Disp "Not ready. Try again later"

EndIf

EndPrgm

 

Hinweis: Dies kann auch mit TI-Innovator™ Hub verwendet werden.

 

remain() (Rest)

remain(Ausdr1, Ausdr2) Ausdruck

remain(Liste1, Liste2) Liste
remain(Matrix1, Matrix2) Matrix

Gibt den Rest des ersten Arguments bezüglich des zweiten Arguments gemäß folgender Definitionen zurück:

remain(x,0)   x
remain(x,y)   xyiPart(x/y)

Als Folge daraus ist zu beachten, dass remain(x,y) remain(x,y). Das Ergebnis ist entweder Null oder besitzt das gleiche Vorzeichen wie das erste Argument.

Hinweis: Siehe auch mod() hier.

Request

Request promptString, var[FlagAnz [statusVar]]

Request promptString, func(arg1, ...argn)  [, FlagAnz [statusVar]]

Programmierbefehl: Pausiert das Programm und zeigt ein Dialogfeld mit der Meldung promptString sowie einem Eingabefeld für die Antwort des Benutzers an.

Wenn der Benutzer eine Antwort eingibt und auf OK klickt, wird der Inhalt des Eingabefelds in die Variable var geschrieben.

Falls der Benutzer auf Abbrechen klickt, wird das Programm fortgesetzt, ohne Eingaben zu übernehmen. Das Programm verwendet den vorherigen var-Wert, soweit var bereits definiert wurde.

Bei dem optionalen Argument FlagAnz kann es sich um einen beliebigen Ausdruck handeln.

Wenn FlagAnz fehlt oder den Wert 1 ergibt, werden die Eingabeaufforderung und die Benutzerantwort im Calculator-Protokoll angezeigt.
Wenn FlagAnz den Wert 0 ergibt, werden die Aufforderung und die Antwort nicht im Protokoll angezeigt.

Definieren Sie ein Programm:

Define request_demo()=Prgm
    Request “Radius: ”,r
    Disp “Fläche = “,pi*r2
EndPrgm

 

Starten Sie das Programm und geben Sie eine Antwort ein:

request_demo()

Ergebnis nach Auswahl von OK:

Radius: 6/2
Fläche = 28.2743

Das optionale Argument statusVar ermöglicht es dem Programm, zu bestimmen, wie der Benutzer das Dialogfeld verlassen hat. Beachten Sie, dass statusVar das Argument FlagAnz erfordert.

Wenn der Benutzer auf OK geklickt oder die Eingabetaste bzw. Strg+Eingabetaste gedrückt hat, wird die Variable statusVar auf den Wert 1 gesetzt.
Anderenfalls wird die Variable statusVar auf den Wert 0 gesetzt.

Mit dem Argument func() kann ein Programm die Benutzerantwort als Funktionsdefinition speichern. Diese Syntax verhält sich so, als hätte der Benutzer den folgenden Befehl ausgeführt:

     Define Fkt(Arg1, ...Argn) = Benutzerantwort

Anschließend kann das Programm die so definierte Funktion Fkt() nutzen. Die Meldung EingabeString sollte dem Benutzer die nötigen Informationen geben, damit dieser eine passende Benutzerantwort zur Vervollständigung der Funktionsdefinition eingeben kann.

Hinweis: Mit der Option Request Befehl in benutzerdefinierten Programmen, aber nicht in Funktionen.

So halten Sie ein Programm an, das einen Befehl Request in einer Endlosschleife enthält:

Handheld: Halten Sie die Taste c gedrückt und drücken Sie mehrmals ·.
Windows®: Halten Sie die Taste F12 gedrückt und drücken Sie mehrmals die Eingabetaste.
Macintosh®: Halten Sie die Taste F5 gedrückt und drücken Sie mehrmals die Eingabetaste.
iPad®: Die App zeigt eine Eingabeaufforderung an. Sie können weiter warten oder abbrechen.

Hinweis: Siehe auch RequestStr, here.

Definieren Sie ein Programm:

Define polynomial()=Prgm
    Request "Polynom in x eingeben:",p(x)
    Disp "Reelle Wurzeln:",polyRoots(p(x),x)
EndPrgm

 

Starten Sie das Programm und geben Sie eine Antwort ein:

polynomial()

Ergebnis nach Eingabe von x^3+3x+1 und Auswahl von OK:

Reelle Wurzeln: {-0,322185}

RequestStr

RequestStr promptString, var[, FlagAnz]

Programmierbefehl: Verhält sich genauso wie die erste Syntax des Befehls Request, die Benutzerantwort wird jedoch immer als String interpretiert. Der Befehl Request interpretiert die Antwort hingegen als Ausdruck, es sei denn, der Benutzer setzt sie in Anführungszeichen ("").

Hinweis: Sie können den Befehl RequestStr in benutzerdefinierten Programmen verwenden, jedoch nicht in Funktionen.

Zum Anhalten eines Programms mit dem Befehl RequestStr in einer Endlosschleife:

Handheld: Halten Sie die Taste c gedrückt und drücken Sie mehrmals ·.
Windows®: Halten Sie die Taste F12 gedrückt und drücken Sie mehrmals die Eingabetaste.
Macintosh®: Halten Sie die Taste F5 gedrückt und drücken Sie mehrmals die Eingabetaste.
iPad®: Die App zeigt eine Eingabeaufforderung an. Sie können weiter warten oder abbrechen.

Hinweis: Siehe auch Request, here.

Definieren Sie ein Programm:

Define requestStr_demo()=Prgm
    RequestStr “Ihr Name:”,name,0
    Disp “Die Antwort hat “,dim(name),” Zeichen.”
EndPrgm

 

Starten Sie das Programm und geben Sie eine Antwort ein:

requestStr_demo()

 

Ergebnis nach Auswahl von OK (Hinweis: Wegen DispFlag = 0 werden Eingabeaufforderung und Antwort nicht im Protokoll angezeigt):

 

requestStr_demo()

Die Antwort hat 5 Zeichen.

Return

Return [Ausdr]

Gibt Ausdr als Ergebnis der Funktion zurück. Verwendbar in einem Block Func...EndFunc.

Hinweis: Verwenden Sie Zurück (Return) ohne Argument innerhalb eines Blocks Prgm...EndPrgm, um ein Programm zu beenden.

Hinweis zum Eingeben des Beispiels: Anweisungen für die Eingabe von mehrzeiligen Programm- und Funktionsdefinitionen finden Sie im Abschnitt „Calculator“ des Produkthandbuchs.

right() (Rechts)

right(Liste1[, Anz]) Liste

Gibt Anz Elemente zurück, die rechts in Liste1 enthalten sind.

Wenn Sie Anz weglassen, wird die gesamte Liste1 zurückgegeben.

right(Quellstring[, Anz]) string

Gibt Anz Zeichen zurück, die rechts in der Zeichenkette Quellstring enthalten sind.

Wenn Sie Anz weglassen, wird der gesamte Quellstring zurückgegeben.

right(Vergleich) Ausdruck

Gibt die rechte Seite einer Gleichung oder Ungleichung zurück.

rk23 ()

rk23(Ausdr, Var, abhVar, {Var0, VarMax}, abhVar0, VarSchritt [, diftol]) Matrix

rk23(AusdrSystem, Var, ListeAbhVar, {Var0, VarMax}, ListeAbhVar0, VarSchritt[, diftol]) Matrix

rk23(AusdrListe, Var, ListeAbhVar, {Var0, VarMax}, ListeAbhVar0, VarSchritt[, diftol]) Matrix

Verwendet die Runge-Kutta-Methode zum Lösen des Systems

mit abhVar(Var0)=abhVar0 auf dem Intervall [Var0,VarMax]. Gibt eine Matrix zurück, deren erste Zeile die Ausgabewerte von Var definiert, wie durch VarSchritt definiert. Die zweite Zeile definiert den Wert der ersten Lösungskomponente an den entsprechenden Var Werten usw.

Ausdr ist die rechte Seite, die die gewöhnliche Differentialgleichung (ODE) definiert.

AusdrSystem ist ein System rechter Seiten, welche das ODE-System definieren (entspricht der Ordnung abhängiger Variablen in ListeAbhVar).

AusdrListe ist eine Liste rechter Seiten, welche das ODE-System definieren (entspricht der Ordnung abhängiger Variablen in ListeAbhVar).

Var ist die unabhängige Variable.

ListeAbhVar ist eine Liste abhängiger Variablen.

{Var0, VarMax} ist eine Liste mit zwei Elementen, die die Funktion anweist, von Var0 zu VarMax zu integrieren.

ListeAbhVar0 ist eine Liste von Anfangswerten für abhängige Variablen.

Wenn VarSchritt eine Zahl ungleich Null ergibt: Zeichen(VarSchritt) = Zeichen(VarMax-Var0) und Lösungen werden an Var0+i*VarSchritt für alle i=0,1,2,… zurückgegeben, sodass Var0+i*VarSchritt in [var0,VarMax] ist (möglicherweise gibt es keinen Lösungswert an VarMax).

Wenn VarSchritt Null ergibt, werden Lösungen an den „Runge-Kutta" Var-Werten zurückgegeben.

diftol ist die Fehlertoleranz (standardmäßig 0.001).

Differentialgleichung:

y'=0.001*y*(100-y) und y(0)=10

Um das ganze Ergebnis zu sehen, drücken Sie 5 und verwenden dann 7 und 8, um den Cursor zu bewegen.

Dieselbe Gleichung mit diftol auf 1.E6

Vergleichen Sie das vorstehende Ergebnis mit der exakten CAS-Lösung, die Sie erhalten, wenn Sie deSolve() und seqGen() verwenden:


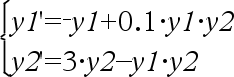
Gleichungssystem:

mit y1(0)=2 und y2(0)=5

root() (Wurzel)

root(Ausdr) Wurzel
root(Ausdr1, Ausdr2) Wurzel

root(Ausdr) gibt die Quadratwurzel von Ausdr zurück.

root(Ausdr1, Ausdr2) gibt die Ausdr2 Wurzel von Ausdr1 zurück. Ausdr1 kann eine reelle oder eine komplexe Fließkommakonstante, eine ganze Zahl oder eine komplexe rationale Konstante oder ein allgemeiner symbolischer Ausdruck sein.

Hinweis: Siehe auch Vorlage n-te Wurzel, Seite hier.

rotate() (Rotieren)

rotate(Ganzzahl1[,#Rotationen]) Ganzzahl

Rotiert die Bits in einer binären ganzen Zahl. Ganzzahl1 kann mit jeder Basis eingegeben werden und wird automatisch in eine 64-Bit-Dualform konvertiert. Ist der Absolutwert von Ganzzahl1 für diese Form zu groß, wird eine symmetrische Modulo-Operation ausgeführt, um sie in den erforderlichen Bereich zu bringen. Weitere Informationen finden Sie unter Base2,  hier.

Im Bin-Modus>

 

Um das ganze Ergebnis zu sehen, drücken Sie 5 und verwenden dann 7 und 8, um den Cursor zu bewegen.

Ist #Rotationen positiv, erfolgt eine Rotation nach links. Ist #Rotationen negativ, erfolgt eine Rotation nach rechts. Vorgabe ist 1 (ein Bit nach rechts rotieren).

Beispielsweise in einer Rechtsrotation:

Im Hex-Modus:

Jedes Bit rotiert nach rechts.

0b00000000000001111010110000110101

Bit ganz rechts rotiert nach ganz links.

ergibt sich:

0b10000000000000111101011000011010

Die Ergebnisse werden im jeweiligen Basis-Modus angezeigt.

Wichtig: Geben Sie eine Dual- oder Hexadezimalzahl stets mit dem Präfix 0b bzw. 0h ein (Null, nicht der Buchstabe O).

rotate(Liste1[,#Rotationen]) Liste

Gibt eine um #Rotationen Elemente nach rechts oder links rotierte Kopie von Liste1 zurück. Verändert Liste1 nicht.

Ist #Rotationen positiv, erfolgt eine Rotation nach links. Ist #Rotationen negativ, erfolgt eine Rotation nach rechts. Vorgabe ist 1 (ein Element nach rechts rotieren).

Im Dec-Modus:

rotate(String1[,#Rotationen]) String

Gibt eine um #Rotationen Zeichen nach rechts oder links rotierte Kopie von String1 zurück. Verändert String1 nicht.

Ist #Rotationen positiv, erfolgt eine Rotation nach links. Ist #Rotationen negativ, erfolgt eine Rotation nach rechts. Vorgabe ist 1 (ein Zeichen nach rechts rotieren)

round() (Runden)

round(Ausdr1[, Stellen]) Ausdruck

Gibt das Argument gerundet auf die angegebene Anzahl von Stellen nach dem Dezimaltrennzeichen zurück.

Stellen muss eine Ganzzahl zwischen 0 und 12 sein. Wenn Stellen nicht eingeschlossen wird, wird das Argument auf 12 Stellen gerundet zurückgegeben.

Hinweis: Die Anzeige des Ergebnisses kann von der Einstellung "Angezeigte Ziffern" beeinflusst werden.

round(Liste1[, Stellen]) Liste

Gibt eine Liste von Elementen zurück, die auf die angegebene Stellenzahl gerundet wurden.

round(Matrix1[, Stellen]) Matrix

Gibt eine Matrix von Elementen zurück, die auf die angegebene Stellenzahl gerundet wurden.

rowAdd() (Zeilenaddition)

rowAdd(Matrix1, rIndex1, rIndex2) Matrix

Gibt eine Kopie von Matrix1 zurück, in der die Zeile rIndex2 durch die Summe der Zeilen rIndex1 und rIndex2 ersetzt ist.

rowDim() (Zeilendimension)

rowDim(Matrix) Ausdruck

Gibt die Anzahl der Zeilen von Matrix zurück.

Hinweis: Siehe auch colDim() hier.

rowNorm() (Zeilennorm)

rowNorm(Matrix) Ausdruck

Gibt das Maximum der Summen der Absolutwerte der Elemente der Zeilen von Matrix zurück.

Hinweis: Alle Matrixelemente müssen zu Zahlen vereinfachbar sein. Siehe auch colNorm() hier.

rowSwap() (Zeilentausch)

rowSwap(Matrix1, rIndex1, rIndex2) Matrix

Gibt Matrix1 zurück, in der die Zeilen rIndex1 und rIndex2 vertauscht sind.

rref() (Reduzierte Diagonalform)

rref(Matrix1[, Tol]) Matrix

Gibt die reduzierte Diagonalform von Matrix1 zurück.

Sie haben die Option, dass jedes Matrixelement als Null behandelt wird, wenn dessen absoluter Wert geringer als Tol ist. Diese Toleranz wird nur dann verwendet, wenn die Matrix Fließkommaelemente aufweist und keinerlei symbolische Variablen ohne zugewiesene Werte enthält. Anderenfalls wird Tol ignoriert.

Wenn Sie /· verwenden oder den Modus Autom. oder Näherung auf 'Approximiert' einstellen, werden Berechnungen in Fließkomma-Arithmetik durchgeführt.
Wird Tol weggelassen oder nicht verwendet, so wird die Standardtoleranz folgendermaßen berechnet:
5E14 max(dim(Matrix1)) rowNorm(Matrix1)

Hinweis: Siehe auch ref() here.